熱線:021-66110810,66110819
手機:13564362870

熱線:021-66110810,66110819
手機:13564362870
Benthic oxygen dynamics and implication for the maintenance of chronic hypoxia and ecosystem degradation in the Berre lagoon(France)
貝赫瀉湖(法國)底棲氧動力學及其對慢性缺氧維持和生態系統退化的影響
來源:Estuarine, Coastal and Shelf Science Volume 258, 2021, 107437
《河口、海岸與大陸架科學》第258卷,2021年,文章編號107437
摘要內容
研究探討了底棲氧需求(BOD)如何隨季節性和長期(數十年)缺氧變化,發現缺氧后沉積物中還原性化學物質的積累會導致BOD顯著升高。長期缺氧區因有機物和還原性物質積累導致高BOD,而常氧區因新鮮有機物和生物擾動型底棲動物群落也呈現高BOD。低BOD出現在季節性缺氧區,與底棲群落退化和還原性物質積累較少相關。通過量化BOD與水柱再氧化動力學的競爭關系,證實貝赫瀉湖慢性缺氧事件由BOD和水體分層共同驅動。
研究目的
1. 揭示季節性/長期缺氧對沉積物-水界面氧交換的驅動機制
2. 評估BOD是否足以引發瀉湖缺氧事件
研究思路
1. 空間梯度設計:選取PO(常氧)、PI(季節性缺氧)、PA(永久缺氧)三站點(圖1)

2. 時序觀測:在PI站進行2015-2016年四季采樣(圖3)

3. 多參數同步測量:
? 水柱溶解氧連續監測(圖3)
? Unisense微電極剖面儀原位測量氧滲透深度與擴散通量(圖6)

? 底棲培養室測定總氧通量(圖7)

? 沉積物有機質/色素分析(圖4)

? 底棲生物群落與生境質量評估(圖5)

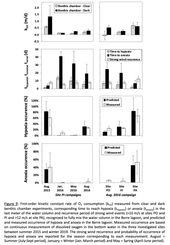
4. 模型構建:建立BOD動力學模型預測缺氧發生條件(圖9)

測量數據及其研究意義
1. 溶解氧時空分布(圖3)
? 意義:量化不同站點缺氧頻率(PA站46%時間缺氧),確立環境基準狀態
2. 氧滲透深度(zo2)(圖6)
? 意義:反映沉積物氧化還原狀態(PA站zo2<0.1mm),指示化學物質積累程度
3. 擴散通量(Jdif)與總通量(Jtot)(圖7)
? 意義:揭示生物擾動貢獻(PO站Jtot/Jdif>1),證實底棲動物對氧傳輸的增強作用
4. 沉積物特性(圖4)
? TOC(PA站4.0%最高)與色素比值:反映有機物積累與新鮮度,解釋BOD差異來源
5. 底棲群落結構(圖5)
? 物種豐富度(PO站9種 vs PA站0種):直接關聯生態系統退化程度
丹麥Unisense電極測量意義
使用Unisense MP6微剖面系統(圖2b)實現:

1. 毫米級分辨率:以0.1mm步長獲取氧滲透深度(圖6),精準捕捉沉積物-水界面氧化梯度
2. 原位真實性:避免采樣擾動,測得PA站擴散通量趨近零(缺氧區無氧消耗),驗證理論模型
3. 動態過程解析:發現生物擾動形成的"氧管"(PI站1.7cm深氧峰,圖6),揭示底棲動物對氧輸運的關鍵作用
4. 通量計算基礎:結合Fick定律計算Jdif,為BOD量化提供核心參數
結論
1. BOD驅動機制:
? 缺氧后還原物質氧化是BOD主要驅動力(PI站夏季Jdif達30 mmol·m?2·d?1)
? 常氧區高BOD由新鮮有機物和生物擾動維持(PO站Jtot/Jdif=2.5)
2. 生態系統反饋:
? 長期缺氧導致底棲群落滅絕(PA站),喪失生物擾動功能
? 季節性缺氧引發群落更替,改變BOD模式(圖8)

3. 缺氧預測模型:
? BOD動力學常數(ko2)與風速再氧化競爭可預測缺氧(圖9),實測與預測吻合度>80%
4. 管理啟示:
? 需同步控制富營養化(降低BOD)和水體分層(增強混合)以修復生態系統