熱線:021-66110810,66110819
手機:13564362870

熱線:021-66110810,66110819
手機:13564362870
Photoelectrochemical hydrogen production from water splitting using heterostructured nanowire arrays of Bi2O3/BiAl oxides as a photocathode
利用Bi2O3BiAl氧化物的異質結構納米線陣列作為光電陰極,從水的分裂中產生電化學氫
來源:Solar Energy Materials and Solar Cells
論文總結
研究了一種無銅光陰極材料——Bi2O3/Al2Bi24O39/Al2Bi48O75三元異質結構納米線陣列,用于光電化學(PEC)水分解產氫。以下從摘要、研究目的、研究思路、測量數據及意義、結論等方面進行總結,并詳細解讀丹麥Unisense電極的應用意義。
一、論文摘要
研究通過噴霧熱解法制備了Bi:Al氧化物異質結構光陰極,其帶隙窄(1.83 eV),導帶邊電位合適(-0.98 V vs. RHE),適用于中性pH下水還原產氫。優化Bi:Al摩爾比(21:1)后,在模擬陽光下(AM 1.5G)的光電流密度達-4.85 mA cm?2(0 V vs. RHE),起始電位為0.57 V vs. RHE。恒電位電解(0 V vs. RHE)2小時顯示穩定性高(光電流-2 mA cm?2),氫氣產量696 μmol cm?2,法拉第效率93%。該無銅光陰極避免了銅基材料還原失活問題,為高效PEC水分解提供了新策略。
二、研究目的
開發無銅光陰極:解決銅基光陰極(如Cu2O、CuBi2O4)在陰極偏壓下銅還原導致失活的問題,提升穩定性。
利用鉍基氧化物優勢:鉍的6s軌道與氧2p軌道雜化形成價帶,促進電荷分散和窄帶隙,增強可見光吸收。
優化異質結構性能:通過調節Bi:Al摩爾比和退火溫度,控制相組成(如Bi2O3、Al2Bi24O39、Al2Bi48O75),改善電荷分離和傳輸。
評估PEC性能:測量光電流、起始電位、穩定性及法拉第效率,與現有材料對比。
推動實際應用:為低成本、高效太陽能制氫提供新材料方案。
背景基于銅基光陰極雖高效但不穩定;鉍基氧化物具潛力但研究較少;異質結構可增強光吸收和電荷分離。
三、研究思路
研究采用材料合成、表征與性能測試結合的方法:
材料合成:通過噴霧熱解在FTO基底上沉積Bi:Al前體溶液(Bi:Al摩爾比1:1至3:1),在130°C沉積后于400-550°C退火,形成結晶薄膜。
結構表征:使用XRD分析晶體相(Fig. 1, Fig. 3);SEM和HRTEM觀察形貌和納米結構(Fig. 4, Fig. 5);XRF和ICP測定元素組成。




光學性質:UV-Vis漫反射光譜(Fig. 6)和Tauc圖(Fig. 7)計算帶隙。


電化學測試:在三電極體系中(pH 7.2 Na2SO4電解液),通過LSV測光電流(Fig. 2, Fig. 8a)、
EIS分析電荷轉移(Fig. 12)、Mott-Schottky圖確定半導體類型(Fig. 9)。




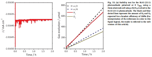
性能評估:計時安培法測穩定性(Fig. 13a);IPCE譜評估光子效率(Fig. 11);使用Unisense電極實時監測H2和O2產量(Fig. 13b),計算法拉第效率。


