熱線:021-66110810,66110819
手機:13564362870

熱線:021-66110810,66110819
手機:13564362870
Effects of pollution-induced changes in oxygen conditions scaling up from individuals to ecosystems in a tropical river network
污染引起的氧條件變化的影響從個體到熱帶河流網絡中的生態系統
來源:Science of the Total Environment 814 (2022) 151958
摘要核心內容
本研究以緬甸西當河(Sittaung River)流域為對象,揭示了熱帶低地河流中營養鹽與有機物污染如何通過改變溶解氧(DO)條件,驅動水生生物從個體生理響應到生態系統結構的級聯效應。核心發現包括:
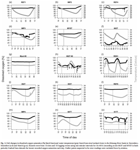
污染加劇氧氣脅迫:農業和城市化導致DO飽和度最低降至9%(表2),夜間DO飽和度赤字高達92%(圖2d,f,h,o)。


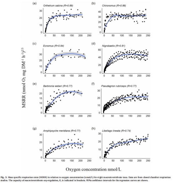
生物調節能力:8種大型無脊椎動物均具氧調節能力(R值0.74-0.89),其中蜻蜓目(O. sabina, R=0.89)和搖蚊(Chironomus, R=0.86)調節能力最強(圖3a-b)。

生態系統響應:污染河段的大型無脊椎動物群落氧調節能力(WAR)與最小DO飽和度顯著負相關(R2=0.69, p<0.001;圖5a),生物多樣性(EPTCO豐富度)和耐污指數(ASPT)同步下降(R2≥0.79;圖5b-c)。

研究目的
闡明機制:揭示熱帶河流中污染(富營養化+有機物輸入)如何通過DO脅迫,驅動水生生物從個體呼吸生理到群落結構的跨尺度響應。
驗證假說:證明污染河段的水生生物需具備更高氧調節能力(R值),且群落水平R值可預測生態系統氧脅迫程度。
管理應用:為熱帶河流保護提供基于DO調控的理論依據。
研究思路與技術路線
采用 “野外監測-實驗室實驗-模型整合” 的三步策略:
野外調查:
在14個河段(7個受干擾/7個相對原始)監測DO日動態(1分鐘分辨率,圖2)、水質(TP/TN表2)、大型無脊椎動物群落(EPTCO/ASPT指數)。
量化濕地分解速率(Wettex布分解實驗,圖4b)。
實驗室實驗:
使用Unisense微電極(500μm尖端)在封閉呼吸室測定8類水生昆蟲的氧調節能力(R值,圖3)。
數據整合:
通過PCA分析土地利用與氧脅迫關系(圖1);

建立個體R值與群落WAR、DO脅迫的回歸模型(圖5)。
關鍵數據及研究意義
1. DO動態與污染梯度(圖2)
數據:受干擾河段(如602T)夜間DO飽和度低至75%(vs. 原始河段>90%),日波動幅度達40%(圖2d)。
意義:證實城市化/農業用地通過提升營養鹽負荷(TP最高1100 μg/L,表2),刺激微生物呼吸,加劇DO消耗(R2=0.81, p<0.001)。
2. 生物氧調節能力(圖3)
數據:所有測試類群均非嚴格氧順應者,其中:
O. sabina(R=0.89)和搖蚊(R=0.86)維持高耗氧率至臨界DO(30-50 nmol/L);
L. lineata(R=0.74)耗氧率隨DO下降而降低(圖3f-h)。
意義:個體R值差異解釋了物種在低氧環境的生存策略,為群落篩選提供生理基礎。
3. 生態系統功能響應
分解速率:污染河段Wettex分解速率達5.45 mg/度日(vs. 原始河段0.12 mg/度日),與營養鹽負荷正相關(R2=0.82, p=0.001;圖4b)。

生物多樣性:EPTCO豐富度從原始河段17降至污染河段0,ASPT指數從6.1降至2.3(圖5b-c),指示氧脅迫導致敏感物種消亡。
4. 土地利用關聯(圖1)
PCA分析:軸1(44.6%方差)代表污染梯度,城市化/農業用地與DO赤字、高分解率顯著正相關(圖1)。
意義:量化了流域開發對河流氧環境的驅動強度。
核心結論
DO是核心脅迫因子:污染通過提升分解速率和呼吸耗氧,導致熱帶河流DO赤字(尤其夜間),高溫(平均26°C)加劇該效應。
生理適應驅動群落更替:高R值物種(如搖蚊)在污染河段占優,群落WAR與最小DO飽和度負相關(圖5a),證明個體生理響應可上推至生態系統。
管理啟示:保護河岸植被(遮蔭降溫)和減少營養鹽輸入是緩解熱帶河流氧脅迫的關鍵。
Unisense電極數據的專項解讀
技術原理與實驗設計
電極型號:Unisense氧微電極(Oxygen MicroOptode, 500μm尖端)。
呼吸室:封閉玻璃室(0.71-2.08 mL),25°C恒溫,磁力攪拌(800 rpm)。
校準:0點(Na?S?O?厭氧水)和100%點(空氣飽和水)校準,SensorTrace RATE軟件記錄。
關鍵發現與機制解析
揭示呼吸策略多樣性(圖3):
氧調節型(如O. sabina):維持恒定耗氧至臨界DO(~30 nmol/L),適應突發低氧。
氧應激型(如Ecnomus):中等DO時耗氧率最高,暗示氧脅迫激活代償機制。
漸變型(如L. lineata):耗氧率隨DO線性下降,耐低氧能力弱。
量化群落功能指標:
基于個體R值計算群落加權平均WAR,證實其與野外DO脅迫顯著相關(圖5a),為生物監測提供新指標。
解析溫度-氧耦合效應:
高溫(>25°C)下代謝率倍增,Unisense數據揭示熱帶物種R值普遍高于溫帶,解釋其對氧脅迫的高敏感性。
研究意義
方法創新:首次將Unisense微呼吸技術應用于熱帶河流生物,實現個體-生態系統跨尺度關聯。
機制深度:揭示氧調節能力(R值)是污染篩選群落的關鍵性狀,超越傳統分類學指標。
預測價值:群落WAR可預測河流氧恢復潛力,為修復工程提供理論支撐。
總結:本研究通過Unisense電極精準量化熱帶水生生物的氧適應策略,建立了從個體生理到生態系統功能的預測框架,強調DO管理對熱帶河流保護的核心地位。