熱線:021-66110810,66110819
手機:13564362870

熱線:021-66110810,66110819
手機:13564362870
Intratumoral high-payload delivery and acid-responsive release of H2 for efficient cancer therapy using the ammonia borane-loaded mesoporous silica nanomedicine
基于氨硼烷負載的介孔二氧化硅納米藥物的腫瘤內高負載遞送和酸響應釋放氫氣用于高效癌癥治療
來源:Applied Materials Today, Volume 11, 2018, Pages 136-143
《今日應用材料》,第11卷,2018年,頁碼136-143
摘要
論文摘要指出,氫氣療法作為一種新興且有前途的治療策略,具有生物安全性高的優勢,但面臨挑戰,因為氫氣溶解度低、在體內擴散性高但無目標性。作者構建了氨硼烷負載的介孔二氧化硅納米藥物(AB@MSN),實現腫瘤內高負載遞送和原位酸控制釋放氫氣。AB@MSN具有超高的H2負載能力(130.6 mg/g,比傳統的H2@脂質體納米藥物高1370倍)和高度酸響應持續釋放行為,在體外和體內表現出高抗癌效力和高生物安全性。
研究目的
研究目的是解決氫氣療法中氫氣遞送和釋放的挑戰,通過開發一種納米藥物來實現高負載、酸響應釋放氫氣,以提高癌癥治療效果,特別是針對深層腫瘤部位,利用腫瘤微環境的酸性特性。
研究思路
研究思路包括使用氨硼烷(AB)作為氫氣前藥,因為它具有高儲氫能力(10 wt.%),并能在酸響應下分解產生H2。使用介孔二氧化硅納米顆粒(MSN)作為藥物載體,利用其高表面積和良好生物相容性負載AB。構建AB@MSN納米藥物,通過SEM、TEM、DLS、FTIR等手段表征其形態、尺寸和負載能力;評估其酸響應H2釋放行為使用不同pH的PBS;檢測細胞內H2釋放和ROS水平變化;進行體外細胞毒性測試 on 多種癌細胞和正常細胞;進行體內實驗 on 腫瘤小鼠模型,評估抗癌效果和生物安全性。
測量的數據及研究意義
1. 從圖1的SEM和TEM圖像顯示MSN的形態和尺寸約50 nm,單分散性好,研究意義是MSN的尺寸和結構有利于高效細胞攝取和藥物負載,為納米藥物設計提供基礎。

2. 從圖2的FTIR數據顯示AB成功負載到MSN中,負載能力為653 mg/g AB(相當于130.6 mg/g H2),研究意義是證明AB@MSN具有超高H2負載能力,遠超傳統方法,確保高效療法。

3. 從圖3的H2釋放曲線顯示在酸性PBS(pH=5.0, 5.8, 6.8)中H2釋放速率高,而在pH=7.4幾乎不釋放,研究意義是驗證AB@MSN的酸響應性,能針對腫瘤酸性微環境釋放H2,減少對正常組織影響。

4. 從圖4的細胞內H2釋放檢測使用MB+Pt探針,顯示AB@MSN在細胞內持續釋放H2并降低ROS水平,研究意義是證實納米藥物能在癌細胞內有效釋放H2,降低氧化應激,發揮抗癌作用。

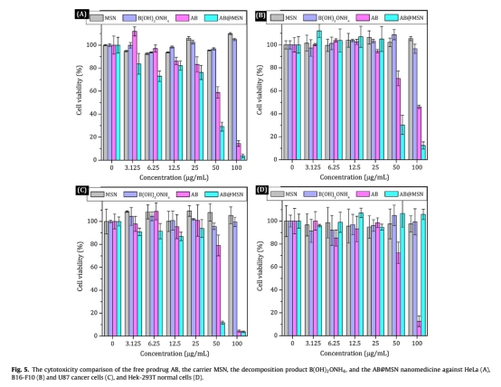
5. 從圖5的細胞毒性測試顯示AB@MSN對癌細胞(HeLa、B16-F10、U87)有顯著毒性,但對正常細胞(Hek-293T)毒性低,研究意義是證明AB@MSN的選擇性抗癌特性,提高治療安全性。

6. 從圖6和7的體內實驗數據顯示AB@MSN抑制腫瘤生長,小鼠存活率高,器官無損傷,研究意義是驗證AB@MSN在體內的有效性和生物安全性,支持其臨床轉化潛力。


結論
論文得出結論,AB@MSN納米藥物實現了超高H2負載和酸響應釋放,在癌細胞中選擇性降低ROS水平,有效抑制腫瘤生長,且具有高生物安全性。這種策略為精準高效氫氣療法開辟了新途徑,有望成為癌癥治療的新方法。
使用丹麥Unisense電極測量數據的研究意義
使用丹麥Unisense電極(Microsensor Monometer)測量H2釋放數據的研究意義在于,該電極能夠實時、精確監測H2的釋放濃度和速率,如在圖3中用于測量AB@MSN在不同pH下的H2釋放曲線。這提供了可靠的動力學數據,驗證了納米藥物的酸響應釋放機制,確保H2在腫瘤微環境中的可控釋放,為優化藥物設計和評估療效提供了關鍵實驗依據。