機制分析:基于能帶結構提出異質結電荷分離模型(Fig. 14)。

四、測量數據、來源及研究意義
研究測量了多維度數據,其意義及來源如下(數據均標注自原文圖/表):
晶體結構分析(數據來自Fig. 1和Fig. 3):
數據:XRD顯示在不同退火溫度下形成不同相(如500°C時主要相為Al2Bi24O39和Al2Bi48O75);Bi:Al摩爾比影響相組成(21:1時出現Bi2O3相)。
研究意義:確認異質結構成功構建;相組成優化利于電荷分離,如Bi2O3與BiAl氧化物界面促進電子注入。
形貌與納米結構(數據來自Fig. 4和Fig. 5):
數據:SEM顯示納米線陣列結構(直徑~100 nm,長度~920 nm);HRTEM顯示晶格條紋(d=0.26 nm對應Bi2O3,d=0.29 nm對應Al2Bi48O75),證實異質結界面。
研究意義:納米線陣列提供高比表面積,增強光吸收和反應位點;異質結界面降低電荷復合。
光學性質與帶隙(數據來自Fig. 6和Fig. 7):
數據:UV-Vis光譜顯示Bi:Al材料吸收邊延伸至800 nm;Tauc圖計算帶隙:Bi:Al(21:1)為1.83 eV,Bi2O3為2.02 eV。
研究意義:窄帶隙(1.83 eV)利于可見光捕獲;導帶邊-0.98 V vs. RHE熱力學允許水還原。
光電化學性能(數據來自Fig. 2和Fig. 8a):
數據:LSV曲線顯示Bi:Al(21:1)光陰極光電流密度最高(-4.85 mA cm?2 at 0 V vs. RHE),起始電位0.57 V vs. RHE;厚度優化后(920 nm)性能最佳。
研究意義:異質結構顯著提升光電流;起始電位接近硅材料,顯示競爭力。
電荷傳輸動力學(數據來自Fig. 12):
數據:EIS Nyquist圖顯示Bi:Al(21:1)電荷轉移阻力最小(光照下0.3 kΩ),低于Bi2O3(2.5 kΩ)。
研究意義:異質結降低界面阻力,加速電子傳輸;證實結構設計優化反應動力學。
穩定性與法拉第效率(數據來自Fig. 13a-b):
數據:計時安培法顯示2小時內光電流穩定(-2 mA cm?2);Unisense電極測量H2產量696 μmol cm?2,法拉第效率93%。
研究意義:高穩定性表明無銅材料抗失活;93%效率驗證水還原為主導反應。
IPCE與能量轉換效率(數據來自Fig. 11和Fig. 8c):
數據:IPCE譜在340 nm處峰值3.2%(Bi:Al(21:1));半電池太陽能-氫(HC-STH)效率0.33% at 0.16 V vs. RHE。
研究意義:證實可見光區活性;HC-STH效率為實際應用提供參考。
五、研究結論
成功開發無銅光陰極:Bi2O3/BiAl氧化物異質結構兼具窄帶隙、合適能帶位置和高穩定性,性能優于多數鉍基材料(如CuBi2O4)。
優化條件關鍵:Bi:Al摩爾比21:1和退火溫度500°C時性能最佳;納米線厚度920 nm平衡光吸收和電荷分離。
高效PEC產氫:光電流-4.85 mA cm?2,起始電位0.57 V vs. RHE,法拉第效率93%,2小時內穩定性良好。
機制明確:異質結促進電荷分離(電子從Bi2O3注入BiAl氧化物),降低復合;Unisense數據直接驗證H2產生。
應用前景:該材料為設計高效、穩定PEC器件提供新途徑,尤其適合中性pH水分解系統。
六、詳細解讀使用丹麥Unisense電極測量出來的數據有什么研究意義
丹麥Unisense微傳感器(型號H2-500和OX-500)在本研究中用于實時監測電解過程中氫氣和氧氣濃度,以計算法拉第效率(實驗部分)。其研究意義如下:
直接氣體定量與效率驗證:
技術描述:Unisense電極基于電化學原理,提供高靈敏度、原位溶解H2和O2檢測,避免離線采樣誤差。
數據關聯:在Fig. 13b中,恒電位電解(0 V vs. RHE, 2小時)后,H2傳感器測得產量696 μmol cm?2,與理論電荷量對比得法拉第效率93%;O2傳感器測對應電極產量322 μmol cm?2,效率87%。
研究意義:直接證實水分解發生(2H2O → 2H2 + O2),排除副反應(如催化劑腐蝕)干擾;93%高效率表明電子幾乎全部用于產氫,驗證催化劑選擇性。
穩定性與耐久性評估:
實時監測:2小時內持續跟蹤氣體產量,結合光電流穩定性(Fig. 13a),確認無性能衰減。
研究意義:突出無銅材料抗失活優勢;Unisense數據為長期運行提供實證,支持實際應用潛力。
反應機制輔助分析:
化學計量驗證:H2和O2產量比接近2:1,符合水分解計量學;O2效率略低(87%)可能源于陽極副反應。
研究意義:強化異質結催化機制提案(Fig. 14);確認光陰極功能為水還原,陽極為水氧化。
方法學優勢:
高精度與可靠性:檢測限低(H2為0.3 μM),響應快,適合動態過程;校準后數據準確。
研究意義:為PEC研究提供標準氣體監測工具,尤其適合低電流密度系統;提升結果可信度和可重復性。
總之,Unisense電極不僅是檢測工具,更是驗證催化效率、選擇性和穩定性的核心:其實時數據直接證明了BiAl光陰極的高效產氫能力和耐久性,為無銅PEC材料開發提供了關鍵證據。這強調了在能源轉換研究中集成高精度氣體傳感的重要性,尤其在評估實際應用潛力時不可或缺。