熱線:021-66110810,66110819
手機:13564362870

熱線:021-66110810,66110819
手機:13564362870
Transport, anoxia and end-product accumulation control carbon dioxide and methane production and release in peat soils
泥炭土壤中二氧化碳和甲烷產生與釋放的運輸、缺氧和最終產物積累控制
來源:Biogeochemistry, Volume 133, 2017, Pages 219-239
《生物地球化學》,第133卷,2017年,第219-239頁
摘要
論文摘要指出,厭氧呼吸和甲烷生成在水飽和泥炭土壤中會因代謝最終產物(溶解無機碳DIC和甲烷CH4)的積累而減緩,這是由于溶質和氣體運輸不足。研究通過柱實驗探究擴散、平流水通量、強化氣泡運輸和擴散供氧對厭氧分解速率和碳周轉的影響。結果顯示,DIC和CH4積累導致分解在150天后減緩,厭氧生產速率在近水位處最快,隨深度銳減。DIC停留時間與厭氧呼吸負相關,可作為泥炭分解預測指標。平流運輸擴大了甲烷生成區,但氣泡運輸和嚴格缺氧條件影響較小。
研究目的
研究目的包括:實驗驗證泥炭埋藏導致厭氧分解失活;調查平流垂直運輸和氣泡運輸是否增強深層泥炭的厭氧呼吸和甲烷生成;量化持續缺氧條件對碳通量和分解的影響;探索DIC停留時間作為厭氧分解速率預測因子的適用性。
研究思路
研究采用柱實驗,使用均質泥炭,設置四種處理:擴散主導對照、平流運輸、強化氣泡運輸和缺氧條件。實驗持續300天,測量DIC和CH4濃度、生產速率、通量、氣體孔隙度、氧氣剖面和微生物碳生物量等參數。通過質量平衡計算和統計分析,評估運輸對分解的影響。
測量的數據及研究意義
1 DIC和CH4濃度數據來自圖2,研究意義是顯示最終產物積累導致分解減緩,證實代謝抑制效應,DIC濃度在深層達4-10 mmol L?1,CH4達0.3-1.0 mmol L?1,表明運輸限制加劇產物積累。

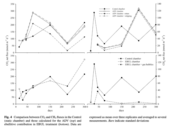
2 氣體通量數據來自圖3和圖4,研究意義是比較不同處理下CO2和CH4排放,顯示平流處理CO2通量較高(平均147 mmol m?2 day?1),但處理間差異不顯著,突出運輸對通量影響有限。


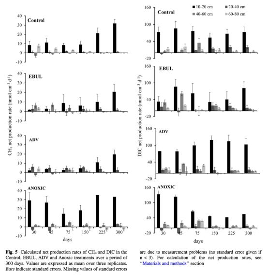
3 凈生產速率數據來自圖5,研究意義是揭示分解速率隨深度下降,在10-20 cm深度DIC生產速率為54-119 nmol cm?3 day?1,在40-80 cm降至0.001-0.07 nmol cm?3 day?1,強調深層泥炭分解失活。

4 微生物生物量碳數據來自圖7,研究意義是顯示微生物碳隨深度減少(從0.31-0.71 mg g?1降至0.18-0.22 mg g?1),支持分解減緩與微生物活性下降相關。

5 氧氣剖面數據使用丹麥Unisense電極測量,來自圖6,研究意義是量化氧化還原梯度,顯示氧氣在飽和區降至零,缺氧條件主導分解過程。

6 DIC停留時間數據來自文本計算,研究意義是作為分解速率預測指標,與厭氧呼吸負相關(Spearman p < 0.01),提供運輸控制分解的新證據。
結論
研究得出結論:泥炭埋藏和代謝最終產物積累有效減緩分解,分解常數從近表面10?? year?1降至深層10?? year?1。平流運輸輕微擴大甲烷生成區,但氣泡運輸和缺氧條件影響不顯著。DIC停留時間可作為泥炭分解預測因子,需在環境變化模型中考慮運輸效應。
使用丹麥Unisense電極測量數據的研究意義
使用丹麥Unisense氧微電極(Clark型)測量溶解氧剖面,以高空間分辨率(如微米級步長)揭示泥炭柱中的氧氣分布。研究意義在于直接驗證缺氧條件的存在:數據顯示氧氣在飽和區降至檢測限以下(<0.3 μmol L?1),證實厭氧環境主導深層分解;同時,在非飽和區,氧氣濃度梯度陡峭(從301 μmol L?1降至近零),幫助區分氧化和厭氧分解區域。這種測量提供了關鍵地球化學參數,將氧氣可用性與微生物過程耦合,證實運輸限制如何通過氧化還原梯度影響碳循環,為理解泥炭分解失活機制提供實驗支持。