熱線:021-66110810,66110819
手機:13564362870

熱線:021-66110810,66110819
手機:13564362870
Organic matter diagenesis in hadal setting: Insights from the pore-water geochemistry of the Mariana Trench sediments
有機質成巖作用馬里亞納海溝沉積物孔隙水-水地球化學研究
來源:Deep-Sea Research Part I 147 (2019) 22–31
論文摘要
本研究首次系統報道了馬里亞納海溝(Mariana Trench, MT) 從深海(abyssal, 5500m)到超深淵(hadal, 10257m)的深度斷面沉積物中孔隙水地球化學數據,旨在揭示超深淵沉積環境中有機質(OM)成巖作用的路徑與速率。通過測量孔隙水中溶解氧(DO)、硝酸鹽(NO??)、銨(NH??)、硫酸鹽(SO?2?)的剖面分布,結合一維反應-傳輸模型(PROFILE/REC) 計算,研究發現:總底棲耗氧量、硝化與反硝化的深度積分速率均與水深呈正相關,表明有機質成巖作用在超深淵區域更為強烈。好氧呼吸是主導的OM降解途徑,但在最深的超深淵站位(AB11, 10257m),反硝化作用對總OM礦化的貢獻提升至~5%。研究進一步揭示了硝化與反硝化過程的緊密耦合主導了沉積物中的氮周轉。盡管存在不確定性,本研究為理解地球最深處沉積物的生物地球化學循環提供了新見解。
研究目的
表征OM成巖路徑:區分并量化超深淵沉積物中有機質降解的好氧(需氧呼吸)與厭氧(反硝化等)途徑。
量化反應速率:計算OM礦化速率及氮周轉關鍵過程(硝化、反硝化)的速率,揭示其隨水深的變化規律。
評估超深淵環境的特殊性:探討超深淵作為有機質“沉積中心” 的假說,及其對全球元素循環的潛在貢獻。
研究思路
研究遵循“野外采樣-高分辨率測量-模型計算-機制解析”的系統思路:
樣品采集:在2016-2017年三次科考中,利用抓斗(BC)、重力柱(GC)、多管(MUC)及載人潛水器,沿馬里亞納海溝西南坡Challenge Deep區域,從5423m至10257m的深度斷面獲取了沉積物柱狀樣(圖1)。

原位與實驗室高分辨率測量:
使用丹麥Unisense微電極系統在沉積物剖面上原位測量溶解氧(DO) 的毫米級分辨率微剖面(方法2.1)。
使用Rhizon采樣器提取孔隙水,實驗室分析NO??、NH??、SO?2? 等溶質濃度(方法2.1, 2.2)。
分析沉積物固相總有機碳(TOC)、總氮(TN) 含量及比值(方法2.2)。
模型計算與速率量化:
應用PROFILE和REC模型,基于孔隙水溶質剖面(圖2,4)和擴散系數,計算O?消耗、NO??生產(硝化)與消耗(反硝化)的凈速率(Rnet) 及其深度積分通量(表3)。




通過熱力學計算評估各OM降解路徑的能量學可行性(表2)。
數據整合與機制推斷:對比不同深度站位的反應速率、穿透深度、通量等參數,結合TOC分布(圖3),解析OM成巖作用的主導路徑、強度及其與水深的關系。

測量數據及其研究意義(注明來源)
研究測量了多維度數據,其意義和來源如下:
孔隙水溶質濃度剖面(DO, NO??, NH??, SO?2?):
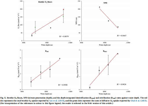
意義:直接反映了沉積物中氧化還原梯度及生物地球化學反應的活躍層位與強度。DO和NO??的穿透深度(OPD, NPD) 隨水深減小(圖2,5),表明深淵站位的氧化劑消耗更快,OM成巖作用更強。NH??濃度極低表明氮循環活躍,硝化-反硝化耦合緊密。

