熱線:021-66110810,66110819
手機:13564362870

熱線:021-66110810,66110819
手機:13564362870
Effects of irrigation and water content of packing materials on a thermophilic biofilter for SO2 removal: Performance, oxygen distribution and microbial population
灌溉和填料材料含水量對嗜熱生物過濾器去除SO2的影響:性能、氧分布和微生物種群
來源:Biochemical Engineering Journal, Volume 118, 2017, Pages 105-112
《生化工程雜志》,第118卷,2017年,105-112頁
摘要
摘要部分闡述了填料材料的水含量是影響生物過濾器性能的關鍵因素,特別是對于嗜熱生物反應器處理廢氣。通過直接灌溉填料可以實現最佳水含量。本研究通過不同灌溉時間調查了嗜熱生物過濾器去除SO2的性能。SO2的去除效率很大程度上受填料水含量的影響,水含量隨灌溉時間變化。當水含量大于80%時,平均SO2去除效率可達98%。嗜熱生物過濾器需要每日灌溉以維持最佳水含量。氧分布在不同水含量的聚氨酯泡沫立方體中變化,高水含量的立方體提供了好氧-低氧-好氧區域。微生物種群也相應變化。對于處理SO2的嗜熱生物過濾器,超過80%的水含量是最佳的,可以通過連續灌溉實現。
研究目的
研究目的是確定水含量對嗜熱生物過濾器性能的影響,包括SO2去除效率、氧分布和微生物種群,并建立嗜熱生物過濾器處理廢氣的高效灌溉方法。
研究思路
研究思路包括操作一個嗜熱生物過濾器,通過逐步改變灌溉間隔時間(從7天到連續灌溉),監測SO2去除效率、填料水含量、氧分布(使用微電極)和微生物種群(通過PCR-DGGE分析)。研究還分析了氧分布與水含量的關系,以及微生物多樣性與灌溉頻率的關聯,以優化操作條件。
測量的數據及研究意義
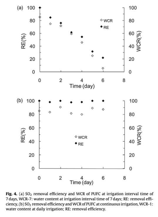
1 SO2去除效率數據:來自圖3和圖4。數據顯示灌溉間隔時間縮短時,SO2去除效率從60%(7天灌溉)提高到90%以上(每日或連續灌溉)。研究意義在于表明水含量是影響SO2去除的關鍵因素,高水含量促進SO2溶解和微生物降解,指導優化灌溉策略以提高處理效率。


2 填料水含量數據:來自圖4和圖5。水含量隨灌溉頻率增加而升高,連續灌溉時維持大于80%。研究意義在于驗證水含量與去除效率正相關,幫助確定最佳水含量范圍(大于80%)以實現高效運行。

3 氧分布數據:使用丹麥Unisense微電極測量,來自圖7。高水含量(如98.08%)時氧濃度從填料表面到中心逐漸降低,形成好氧-低氧-好氧區域;低水含量(如2.30%)時氧分布均勻。研究意義在于揭示水含量影響氧傳遞和微生物微環境,為設計填料和調控通氣提供依據。

4 微生物種群數據:來自圖8、表2、表3和表4。通過DGGE分析顯示,灌溉頻率增加時微生物多樣性提高,兼性厭氧菌比例從30.76%升至57.14%。研究意義在于說明水含量變化調控微生物群落結構,影響SO2生物降解路徑,助力微生物管理優化。




結論
1 最佳填料水含量大于80%,可通過每日灌溉實現,此時SO2去除效率最高(超過90%)。
2 高水含量導致氧分布不均,形成好氧和低氧區域,影響微生物活動;低水含量時氧分布均勻但去除效率下降。
3 灌溉頻率增加促進微生物多樣性和兼性厭氧菌生長,但連續灌溉可能增加能耗,建議使用多孔填料平衡水含量和能耗。
使用丹麥Unisense電極測量數據的研究意義
在研究中,丹麥Unisense微電極用于高精度測量聚氨酯泡沫立方體內的氧濃度分布,數據以高空間分辨率(每100微米)記錄。測量意義在于直接量化了填料內部氧梯度,顯示高水含量下氧擴散受限形成低氧區,這解釋了微生物種群變化(如兼性厭氧菌富集)。這些數據鏈接了物理參數(水含量)與生物過程(微生物代謝),為優化生物過濾器設計(如填料選擇和灌溉策略)提供了實驗證據,避免了厭氧條件導致的性能下降。因此,該技術是理解生物過濾器內部微環境機制的關鍵工具。