熱線:021-66110810,66110819
手機:13564362870

熱線:021-66110810,66110819
手機:13564362870
Nitrification and denitrification in estuarine sediments with tube-dwelling benthic animals
長江口潮間帶沉積物固氮發生和對環境影響
來源:Hydrobiologia(2018年)819:217–230
論文總結
摘要核心內容
研究了兩種管棲底棲動物(端足類Corophium insidiosum和搖蚊幼蟲Chironomus plumosus)對富營養化河口沉積物中氮循環過程(硝化和反硝化)的物種特異性影響。通過結合過程特異性測量和凈通量分析,研究發現:
通風策略差異:C. insidiosum(持續通風)顯著刺激硝化作用(近15倍于C. plumosus),而C. plumosus(間歇通風)促進水體硝酸鹽(NO??)的反硝化。
氮去除路徑:兩種沉積物凈N?通量相似,但機制不同——C. insidiosum沉積物中耦合硝化-反硝化主導(66%),C. plumosus沉積物中水體NO??反硝化主導(76%)。
環境驅動:沉積物特性(如有機質反應性)和動物生態特征(如耐低氧能力、棲居深度)共同調控氮轉化效率。
方法創新:采用1?NO??稀釋法和N?/Ar測量替代傳統同位素配對技術(IPT),避免了IPT在生物擾動沉積物中的均質化假設問題。
摘要強調,底棲動物通過物種特異性機制調控氮循環,其生態功能不能僅憑功能群分類簡單推斷。
研究目的
本研究旨在:
量化物種效應:對比兩種管棲動物(C. insidiosum和C. plumosus)對沉積物硝化和反硝化過程的差異化影響。
解析機制路徑:闡明生物擾動(如通風模式、棲居深度)如何通過改變氧化還原環境驅動氮轉化(如NH??氧化、NO??源匯)。
驗證方法可行性:開發基于1?NO??稀釋和N?/Ar測量的替代方案,克服IPT在異質沉積物中的局限。
評估生態意義:為河口氮管理提供物種水平的實證依據,指導富營養化控制策略。
研究思路
研究采用雙站點對比與多方法聯用策略:
站點與物種選擇:
Curonian瀉湖(立陶宛):采集C. plumosus(搖蚊幼蟲),耐低氧、深棲(10-15 cm)、間歇通風。
Sacca di Goro瀉湖(意大利):采集C. insidiosum(端足類),氧敏感、淺棲(2-5 cm)、持續通風。
實驗設計:
實驗1(Curonian):重建沉積物微宇宙,設置無動物、低豐度(600 ind m?2)、高豐度(1,800 ind m?2)處理,預培養3周穩定系統。
實驗2(Sacca di Goro):直接采集原狀沉積物巖心(n=11),預培養3天。
測量方法:
凈通量測量:黑暗批次培養測量O?、NH??、NO??、NO??、N?凈通量(N?/Ar法)。
硝化速率:1?NO??稀釋法量化1?NO??外排(硝化貢獻)。
沉積物特性:分析有機碳(Corg)、總氮(TN)、孔隙水NH??、潛在硝化速率(PN)。
數據分析:ANOVA比較處理差異,線性回歸分析動物生物量與通量關系。
測量數據、來源及其研究意義
本研究測量了多維度數據,其具體來源和科學意義如下:
1. 溶解氧與無機氮凈通量(來自 Table 1)

數據內容:O?消耗(-1,035至-7,611 μmol m?2 h?1)、NH??通量(-89.2至+2.3 μmol m?2 h?1)、NO??通量(-731.3至+365 μmol m?2 h?1)、N?產生(395.1至2,195 μmol m?2 h?1)。
研究意義:
O?消耗差異:C. insidiosum沉積物O?需求更高(Table 1),反映其持續通風促進有機質礦化。
N?通量相似性:盡管機制不同,兩種沉積物N?通量無顯著差異,表明氮去除能力相當但路徑分化。
2. 硝化作用數據(來自 Table 1和 Fig. 3)

