熱線:021-66110810,66110819
手機:13564362870

熱線:021-66110810,66110819
手機:13564362870
Assessing interactions between environmental factors and aquatic toxicity: Influences of dissolved CO2 and light on Cd toxicity in the aquatic macrophyte Potamogeton crispus
評估環境因素與水生毒性的相互作用:溶解CO2和光照對水生大型植物Potamogeton crispus中Cd毒性的影響
來源:Aquatic Toxicology, Volume 212, 2019, pages 247-258
《水生毒理學》,第212卷,2019年,第247-258頁
摘要:
論文摘要指出,研究旨在探討不同溶解CO2濃度(環境CO2:3~17 μmol L?1,升高CO2:48~81 μmol L?1)和光照強度(高光:約150 μmol photon m?2 s?1,低光:約25 μmol photon m?2 s?1)對水生大型植物Potamogeton crispus中鎘(Cd)生物積累和毒性的聯合影響。數據證實100 μM Cd導致P. crispus的形態、超微結構和生化發生不利變化。毒性效應強烈依賴于CO2濃度和光照強度:升高CO2和高光均增加P. crispus中的Cd濃度,且兩因素間存在顯著交互作用。與高光相比,低光下生長的P. crispus在Cd暴露下光化學效率和葉綠素含量受影響較小,MDA含量較低,并觀察到抗氧化響應(SOD、POD和GST活性顯著增加),表明低光更保護植物免受Cd毒性。與環境CO2相比,升高CO2下Cd處理的P. crispus葉綠素含量、葉綠素熒光、光合速率、淀粉含量以及SOD和GST活性顯著增強,表明升高CO2通過增加光合作用和增強抗氧化系統減輕Cd毒性。統計結果顯示溶解CO2和光照對Cd毒性有加性效應,反映在總葉綠素含量、SOD活性和MDA含量等生理參數上,表明高CO2和低光組合比單一因素提供更多保護。基于此,評估水生生態系統中Cd對水生植物的影響時,應考慮溶解CO2濃度和光照可用性。
研究目的:
研究目的是評估溶解CO2濃度和光照強度對Cd在水生大型植物P. crispus中的生物積累和毒性的交互影響,并揭示相關機制,包括對光合作用、抗氧化系統和細胞結構的影響,以深化對環境污染因素協同作用的理解。
研究思路:
研究采用2×2×2因子實驗設計,因素包括Cd(0 μM和100 μM Cd)、光照強度(高光和低光)和溶解CO2濃度(環境CO2和升高CO2)。P. crispus植物在控制條件下暴露6天,隨后測量形態、超微結構、Cd積累、光合參數(色素、熒光、速率、酶活性)、光合產物以及氧化應激指標(MDA和抗氧化酶活性)。通過統計分析(如ANOVA)評估主效應和交互作用,從多角度揭示環境因素對Cd毒性的調節機制。
測量的數據及研究意義:
1. 葉片形態和葉綠體超微結構 - 來自圖1和圖2。研究意義:顯示Cd毒性導致葉片失綠和葉綠體結構破壞(如類囊體模糊),CO2和光照調節這些癥狀的嚴重程度,低光和高CO2減輕損傷,表明環境因素影響細胞完整性,為毒性可視化評估提供依據。


2. Cd積累量 - 來自圖3。研究意義:高光和升高CO2均增加Cd在葉片中的濃度,且存在交互作用,表明光照和CO2通過影響植物代謝和膜運輸改變Cd吸收,對風險評估中生物積累預測至關重要。

3. 光合色素含量(葉綠素a、葉綠素b、總葉綠素、葉綠素a/b比) - 來自圖4。研究意義:Cd暴露降低色素含量,但低光和高CO2緩解此效應,反映光合機構保護程度,色素變化直接關聯光能捕獲能力,指示光合健康狀態。

4. 葉綠素熒光參數(Fv/Fm、Yield、qP、NPQ) - 來自圖5。研究意義:Cd降低PSII最大量子產額(Fv/Fm)和有效量子產額(Yield),增加非光化學淬滅(NPQ),高光和低CO2加劇這些變化,表明環境因素調節光抑制和電子傳輸效率,用于診斷光合功能損傷。

5. 光合酶活性(Rubisco和PEPC) - 來自圖6。研究意義:Cd在高光和環境CO2下顯著降低Rubisco活性,但不影響PEPC,顯示Cd特異性抑制碳固定關鍵酶,CO2和光照通過調節酶活性影響光合碳代謝。

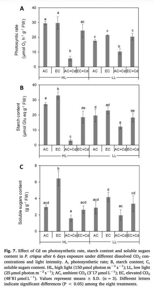
6. 光合速率和光合產物(淀粉和可溶性糖含量) - 來自圖7。研究意義:Cd降低光合速率和淀粉含量,但升高CO2顯著改善之,表明CO2增強碳同化,緩解Cd對能量合成的抑制,光合產物變化反映碳分配策略。

7. 脂質過氧化(MDA含量)和抗氧化系統(GST、SOD、POD活性) - 來自圖8。研究意義:Cd增加MDA含量,指示氧化損傷,但低光和高CO2增強抗氧化酶活性,降低MDA,表明環境因素通過調控ROS清除系統減輕氧化應激,是毒性耐受機制的關鍵。

8. 統計交互效應 - 來自表1。研究意義:方差分析顯示CO2、光照和Cd間存在顯著交互作用(如對總葉綠素、SOD和MDA),證實因素非獨立作用,強調在復雜環境中評估多重脅迫的重要性。

結論:
研究得出結論,Cd毒性在P. crispus中受溶解CO2和光照強烈調節。高光加劇Cd毒性,歸因于Cd積累增加和抗氧化系統效率低;而升高CO2減輕毒性,通過增強光合作用和抗氧化防御。CO2和光照對Cd毒性有交互影響,高光和環境CO2組合導致最嚴重毒性,而低光和高CO2提供最大保護。因此,在水生生態系統中評估Cd影響時,必須考慮溶解CO2濃度和光照可用性,以準確預測和管理污染風險。
使用丹麥Unisense電極測量數據的研究意義:
研究中使用了丹麥Unisense氧微電極(型號OX-13298)測量光合速率,通過監測O2交換來評估凈光合作用。該電極提供高精度和實時O2濃度測量,能在控制環境中精確量化光合活性。研究意義在于:Unisense電極的數據揭示了Cd暴露下光合速率的變化,并顯示升高CO2顯著改善光合速率(尤其在Cd存在時),這驗證了CO2通過增強碳固定緩解Cd毒性的假設。電極測量排除了其他干擾,直接反映光驅動O2產生的效率,為光合作用機制研究提供可靠量化基礎。此外,該方法與葉綠素熒光數據互補,共同證實環境因素對光合生理的調節,突出了在生態毒理學中整合物理化學測量的重要性,以提升數據準確性和生態相關性。