熱線:021-66110810,66110819
手機:13564362870

熱線:021-66110810,66110819
手機:13564362870
Ammonium regulates redox homeostasis and photosynthetic ability to mitigate copper toxicity in wheat seedlings
銨態調節氧化還原穩態和光合能力,減輕小麥幼苗銅的毒性
來源:Ecotoxicology and Environmental Safety 226 (2021) 112825
1. 摘要核心內容
本研究通過水培實驗探究了不同氮形態(銨態氮 NH?? vs 硝態氮 NO??)對銅(Cu)脅迫下小麥幼苗的解毒機制:
NH??顯著緩解Cu毒性:相比NO??處理,NH??處理的小麥在Cu脅迫下生長抑制更輕,光合能力更高,氧化損傷更低。
核心機制:NH??通過降低根際氧化還原電位(Eh)、提高根際溶解氧濃度、增強抗氧化酶活性,維持營養平衡與光合功能,從而減輕Cu毒害。
關鍵發現:NH??處理降低了Cu向地上部的轉運,減少Fe/Mg等營養元素流失,并通過調節根際微環境抑制ROS積累。
2. 研究目的
明確氮形態對Cu毒性的調節作用:對比NH??與NO??對小麥Cu積累、營養吸收及氧化損傷的影響。
揭示生理機制:探究NH??緩解Cu毒性的關鍵途徑(抗氧化系統、光合作用、根際氧化還原狀態)。
提供農業應用依據:為Cu污染農田的小麥氮肥管理提供理論支持。
3. 研究思路
實驗設計:
水培小麥幼苗(品種:川麥104),設置4組處理:
AN:15 mM NH??(對照)
NN:15 mM NO??(對照)
ANC:NH?? + 100 μM Cu2?
NNC:NO?? + 100 μM Cu2?
處理14天后測定生理生化指標。
多維度分析:
生長指標:株高、生物量、根系形態(根長/表面積/體積)。
營養元素:Cu、N、Ca、Mg、Fe、Zn含量(表2),δ1?N同位素示蹤N吸收效率。

光合參數:葉綠素含量(Chl a/b)、凈光合速率(P?)、氣孔導度(g?)(表3)。

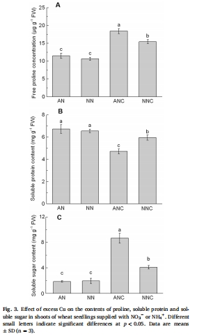
氧化損傷:ROS(O??)、MDA、抗氧化酶(SOD、APX、CAT、GR)活性(圖2)。

根際微環境:溶解氧濃度、氧化還原電位(Eh)(圖4)。
4. 關鍵數據及研究意義
(1) 生長與營養平衡(表1-2 & 圖1)


數據來源:生物量、根系掃描(WinRHIZO分析)、ICP-AES元素測定。
發現:
Cu脅迫顯著抑制生長(ANC/NNC生物量↓),但NH??處理(ANC)根系更長、體積更大(表1)。
NH??處理降低地上部Cu積累(ANC: 460 mg/kg vs NNC: 529 mg/kg),減少Ca/Mg/Fe流失(表2)。
意義:NH??通過維持營養平衡和根系發育,增強Cu耐受性。
(2) 光合與氧化損傷(表3 & 圖2-3)

數據來源:葉綠素分光光度法、氣體交換儀、酶活性測定。
發現:
NH??緩解Cu誘導的光合抑制(ANC的P?顯著高于NNC)。
NH??顯著提升SOD/APX/CAT/GR活性(圖2),降低O??和MDA水平。
意義:NH??通過激活抗氧化系統減少氧化損傷,保護光合機構。
(3) 根際微環境(圖4)

數據來源:Unisense微電極(OX-25測溶解氧,OX-10測Eh)。
發現:
NH??處理(ANC)維持更高根際溶解氧(圖4A),降低Eh值(ANC: +375 mV vs NNC: +425 mV)(圖4B)。
意義:低Eh環境抑制Cu活化,減少ROS生成,為氮吸收提供有利條件。
5. 核心結論
NH??優于NO??:NH??通過調節根際氧化還原狀態(低Eh)、提高溶解氧、增強抗氧化能力,顯著緩解Cu毒性。
機制整合:
根際調控:低Eh減少Cu生物有效性,高氧濃度支持根系代謝。
生理保護:維持營養平衡(尤其Fe/Mg),減少ROS積累。
光合維持:保護葉綠素合成與光合酶活性。
農業啟示:Cu污染農田建議優先選用銨態氮肥。
6. 丹麥Unisense電極數據的詳細解讀
技術原理與方法
設備型號:
OX-25溶解氧微電極:克拉克型電極,尖端直徑25 μm,通過電化學還原O?(O? + 4H? + 4e? → 2H?O)測定電流信號。
OX-10氧化還原電位電極:基于標準氫電極(SHE)校準,直接測定根際Eh值。
實驗流程:
電極校準后插入根際,每5秒記錄數據(Sensor Trace Basic軟件)。
監測Cu脅迫下根際O?動態及Eh變化(持續14天)。
研究意義
揭示根際氧化還原調控機制:
低Eh值(ANC組):指示還原性環境,降低Cu2?→Cu?的氧化還原活性,減少ROS產生(如·OH)。
高溶解氧(ANC組):支持根系呼吸和氮同化,緩解Cu誘導的缺氧脅迫。
數據關聯:低Eh與高抗氧化酶活性、低MDA顯著相關(圖2,4),證實根際氧化還原狀態是Cu解毒的關鍵樞紐。
解釋氮形態效應差異:
NH??的酸化作用:促進根際H?釋放,降低pH,間接維持溶解氧濃度。
NO??的堿化效應:升高pH,加劇缺氧和Eh上升,促進Cu活化。
技術優勢:
原位無損:25 μm微電極實現根際微區實時監測,避免破壞根系結構。
高時空分辨率:捕捉動態變化(如O?消耗速率、Eh波動)。
生理生態關聯:直接鏈接根際化學環境與植物生理響應。
農業應用價值
精準施肥:Unisense數據支持“銨態氮優化根際微環境”的策略,為Cu污染土壤提供管理依據。
抗逆育種:Eh值可作為小麥Cu耐受性的篩選指標。
總結
本研究通過整合生理生化與根際微環境分析,闡明銨態氮緩解小麥銅毒性的三重機制:
(1)根際調控(低Eh + 高O?)→ (2)氧化還原穩態(抗氧化增強 + ROS↓)→ (3)功能維持(營養平衡 + 光合保護)。
丹麥Unisense電極數據為“根際氧化還原樞紐”理論提供了直接證據,凸顯其在解析植物-重金屬互作中的不可替代性。該成果不僅深化了對氮形態調控重金屬毒性的理解,也為農業污染防控提供了可操作的技術路徑。