熱線:021-66110810,66110819
手機:13564362870

熱線:021-66110810,66110819
手機:13564362870
Successful sulphide-driven partial denitrification: Efficiency, stability and resilience in SRT-controlled conditions
硫化物驅動的部分反硝化成功實現:SRT控制條件下的效率、穩定性與恢復力
來源:Chemosphere, Volume 295,2022, Article Number 133936
《環境科學》,第295卷,2022年,文章編號133936
摘要內容:
摘要指出硫化物驅動的部分自養反硝化(PAD)是一種為厭氧氨氧化(Anammox)提供亞硝酸鹽(NO??)的解決方案。本研究通過選擇性控制進水S/N比(硫/氮比)和污泥停留時間(SRT),在連續攪拌釜反應器(CSTR)中實現了高效的NO??還原為NO??。結果表明:在SRT 23小時、S/N=0.58 gS/gN條件下,亞硝酸鹽轉化效率(NiCE)高達99%,且嚴格硫限制條件(S/N<0.8)下Thiobacillus取代Sulfurimonas成為優勢菌屬(83%)。呼吸計量測試顯示硝酸鹽攝取率穩定(90±10 mgN/gVSS/h),而亞硝酸鹽攝取率受環境影響顯著。初步評估表明高游離亞硝酸(FNA)可能導致N?O排放增加(2.0-2.4%)。
研究目的:
最大化硫化物驅動的部分反硝化(NO??→NO??)效率。
探究SRT和進水S/N比對亞硝酸鹽積累的協同影響。
評估微生物群落動態、N?O排放及高NO??環境下的代謝響應。
研究思路:
反應器設計與操作:采用2.5L CSTR反應器,以硫氧化細菌(SOB)富集污泥為接種物,控制SRT(40、23、13小時)和進水S/N比(0.5-1 gS/gN),維持嚴格硫限制條件(表1)。

性能評估:監測硝酸鹽去除率(NRE)、亞硝酸鹽轉化效率(NiCE)及亞硝酸鹽積累效率(NiAE),通過硫/氮質量平衡驗證硫化物氧化路徑。
呼吸計量測試:通過脈沖添加電子受體/供體(NO??、NO??、HS?),測定硝酸鹽/亞硝酸鹽攝取速率(NUR/NiUR)(表2,圖3)。


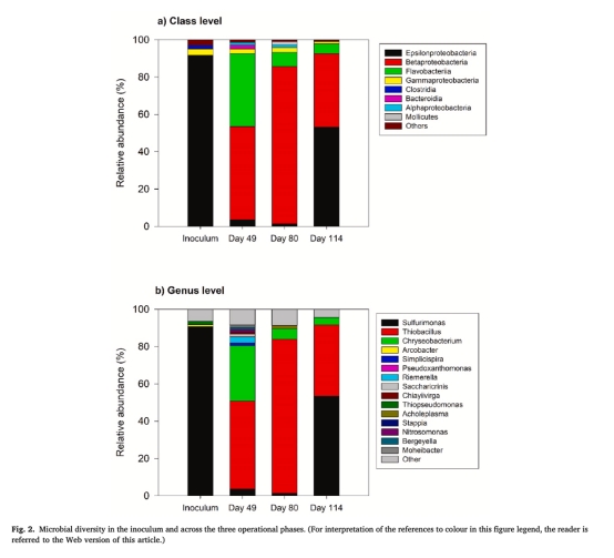
微生物分析:通過16S rRNA測序分析SRT和S/N對菌群結構的影響(圖2)。

N?O監測:采用丹麥Unisense N?O微傳感器測量反應器頂空N?O濃度。
測量數據及其研究意義:
氮轉化效率(圖1b,表1):

NiCE達77±17%(SRT=13h)至95±7%(SRT=23h),證明SRT控制可優化亞硝酸鹽積累。
意義:明確SRT≤23h和S/N≤0.8是實現高效PAD的關鍵參數。
硫化物氧化路徑(圖1c):
硫酸鹽(SO?2?)產率>90%,表明硫化物完全氧化。
意義:證實硫限制條件下無元素硫(S?)積累,避免電子傳遞抑制。
微生物群落(圖2):
SRT 23h時Thiobacillus相對豐度達83%(初始<1%),嚴格硫限制促進高生物能量效率菌屬。
意義:揭示Thiobacillus的膜結合硝酸鹽還原酶(Nar)在硫限制下的競爭優勢。
呼吸計量數據(圖3):
NUR穩定(90±10 mgN/gVSS/h),不受高NO??(120 mgN/L)或FNA(4-5 μgN/L)抑制。
意義:證實硝酸鹽還原步驟的魯棒性,為工藝設計提供動力學依據。
N?O排放(正文):
估算排放因子2.0-2.4%(基于Unisense數據),FNA升高可能促進N?O生成。
意義:警示需優化pH以抑制N?O排放。
結論:
進水S/N<0.8 gS/gN和SRT≤23h可實現NiCE>95%,SRT控制提升系統抗擾動能力(如負荷突變后3天恢復)。
硫限制條件驅動微生物群落從Sulfurimonas向Thiobacillus演替,后者Nar酶系統更適應能量限制環境。
硝酸鹽還原速率(NUR)對高NO??/FNA不敏感,而亞硝酸鹽還原速率(NiUR)易受抑制,支撐亞硝酸鹽積累機制。
需關注高FNA下N?O排放風險,建議pH調控緩解。
丹麥Unisense電極測量數據的研究意義:
在"1.1.5. Microbial community analysis"和"N?O emission"部分,使用Unisense N?O微傳感器監測反應器頂空氣體。其研究意義包括:
精準量化溫室氣體:直接測定頂空N?O濃度(μmol/L級精度),避免傳統氣相色譜的采樣誤差。
過程關聯分析:發現FNA>3 μgN/L時N?O排放升高,揭示高亞硝酸鹽環境可能刺激不完全反硝化。
工藝優化依據:為降低PAD/A聯合工藝的碳足跡提供關鍵參數,指導pH調控策略抑制N?O還原酶(NosZ)抑制。
該技術的高時空分辨率特性,使其成為評估脫氮工藝環境風險不可替代的工具。