熱線:021-66110810,66110819
手機:13564362870

熱線:021-66110810,66110819
手機:13564362870
Groundwater shapes sediment biogeochemistry and microbial diversity in a submerged Great Lake sinkhole
被淹沒的大湖天坑中的地下水形成沉積物生物地球化學和微生物多樣性
來源:Geobiology. 2017;15:225–239.
論文摘要
本文研究了美國休倫湖中島滲坑(Middle Island Sinkhole, MIS)這一獨特生態系統。該滲坑由富含硫酸鹽的堿性地下水上涌形成,創造了低氧、高硫化物的環境,支持著以藍細菌為主的茂密微生物墊的生長。這些微生物墊能進行產氧光合作用、不產氧光合作用和化學合成。本研究首次通過高通量16S rRNA基因測序與詳細的地球化學分析相結合,深入探討了墊層下方富含有機質的沉積物中的微生物群落結構及其生物地球化學功能。研究發現,滲坑沉積物中的微生物群落具有極高的多樣性,并且在垂直深度上(至12厘米)呈現明顯的分層現象。與普通休倫湖(Lake Huron, LH)沉積物相比,MIS沉積物中硫、甲烷和營養鹽的循環非常活躍,導致了孔隙水中高濃度的硫化物、銨和磷酸鹽。微生物群落組成與營養鹽有效性指標顯著相關。這些結果表明,微生物墊與下層沉積物之間的相互作用,是維持這個生物多樣性熱點和高效生物地球化學循環系統的關鍵。
研究目的
本研究旨在揭示控制沉水滲坑這一獨特生態系統的生物地球化學過程和微生物生態學機制。具體目的包括:
比較研究: 對比中島滲坑(MIS)與鄰近普通休倫湖(LH)沉積物在地球化學條件和微生物群落組成上的根本差異。
揭示垂向分層: 探究從微生物墊向下深入沉積物的垂直剖面中,微生物群落結構和地球化學環境(如氧、硫化物、營養鹽)的梯度變化。
關聯生物與非生物因素: 闡明關鍵環境因子(如營養鹽濃度、硫循環產物)如何塑造和影響沉積物中的微生物群落結構。
評估生態系統功能: 理解滲坑生態系統如何通過墊層-沉積物的耦合作用,成為一個活躍的生物地球化學循環“熱點”區。
研究思路
研究采用了空間對比與垂直剖面分析相結合的系統思路:
位點選擇: 選擇中島滲坑(MIS)作為實驗點,并選取附近水深相近、底質類似的普通休倫湖(LH)湖底作為對照點(圖1)。

樣品采集: 由潛水員采集沉積物巖心(最深至12厘米),并細致分層(如每3厘米或1厘米)。同時采集上覆水和孔隙水樣品。
地球化學分析:
詳細測量沉積物的固體相地球化學指標,如有機碳、氮、磷、鐵、錳含量等(表1)。
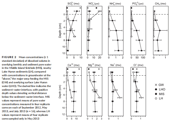
分析孔隙水的化學組成,包括營養鹽(銨鹽、磷酸鹽、硝酸鹽)、硫化物、硫酸鹽、甲烷、主要離子等(圖2,表2)。


使用丹麥Unisense微電極系統,對新鮮沉積物巖心進行高分辨率的溶解氧(O?)和硫化氫(H?S)垂直剖面測量(圖3)。

微生物群落分析:
對每個沉積物層級的樣品進行高通量16S rRNA基因擴增子測序,全面分析微生物群落組成、多樣性和垂直分布(圖4, 5, 6, 7)。




統計分析:
運用多種統計方法(如ANOSIM, Mantel test,混合效應模型)來檢驗位點間和深度間的顯著差異,并量化微生物群落與環境因子之間的相關性(表3)。

測量數據及研究意義(注明來源)
孔隙水高營養鹽與硫化物(來自圖2和表2):
數據: MIS孔隙水中的銨鹽(NH??)、磷酸鹽(SRP)和甲烷(CH?)濃度隨深度顯著增加,且遠高于LH沉積物。硫酸鹽(SO?2?)在MIS沉積物中隨深度減少,而在LH中增加。微電極測量顯示,O?在MIS沉積物表層1-3厘米內即耗盡,而H?S濃度急劇升高至毫摩爾級別(圖3)。
研究意義: 這些數據確鑿地證明了MIS沉積物是一個強烈的還原性環境,是有機質礦化、硫酸鹽還原和產甲烷作用的熱點。這與LH沉積物的氧化性環境形成鮮明對比,凸顯了地下水輸入對創造這種極端化學環境的決定性作用。
沉積物高有機質含量(來自表1):

