熱線:021-66110810,66110819
手機:13564362870

熱線:021-66110810,66110819
手機:13564362870
Clam feeding plasticity reduces herbivore vulnerability to ocean warming and acidification
蛤蜊攝食的可塑性降低了食草動物對海洋變暖和酸化的脆弱性
來源:School of Biological and Marine Sciences Faculty of Science and Engineering 2020-01-20
摘要核心發現
論文揭示:海洋變暖(+3℃)和酸化(pH降低0.35單位)通過改變蛤蜊(Scrobicularia plana)的攝食行為(從懸浮攝食為主轉向沉積物攝食),重塑了沉積物生態系統的相互作用網絡。這種行為可塑性緩沖了氣候脅迫對草食動物的負面影響——當蛤蜊存在時,表層無脊椎動物(如螺類Peringia ulvae和線蟲)的存活率顯著提升,因其通過改變營養鹽供給促進了底棲微藻(草食動物的食物資源)的生長質量。
研究目的
1.揭示關鍵物種(蛤蜊)的行為可塑性如何介導海洋變暖與酸化對沉積物群落的級聯效應
2.量化攝食模式轉變對營養循環和群落恢復力的影響機制
3.驗證非致死效應(行為適應)在預測生態系統響應氣候變化中的重要性
研究思路
雙實驗設計:
1.行為實驗:單獨培養蛤蜊,通過壓力傳感器記錄其攝食行為(懸浮/沉積物攝食)對變暖+酸化的響應。
2.群落實驗:培養完整沉積物群落(含底棲微藻、多毛類、螺類等),操縱:
氣候條件(常溫常pH vs. 變暖+酸化)
蛤蜊存在/缺失
測定:孔隙水營養鹽、微藻生物量/活性、無脊椎動物密度
分析方法:
結構方程模型(SEM)解析物種互作網絡(圖4)


混合效應模型檢驗氣候×蛤蜊的交互效應
關鍵數據與來源
1.蛤蜊攝食行為轉變(圖1):


酸化使懸浮攝食頻率↓53%(p=0.028),變暖使沉積物攝食時間↑40%(p=0.040)
意義:規避酸化水體對生理的脅迫(如能量代謝紊亂)
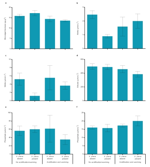
2.微藻與營養鹽動態(圖2):


變暖+酸化使微藻生物量↓28%(p=0.031),但蛤蜊存在時活微藻比例↑(圖2f)
蛤蜊降低孔隙水NO??濃度(常溫下p=0.037;圖2c),促進營養向微藻轉移
3.無脊椎動物響應(圖3):


螺類P. ulvae密度在無蛤蜊時↓92%(p<0.001;圖3b)
線蟲密度在無蛤蜊時↓65%(p<0.001;圖3d)
意義:蛤蜊通過"營養級聯效應"提升草食動物耐受力
4.互作網絡重構(圖4):
常溫下:蛤蜊→(抑制多毛類Hediste→緩解對微藻的捕食壓力)
變暖+酸化下:網絡簡化,蛤蜊→(直接促進微藻→支持螺類生存)
核心結論
1.行為緩沖機制:蛤蜊轉向沉積物攝食減少酸化水體攝入,同時通過生物擾動提升孔隙水營養供給,維持微藻食物質量。
2.群落級聯效應:蛤蜊存在時,草食動物(螺類/線蟲)死亡率↓40-65%,證明關鍵物種行為可塑性增強生態系統恢復力。
3.管理啟示:預測氣候變化影響需納入非致死效應(如行為適應),單純死亡率模型會高估脆弱性。
丹麥Unisense電極數據的獨特價值
技術優勢
微尺度pH測量:針尖500μm的Unisense pH電極實現沉積物剖面垂向高分辨率測量(3mm間隔;方法部分)
原位驗證:直接量化孔隙水pH梯度(Extended Data Fig. 1),發現:

酸化水體(pH~7.45)中,沉積物表層(0-3mm)pH仍維持~7.65,證實碳酸鹽沉積物的強緩沖能力
關鍵科學貢獻
1.揭示行為轉變的生理驅動:
電極數據證實沉積物是"酸化避難所"(表層pH比上覆水高0.2單位),解釋蛤蜊轉向沉積物攝食的合理性——規避高碳酸血癥對能量代謝的損害。
2.量化生境修飾效應:
蛤蜊的灌溉行為(通過Unisense壓力傳感器記錄;圖1c-d)增加深層氧化,促進硝化作用(NO??生成),為微藻提供氮源——連通生物行為-化學環境-營養供給的因果鏈。
3.支撐模型可靠性:
電極實測pH作為SEM模型的輸入參數,確保氣候處理效應(酸化)的精確量化,避免傳統水柱測量的偏差。
理論意義
Unisense電極數據為"沉積物緩沖假說"(Carbonate Buffering Hypothesis)提供實證:
碳酸鹽沉積物通過化學緩沖(CaCO?溶解消耗H?)部分抵消酸化壓力,但生物需通過行為適應(如蛤蜊鉆潛)主動利用此緩沖帶。這一機制對預測沿岸生態系統韌性至關重要,尤其在高排放情景下。
總結
本研究通過多尺度實驗證明:蛤蜊的攝食可塑性是沉積物群落抵抗氣候脅迫的關鍵樞紐。丹麥Unisense電極的核心貢獻在于原位量化微環境化學梯度,揭示生物行為與地球化學反饋的互作機制。未來氣候生態學研究需整合此類高分辨率傳感器技術,以捕捉非致死適應的隱性生態功能。