來源:數據見圖2(濃度剖面)和圖5(穿透深度與水深關系)。
沉積物固相特性(TOC, TN, TOC/TN):
意義:TOC含量及垂向分布(圖3)指示了OM的輸入與保存狀況。深淵站位TOC含量更高且剖面波動大,證實了超深淵是有效的OM埋藏中心,可能與構造活動觸發的顆粒物輸入有關。TOC/TN比值(2.19-8.72)指示OM主要為海源。
來源:數據見圖3。
模型輸出的反應速率與通量:
意義:模型計算出的O?消耗通量、硝化與反硝化速率(表3)直接量化了各路徑的絕對貢獻。數據顯示總OM氧化速率(27.19–118.82 μmol C m?2 d?1)、反硝化速率均隨水深增加(圖5),證實了超深淵區域OM降解的增強。
來源:數據見表3及圖4(速率剖面)、圖5(深度積分速率與水深關系)。
研究結論
有機質成巖作用隨水深增強:總OM氧化速率、O?消耗通量、硝化與反硝化速率均與水深呈正相關(圖5),挑戰了“速率隨水深下降”的傳統認知,證實超深淵是高活性有機質成巖中心。
好氧呼吸主導,但厭氧過程不可忽視:好氧呼吸貢獻了絕大部分(>90%)的OM礦化。然而,在最深站位(10257m),反硝化貢獻了~5%的總礦化量,表明厭氧過程在超深淵環境中的作用比此前認知的更重要。
氮循環以硝化-反硝化耦合為特征:硝化產生的NO??足以支持反硝化消耗,兩者緊密耦合,構成了超深淵沉積物氮周轉的核心,并使該區域可能成為上覆水體的NO??源。
硫酸鹽還原作用微弱:SO?2?濃度無變化,H?S檢測不到,SR速率極低(<0.1 μmol C m?2 d?1),表明硫酸鹽還原在能量學上不占優勢(表2),且低有機質含量限制了該過程。
使用丹麥Unisense電極測量數據的研究意義詳細解讀
在本研究中,丹麥Unisense公司的微電極系統被用于原位、高分辨率地測量沉積物剖面的溶解氧(DO)濃度(方法部分2.1,結果部分3.2)。
詳細研究意義如下:
提供關鍵氧化還原梯度,精準界定反應區:Unisense微電極以毫米級分辨率原位測得的DO剖面(圖2a-b)清晰顯示,從沉積物-水界面(SWI)向下,DO濃度隨深度逐漸降低,但直至最大采樣深度(~110cm)也未被完全耗盡(除GT01站)。這直接證實了超深淵沉積物整體上處于氧化性環境,好氧呼吸是可行的。其提供的精確氧化還原梯度是后續模型計算O?消耗通量和速率的基礎輸入參數。
準確計算耗氧通量,量化好氧呼吸強度:基于Unisense測量的高分辨率DO剖面,通過菲克第一定律計算得出的O?向沉積物內部的擴散通量(表3)是評估總OM礦化強度的最關鍵指標之一。數據顯示,該通量從深海站位的~35.34 μmol m?2 d?1增至超深淵站位(GT01)的81.38 μmol m?2 d?1,為“OM成巖作用隨水深增強”的核心結論提供了最直接、定量的證據。
確定氧氣穿透深度(OPD),指示OM降解的限制因素:Unisense數據準確顯示的DO穿透深度(OPD)隨水深增加而減小(圖5)。OPD淺意味著O?在淺層沉積物中即被快速消耗,這排除了氧化劑(O?)限制的可能性,反過來指示了有機質(OM)的供給相對充足,是驅動增強降解的主要因素。沒有Unisense提供的精確OPD,這一關鍵推論將無法成立。
技術優勢保障數據真實性:與傳統采樣后實驗室分析相比,Unisense微電極的原位、無損測量避免了樣品脫離原始環境后因壓力、溫度變化和暴露于空氣導致的O?濃度變化,獲得的DO數據最真實地反映了沉積物內部的原位微環境。其高空間分辨率能捕捉到傳統間隔采樣無法分辨的微觀梯度,這對于模型準確反演反應速率至關重要。
綜上所述,丹麥Unisense微電極獲得的DO數據遠非簡單的濃度測量,它是解碼超深淵沉積物有機質成巖作用的“基石”。通過提供高保真、高分辨率的原位氧分布影像,該技術不僅直接證實了好氧過程的主導地位,更重要的是為精準量化好氧呼吸強度和推斷OM供給狀況提供了不可替代的關鍵參數,最終強有力地支撐了本研究關于“超深淵是有機質高效降解熱點”這一核心結論。