熱線:021-66110810,66110819
手機:13564362870

熱線:021-66110810,66110819
手機:13564362870
A new DGT technique comprising a hybrid sensor for the simultaneous high resolution 2-D imaging of sulfides, metallic cations, oxyanions and dissolved oxygen
一種包含混合傳感器的新型DGT技術用于硫化物、金屬陽離子、含氧陰離子和溶解氧的同步高分辨率二維成像
來源:Journal of Hazardous Materials, 403 (2021) 123597
《危險材料雜志》第403卷 2021年 文章編號123597
摘要內容
本研究開發了一種新型高分辨率擴散梯度薄膜技術(HR-ZCA DGT),結合激光剝蝕電感耦合等離子體質譜(LA-ICP-MS)分析,實現了硫化物(S)、金屬陽離子(Cd、Co、Fe、Cu、Mn、Ni、Pb、Zn)和含氧陰離子(As、Cr、Mo、Sb、Se、V、P、W)共17種元素的同步亞毫米級二維成像。通過雙沉淀法在Chelex-100樹脂膠上依次沉積AgI和氧化鋯(Zr-oxide),制備了新型結合膠。LA-ICP-MS分析顯示,17種元素在結合膠上的積累量與標準化激光剝蝕信號(元素信號/內標13C信號)呈良好線性關系(R2>0.99),驗證了該技術的可行性。所有元素的分析精密度高(RSD<12%)。進一步將新型DGT結合膠與O?平面光極(PO)集成形成混合傳感器,應用于沉積物中O?與多元素動態的高分辨率二維成像。結果表明,As、P和W的遷移受鐵錳氧化物沉淀/溶解過程控制,而V、Co、Ni、Zn、Mo、Cd和Sb在沉積物表層隨鐵硫化物的氧化而釋放。
研究目的
開發一種能夠同步實現硫化物、金屬陽離子和含氧陰離子高分辨率二維成像的新型DGT技術(HR-ZCA DGT),并集成O?平面光極構建混合傳感器,以揭示沉積物中多元素與溶解氧的耦合遷移機制。
研究思路
1. 材料設計與制備:
? 采用雙沉淀法制備新型結合膠(AgI沉積硫化物,Zr-oxide捕獲含氧陰離子,Chelex-100吸附金屬陽離子)。
? 通過SEM-EDS表征結合膠表面元素分布(圖2),證實Zr、Ag、I和O元素均勻分布。

2. 技術驗證:
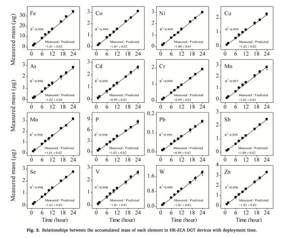
? 溶液實驗驗證結合膠洗脫效率(表2:Se洗脫效率99.7%,P為87.6%)及DGT設備線性響應(圖3:16種元素積累量與時間線性相關,R2>0.997)。


? LA-ICP-MS校準曲線(圖4)顯示元素積累量與標準化信號線性關系(R2>0.99),分析精密度高(RSD<12%,表3)。


3. 混合傳感器集成:
? 結合膠氣體滲透性驗證:Unisense氧電極測量顯示結合膠室內O?濃度變化(圖5),證實氣體可穿透性。

? 平面光極校準:通過調節溶解氧水平獲取熒光圖像,建立O?濃度與熒光強度關系。
4. 沉積物應用:
? 混合傳感器部署于太湖沉積物,同步獲取O?與17種元素的二維分布(圖6)和一維剖面(圖7)。


? 對比LA-ICP-MS與CID(比色成像密度法)的硫化物成像結果,驗證LA-ICP-MS定量準確性。
測量數據及其研究意義
1. 結合膠表征數據(圖2)
? SEM-EDS圖像顯示Zr、Ag、I元素在膠體表面均勻分布。
? 研究意義:證實結合膠中三種結合劑(Chelex-100、Zr-oxide、AgI)的空間均一性,為多元素同步富集提供基礎。
2. 洗脫效率數據(表2)
? Se洗脫效率最高(99.7%),P最低(87.6%);As、Sb、V洗脫效率(>92%)顯著高于文獻報道的ZrO-CA凝膠(55-76%)。
? 研究意義:優化洗脫流程可提高含氧陰離子的回收率,增強DGT定量準確性。
3. 元素積累量-時間關系(圖3)
? 16種元素(除S外)在結合膠上的積累量與時間呈線性增長(R2>0.997)。
? 研究意義:驗證HR-ZCA DGT符合Fick擴散定律,適用于動力學過程研究。
4. LA-ICP-MS校準曲線(圖4)
? 標準化信號(元素信號/13C信號)與元素積累量(pg/點)線性相關(R2>0.99)。
? 研究意義:建立LA-ICP-MS定量分析DGT結合膠的通用方法,實現多元素同步高分辨成像。
5. 氧濃度變化數據(圖5)
? 結合膠室內O?濃度在10分鐘內從4.8 mg/L回升至5.4 mg/L并保持穩定。
? 研究意義:證實結合膠的氣體滲透性,為混合傳感器中O?平面光極的集成提供關鍵依據。
6. 沉積物元素與O?分布(圖6, 7)
? 二維成像顯示As、P、W與Fe、Mn分布相似(沉積物5–20 mm處富集);V、Co、Ni等元素在表層(0–5 mm)釋放。
? 一維剖面揭示局部協同釋放:Ni、Zn、Mo、Sb在–20至–25 mm同步升高;S、V、Co、Zn在–12至–20 mm同步富集。
? 研究意義:揭示沉積物中元素遷移的驅動機制——As/P/W受鐵錳氧化物控制,V/Co/Ni等受硫化物氧化驅動。
丹麥Unisense電極測量意義
研究中采用Unisense氧電極(圖5)測量結合膠室內的O?濃度變化,其核心價值在于:
? 驗證氣體滲透性:通過實時監測封閉腔內O?濃度的動態恢復(5分鐘內從4.8 mg/L升至5.4 mg/L),直接證明結合膠允許氣體自由穿透,確保混合傳感器中O?平面光極能準確反映沉積物中的氧分布。
? 支撐傳感器集成:該測量是混合傳感器設計的關鍵前提,證實DGT結合膠與O?光極的兼容性,避免O?信號因膠體阻隔而失真。
? 方法學創新:為多參數原位同步監測提供技術基礎,克服傳統方法無法兼顧溶解氧與多元素二維成像的局限。
結論
1. 技術創新:成功開發HR-ZCA DGT技術,首次實現硫化物、金屬陽離子和含氧陰離子(共17種元素)的同步高分辨率二維成像(分辨率188 μm),LA-ICP-MS定量精密度高(RSD<12%)。
2. 機制揭示:
? 沉積物中As、P、W的遷移受鐵錳氧化物沉淀/溶解控制,在還原區(5–20 mm)釋放。
? V、Co、Ni、Zn、Mo、Cd、Sb在氧化界面(0–5 mm)隨鐵硫化物氧化釋放,且局部協同釋放現象(如Ni/Zn/Mo/Sb在–20至–25 mm)僅通過二維成像可識別。
3. 應用價值:混合傳感器(DGT-PO)實現O?與多元素動態的同步成像,為沉積物生物地球化學循環研究提供新工具。