熱線:021-66110810,66110819
手機:13564362870

熱線:021-66110810,66110819
手機:13564362870
Temperature-Induced Environmental Chain Reaction in Marine Sedimentation and Its Impact on Manila Clam Ruditapes philippinarum
溫度誘導的海洋沉積環境鏈式反應及其對菲律賓蛤仔的影響
來源:Frontiers in Marine Science, volume 9, 2022, article number 845768
《海洋科學前沿》,第9卷,2022年,文章編號845768,
摘要
討論了海洋熱浪事件增加對海洋生態系統和水產養殖的負面影響,特別是通過模擬夏季突然溫度變化(24°C、28°C、32°C)來研究溫度如何引發沉積物中的溶解氧消耗和硫化氫釋放,進而影響菲律賓蛤仔的行為(如挖掘行為)和生理響應(如酚氧化酶活性和琥珀酸濃度)。摘要強調溫度升高導致環境鏈式反應,可能威脅蛤仔的生存,并建議在高溫季節采取措施防止沉積物缺氧和硫化氫毒害。
研究目的
探究溫度變化如何通過引發沉積物中的溶解氧消耗和硫化氫釋放(即環境鏈式反應),影響菲律賓蛤仔的行為和生理功能,以解釋夏季大規模蛤仔死亡現象。研究旨在為水產養殖管理和資源保護提供科學依據。
研究思路
通過實驗室模擬不同溫度條件(24°C、28°C、32°C)和兩種沉積物類型(粉砂質沙和沙質),在12小時內測量沉積物中的溶解氧和硫化氫濃度變化。同時,將菲律賓蛤仔置于這些環境中,觀察其挖掘行為(如挖掘指數)和生理指標(如肌肉中的琥珀酸濃度和肝胰腺中的酚氧化酶活性)。數據分析采用多因素方差分析(ANOVA)來評估溫度、時間和沉積物類型的影響。
測量的數據:
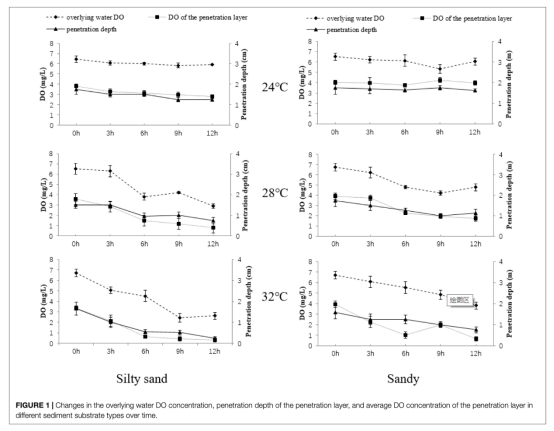
沉積物中的溶解氧參數:包括上層水溶解氧濃度、滲透層平均溶解氧濃度和溶解氧滲透深度,數據來自圖1(Figure 1)。

沉積物中的硫化氫濃度:在不同深度(0-10cm)的濃度變化,數據來自圖2(Figure 2)。

菲律賓蛤仔的挖掘指數:表示蛤仔的埋藏深度變化,數據來自圖3(Figure 3)。

生理指標:肌肉中的琥珀酸濃度(數據來自圖4,Figure 4)和肝胰腺中的酚氧化酶活性(數據來自圖5,Figure 5)。


這些數據的研究意義:
沉積物中的溶解氧和硫化氫數據(來自圖1和圖2)的研究意義在于揭示了溫度如何加速沉積物中的氧消耗和硫化氫釋放,幫助理解環境鏈式反應的機制,這對于預測和緩解夏季水產養殖區的缺氧風險至關重要。例如,數據顯示高溫下溶解氧滲透深度減少50-84%,硫化氫濃度最高達18.10μmol/L,這表明溫度是引發沉積物環境惡化的關鍵驅動因素。
挖掘指數數據(來自圖3)的研究意義在于說明蛤仔在低氧環境下通過減少埋藏深度來增加氧氣獲取,這種行為響應可視為早期預警指標,有助于開發基于行為的養殖監測系統。
生理指標數據(來自圖4和圖5)的研究意義在于評估蛤仔的代謝和免疫狀態;琥珀酸濃度輕微上升但未達厭氧閾值(<4.4μmol/g),表明蛤仔耐受短期壓力,而酚氧化酶活性顯著升高則暗示硫化氫可能損害免疫系統,這些數據為蛤仔的健康管理提供生理依據。
結論
溫度升高導致沉積物溶解氧消耗加快和硫化氫釋放增加,沉積物類型(粉砂質沙比沙質更嚴重)顯著影響這一過程;菲律賓蛤仔在低氧環境下通過減少埋藏深度來行為適應,但生理上未進入厭氧代謝;然而,硫化氫積累可能激活酚氧化酶活性并損害免疫系統,長期暴露會增加死亡率風險。因此,夏季高溫時需監控沉積物環境,并優先選擇沙質沉積區進行養殖以防止鏈式反應造成的危害。
詳細解讀使用丹麥unisense電極測量出來數據的研究意義
丹麥unisense電極用于高精度測量沉積物微米級深度的溶解氧和硫化氫濃度,其研究意義在于提供了空間和時間分辨率極高的環境數據,這在傳統方法中難以實現。例如,該電極能捕捉到沉積物中溶解氧梯度(如滲透深度變化)和硫化氫熱點區域(如表面和底層濃度差異),這有助于揭示溫度引起的生物地球化學變化細節,如氧消耗速率和硫化氫產生機制。這種高分辨率數據對于理解沉積物-水界面的微環境動態至關重要,能預測氣候變化下底棲生物的生存閾值,并為水產養殖提供精準管理策略,比如在熱浪事件中及時干預以防止缺氧和毒害積累。