數據內容:1?NO??外排速率(C. insidiosum:194.8 μmol m?2 h?1;C. plumosus:55.9 μmol m?2 h?1)。
研究意義:
物種特異性刺激:C. insidiosum對硝化的促進效應是C. plumosus的15倍(斜率43.13 vs. 2.45 μmol g?1 h?1),源于其持續通風維持 burrow 氧化環境(Fig. 3)。
NH??利用:C. insidiosum沉積物孔隙水NH??濃度更高(Fig. 1),支持更高硝化潛力。
3. 孔隙水與潛在硝化剖面(來自 Fig. 1)

數據內容:孔隙水NH??濃度(C. plumosus:~7 μM全剖面;C. insidiosum:表層12.1 μM,深層188.3 μM)、潛在硝化速率(C. insidiosum表層峰值498 nmol cm?3 h?1)。
研究意義:
NH??分布差異:C. plumosus沉積物NH??均勻低值,指示高效去除;C. insidiosum沉積物深層積累,反映礦化-硝化脫耦聯。
硝化熱點:C. insidiosum burrow 壁形成硝化熱點,支持其高1?NO??外排。
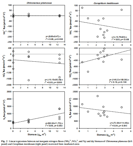
4. 動物生物量與通量關系(來自 Fig. 2和 Fig. 3)

數據內容:C. plumosus生物量與N?通量正相關(r2=0.65),C. insidiosum生物量與1?NO??外排正相關。
研究意義:
功能分化:C. plumosus直接增強水體NO??反硝化,C. insidiosum通過硝化間接驅動反硝化(Fig. 2)。
管理啟示:物種組成影響氮去除路徑選擇(如水體NO??輸入高時C. plumosus更有效)。
5. 沉積特性數據(來自文本結果)
數據內容:Corg(3.9-4.0%)、TN(0.34-0.50%)、顆粒尺寸(泥質為主)。
研究意義:高有機質負荷為反硝化提供碳源,但可能抑制硝化(通過O?競爭),凸顯動物調控的關鍵作用。
主要結論
物種特異性機制:C. insidiosum通過持續通風刺激硝化,C. plumosus通過間歇通風促進水體NO??反硝化。
路徑等效性:兩種沉積物凈氮去除率相似,但貢獻路徑不同(耦合硝化-反硝化 vs. 直接反硝化)。
環境依賴性:氮去除效率受有機質反應性、氧可用性及動物功能性狀共同調控。
方法優勢:1?NO??稀釋法與N?/Ar聯用有效規避IPT局限,適用于生物擾動沉積物。
詳細解讀:使用丹麥Unisense電極測量數據的研究意義
在本研究中,丹麥Unisense公司的氧微電極(OX-50)被用于監測上覆水溶解氧濃度(方法部分),雖未直接用于沉積物剖面測量,但其數據對實驗控制至關重要:
測量背景
Unisense OX-50微電極具高精度(靈敏度0.2 μM)和快速響應特性,用于實時監測批次培養中上覆水O?濃度變化,確保孵化期間O?水平維持在初始值的20-30%內(避免缺氧或超飽和)。
研究意義解讀
過程控制保障:微電極實時數據確保孵化時間優化(Curonian 5h vs. Sacca di Goro 2h),防止O?耗盡導致反硝化抑制或NH??積累,保障通量測量準確性。
通風活動量化:O?消耗速率(Table 1)間接反映動物通風強度——C. insidiosum沉積物更高O?需求(-7,611 μmol m?2 h?1)印證其持續通風策略,支持其高效硝化。
氧化還原界定:維持上覆水O?>20%初始值確保burrow微環境氧化,避免Fe/S還原干擾氮轉化,為硝化提供必要O?條件。
方法學支撐:微電極數據驗證1?NO??稀釋法前提(O?充足促硝化),確保1?NO??外排準確反映硝化速率。
盡管Unisense電極未直接用于剖面掃描,其提供的高精度O?時序數據是實驗設計、過程控制和機制解析的基礎。沒有這些數據,研究無法確保孵化條件一致性或驗證通風策略差異,凸顯微電極在沉積物-水界面過程研究中的輔助價值。