熱線:021-66110810,66110819
手機:13564362870

熱線:021-66110810,66110819
手機:13564362870
Synergies of chemodenitrification and denitrification in a saline inland lake
內陸鹽湖化學脫氮與反硝化的協同作用
來源:Chemosphere 359 (2024) 142292
1. 摘要概述
論文研究了西班牙Gallocanta鹽湖沉積物中氮循環的生物與非生物途徑協同作用。核心發現包括:
化學反硝化(CDNT):亞鐵離子(Fe2?)驅動亞硝酸鹽(NO??)非生物還原,生成N?O(圖4)。添加外源Fe2?可增強該過程(反應速率從0.005 h?1升至0.006 h?1)(表2)。


同位素分餾特征:
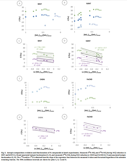
CDNT導致亞硝酸鹽δ1?N分餾值(ε1?N<sub>NO?</sub>)達 -6.8‰至-12.3‰(圖5G,H)。
生物反硝化導致硝酸鹽δ1?N分餾值(ε1?N<sub>NO?</sub>)為 -8.5‰至-15.1‰(圖5C,D)。

環境意義:鹽湖深層沉積物(5-9 cm)中低有機碳、高Fe2?條件同時支持化學反硝化與自養生物反硝化,顯著影響N?O排放。
2. 研究目的
探究鹽湖生態系統中:
化學反硝化(CDNT)的可行性:明確Fe2?在非生物性NO??還原中的作用;
生物與非生物途徑的協同機制:通過同位素分餾區分CDNT與生物反硝化貢獻;
環境驅動因素:評估有機碳、鐵、硫的耦合如何調控氮轉化路徑。
3. 研究思路
采用 “野外采樣-實驗室培養-多參數分析” 策略:
野外采樣:采集湖水和沉積物(分層:0-5 cm有機質/S2?富集層;5-9 cm低有機碳/高Fe2?層)。
實驗室培養:設計6組厭氧培養實驗(表1),包括:

對照組(AMON, sAMON):評估自然礦化作用(圖2)。

反硝化組(hDNT, IDNT):添加硝酸鹽(100/400 μM)測試生物反硝化(圖3)。

化學反硝化組(CHDN, FeCHD):添加亞硝酸鹽(500 μM)±外源Fe2?(500 μM)測試CDNT(圖4)。
多參數分析:
濃度監測:NO??、NO??、NH??、Fe2?、∑S2?(圖2-4)。
Unisense電極:定性檢測N?O積累(支持信息S6)。
同位素分餾:δ1?N/δ1?O測定(圖5)。
4. 測量數據及研究意義
(1) 沉積物孔隙水特征(圖1)

數據:深層沉積物(5-9 cm)孔隙水中Fe2?濃度高達150 μM(圖1A-C),為CDNT提供電子供體;表層(0-5 cm)因硫酸鹽還原生成S2?抑制Fe2?活性。
意義:揭示鹽湖分層環境對氮-鐵耦合反應的調控機制。
(2) 反硝化實驗(圖3, 圖5A-D)
數據:
IDNT組(100 μM NO??)反應速率(0.065 h?1)高于hDNT組(0.018 h?1)(表2)。
ε1?N<sub>NO?</sub>為-8.5‰(IDNT)和-15.1‰(hDNT),ε1?O<sub>NO?</sub>為-7.9‰和-19.7‰(圖5C,D)。
意義:證實低有機碳/高Fe2?條件下自養生物反硝化的存在;分餾值與反應速率負相關(高速率對應弱分餾)。
(3) 化學反硝化實驗(圖4, 圖5E-H)
數據:
FeCHD組(添加Fe2?)NO??還原率(40%)高于CHDN組(30%)(圖4A,B)。
ε1?N<sub>NO?</sub>為-6.8‰(CHDN)和-12.3‰(FeCHD)(圖5G,H)。
Unisense電極檢測:N?O在CDNT組顯著積累(FeCHD > CHDN)。
意義:外源Fe2?促進CDNT;同位素分餾值重疊于生物反硝化范圍,需結合N?O數據區分途徑。
(4) 金屬與硫化物動態(圖2-4)
數據:∑S2?在表層沉積物實驗(sAMON)中積累(130 μM),深層(AMON)無積累(圖2C,D);Fe2?在反硝化/CDNT實驗中釋放(圖3C,D, 圖4C,D)。
意義:硫循環通過FeS沉淀抑制Fe2?活性,限制CDNT于深層沉積物。
5. Unisense電極數據的核心研究意義
通過 Unisense微傳感器(Clark型) 定性監測N?O積累,關鍵發現如下:
(1) N?O作為CDNT的標志物
數據:CDNT實驗(CHDN/FeCHD)中N?O積累量顯著高于生物反硝化組(IDNT/hDNT)。
意義:驗證CDNT以N?O為終點產物(非生物途徑無N?O還原酶),而生物反硝化主要生成N?。
(2) Fe2?對N?O生成的促進作用
數據:FeCHD組(添加Fe2?)N?O積累量高于CHDN組。
意義:直接證實Fe2?氧化驅動非生物性N?O生成,為溫室氣體排放模型提供關鍵參數。
(3) 反應機制區分
數據:N?O僅在CDNT組大量積累,生物反硝化組可忽略。
意義:Unisense數據聯合同位素分餾值(ε1?N<sub>NO?</sub>)明確區分CDNT(高N?O)與生物反硝化(低N?O),解決傳統濃度監測的歧義性。
總結Unisense數據價值:
機制診斷:提供CDNT的直接證據(N?O累積),彌補同位素分餾值的重疊局限。
過程量化:定性關聯Fe2?添加與N?O生成強度,支持CDNT的環境貢獻評估。
6. 結論
CDNT在鹽湖的可行性:深層沉積物(5-9 cm)中高Fe2?驅動NO??非生物還原,外源Fe2?可提升反應速率(40% NO??還原率)。
協同氮循環途徑:
生物反硝化主導NO??還原(自養途徑,ε1?N<sub>NO?</sub>達-15.1‰)。
CDNT主導NO??還原(ε1?N<sub>NO?</sub>達-12.3‰),生成N?O(Unisense驗證)。
環境調控:有機碳限制與Fe2?/S2?競爭決定CDNT空間分布(僅深層活躍)。
應用價值:同位素分餾(ε1?N<sub>NO?</sub>)與Unisense N?O監測聯用,為水生生態系統氮轉化路徑識別提供可靠工具。
圖標索引:
孔隙水剖面:圖1(Fe/N分布)
培養實驗設計:表1(6組條件)
礦化作用:圖2(NH??/∑S2?釋放)
反硝化:圖3(NO??還原動力學)
化學反硝化:圖4(NO??還原/Fe2?作用)
同位素分餾:圖5(ε1?N<sub>NO?</sub>/ε1?N<sub>NO?</sub>計算)
反應速率:表2(CDNT速率對比文獻)