數據: MIS沉積物的有機碳(Organic C)、有機氮(Organic N)含量和灼失量(LOI)均顯著高于LH沉積物。
研究意義: 表明滲坑環境有利于有機質的埋藏和保存。這為異養微生物(如硫酸鹽還原菌)提供了豐富的底物,是驅動深層硫循環和甲烷循環的物質基礎。
微生物群落結構與分層(來自圖4, 5, 6, 7):
數據: 微生物群落分析顯示,MIS和LH的群落結構存在顯著差異(圖5)。MIS墊層以藍細菌為主,而其下沉積物則富含擬桿菌門(Bacteroidetes)和變形菌門(Proteobacteria)。許多微生物類群(如硫酸鹽還原菌)的相對豐度隨沉積物深度發生規律性變化(圖6, 7)。
研究意義: 高通量測序揭示了前所未有的微生物多樣性。群落的垂直分層直接反映了化學梯度的存在,表明不同的微生物類群占據了特定的化學微環境,執行著不同的生物地球化學功能(生態位分異)。
群落-環境因子耦合(來自表3):
數據: Mantel檢驗顯示,MIS的微生物群落組成與營養鹽有效性(如孔隙水PO?3?, NH??濃度和沉積物有機碳、氮)顯著相關。而LH的群落則與地下水示蹤離子(如SO?2?, Cl?, Ca2?)的關系更密切。
研究意義: 這直接證明了在滲坑生態系統中,微生物群落的構建主要受生物地球化學過程(如營養鹽循環)驅動;而在普通湖底,物理化學因素(地下水混合)的影響更大。這深化了我們對不同生境下微生物群落組裝規則的理解。
研究結論
本研究得出以下核心結論:
滲坑是一個獨特的生態系統: 由地下水輸入創造的MIS,在其沉積物中維持著一個與周圍普通湖底截然不同的、高生產力的生物地球化學系統。
活躍的元素循環: MIS沉積物是硫、甲烷和營養鹽循環的活躍熱點,產生了強烈的化學梯度(特別是O?和H?S)。
高度分層的微生物群落: 沉積物中蘊含著高度多樣且垂直分層的微生物群落,其結構變化與地球化學梯度緊密耦合,表明存在顯著的生態位分異。
墊層-沉積物的協同作用: 表面的微生物墊與下層沉積物之間存在強烈的協同相互作用。墊層通過光合作用固定碳并可能將有機質輸送至下層,而下層沉積物則通過異養微生物的礦化作用,為墊層再生并提供必需的營養鹽(如銨、磷),形成了一個正向反饋,共同維持了這個生態系統的繁榮和高效循環。
丹麥Unisense電極測量數據的研究意義(詳細解讀)
本研究中使用丹麥Unisense微電極測得的溶解氧(O?)和硫化氫(H?S)高分辨率垂直剖面數據(圖3),對于理解該生態系統的功能具有不可替代的關鍵作用。
直接證實了“化學微環境”的存在: Unisense微電極的尖端直徑極小(約100μm),能夠以亞毫米級的高空間分辨率刺入沉積物中進行測量。這使研究者能夠“看到”O?如何在短短1-3厘米的深度內從飽和狀態急劇降至檢測限以下,而H?S濃度則在此區間內飆升到毫摩爾級別。這種高分辨率數據直觀地揭示了沉積物中極其陡峭的氧化-還原梯度的存在,這是傳統取樣方法無法捕捉到的。沒有這種原位微尺度測量,我們對滲坑沉積物是“強還原環境”的認識將停留在推測層面。
明確了關鍵生化過程的界面和強度: O?和H?S的剖面相交之處,實際上是好氧呼吸與厭氧過程(如硫酸鹽還原)競爭和轉換的關鍵界面。數據顯示這個界面非常淺,表明沉積物表層的氧化性條件很薄,厭氧代謝在很淺的深度即占據主導。H?S濃度在深處仍無下降趨勢,強烈暗示了持續的、高強度的硫酸鹽還原活動。這些定量數據為后續估算硫循環、碳礦化速率提供了關鍵的邊界條件。
為解釋微生物群落數據提供了至關重要的環境背景: 微生物測序結果顯示群落隨深度分層。Unisense數據提供的精確的化學梯度圖,為解釋為什么特定的微生物類群會出現在特定的深度提供了直接證據。例如,需氧菌必然集中在最表層有O?的區域,而硫酸鹽還原菌和硫氧化菌的生態位則必然與O?耗盡和H?S產生的深度密切相關。這些微觀的化學測量數據,將宏觀的群落分布模式與驅動其分布的微觀環境因素直接聯系起來。
揭示了系統對微生物的極端選擇性壓力: 測量到的高濃度H?S對大多數生物是有毒的。能在這種環境中繁盛的微生物,必須具有特殊的適應性,如耐硫化物或利用硫化物進行化能合成(如硫氧化細菌)的能力。因此,Unisense數據不僅描述了一個化學環境,更指明了主導該生態系統的主要代謝途徑(硫酸鹽還原、硫氧化)和施加于微生物群落的強選擇壓力,解釋了為何此處的微生物群落如此獨特。
綜上所述,丹麥Unisense微電極的數據是本研究的“眼睛”,它通過提供原位、高分辨率的實時化學快照,將“沉積物是還原性的”這一籠統概念轉化為精確的、可量化的化學梯度,從而將微生物的“誰在那里”(群落結構)與“他們在做什么”(生物地球化學功能)有機地、令人信服地聯系在一起,最終為理解這個獨特生態系統的運作機制奠定了堅實的基石。