熱線:021-66110810,66110819
手機:13564362870

熱線:021-66110810,66110819
手機:13564362870
The impact of electrogenic sulfide oxidation on elemental cycling and solute fluxes in coastal sediment
電致硫化物氧化對海岸沉積物元素循環和溶質通量的影響
來源:Geochimica et Cosmochimica Acta 172 (2016) 265–286
論文總結
一、論文摘要
本研究深入探討了由絲狀電纜細菌(Cable Bacteria)介導的電活性硫氧化(Electrogenic Sulfide Oxidation, e-SOx)過程對沿海沉積物生物地球化學循環的深刻影響。e-SOx是一種獨特的微生物過程,電纜細菌能在沉積物中長距離(厘米級)傳輸電子,從而將深層缺氧區硫化物的氧化與表層有氧區氧氣(或硝酸鹽)的還原在空間上分離開。本研究通過實驗室培養來自荷蘭格瑞芙林根湖(Lake Grevelingen)有機質豐富的沉積物,系統追蹤了e-SOx過程從發展到衰退的全過程。研究發現,e-SOx的活躍會顯著增強沉積物的耗氧量,并酸化深層沉積物,導致碳酸鈣(CaCO?)和硫化鐵(FeS)等礦物的溶解,進而使孔隙水中的溶解態鐵(Fe2?)、錳(Mn2?)和鈣(Ca2?)濃度升高。再遷移的Fe2?向上擴散在沉積物-水界面被氧化形成無定形鐵氧化物結殼,而向下擴散的Fe2?則在遇到游離硫化氫(H?S)的層位重新沉淀為FeS。e-SOx的發展增強了溶解錳(Mn)在界面的釋放通量,抑制了磷酸鹽(PO?3?)的釋放,促進了表層沉積物中有機質的積累,并強烈刺激了沉積物向水體釋放堿度(TA)。大約75%的堿度產生源于CaCO?的凈溶解,其余25%則歸因于e-SOx產生的一種“堿性泵”效應,即將深層硫氧化(消耗堿度)產生的“堿度虧缺”與表層氧還原(產生堿度)在空間上解耦,從而將堿度從沉積物深層“泵送”至界面附近釋放。這種堿度的增強釋放有助于緩沖上覆水體的酸化,可能抵消底棲呼吸對沿海水體pH的負面影響,并增強對大氣CO?的吸收。總之,本研究證實e-SOx能強烈影響碳(C)、磷(P)、鈣(Ca)、鐵(Fe)、錳(Mn)和硫(S)在沿海沉積物中的生物地球化學循環。
二、研究目的
本研究旨在精確量化e-SOx過程對沉積物地球化學性質、溶質通量以及底棲-水體耦合作用的綜合影響。具體目的包括:
揭示e-SOx對元素循環的驅動作用:探究e-SOx如何通過改變沉積物的物理化學環境(如pH、氧化還原條件)來驅動關鍵元素(C, P, Ca, Fe, Mn, S)的形態轉化和遷移。
量化e-SOx對界面通量的影響:精確測量在e-SOx發展、高峰和衰退階段,沉積物-水界面處氧氣、營養鹽(N, P, Si)、溶解無機碳(DIC)、堿度(TA)及金屬(Fe, Mn, Ca)等溶質的交換通量。
闡明e-SOx促進堿度產生的獨特機制:區分并量化e-SOx過程中碳酸鹽礦物溶解和“堿性泵”效應各自對總堿度通量的貢獻,評估其在緩解沿海水體酸化方面的潛在生態意義。
評估e-SOx的時空動態及其生態效應:記錄e-SOx活動在實驗期間的“興起-峰值-衰退”全過程,并評估其對此過程中沉積物微生物群落和生態系統功能(如有機質礦化路徑)的連帶效應。
三、研究思路
本研究采用了受控實驗室培養與多參數高頻監測相結合的系統研究思路:
實驗設計與設置:從格瑞芙林根湖丹奧塞盆地(Den Osse basin)采集沉積物柱芯,在實驗室中將其均質化后重新裝入培養柱,設置有氧處理組(模擬自然氧化條件,允許e-SOx發展)和缺氧對照組(密封處理,抑制e-SOx)。培養在恒溫黑暗條件下進行。
時間序列觀測:在長達71天的培養期內,選擇了5個關鍵時間點(T0, T7, T14, T35, T71)進行綜合采樣和測量,以捕捉e-SOx的動態變化。
多維度指標測量:
高分辨率微環境剖面:使用丹麥Unisense微電極系統在沉積物剖面以亞毫米級分辨率測量溶解氧(O?)、pH和硫化氫(H?S)的垂直分布(圖2),這是識別e-SOx“化學指紋”的關鍵。

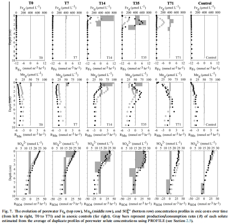
孔隙水地球化學分析:分層采集孔隙水,分析Fe2?, Mn2?, Ca2?, SO?2?, NO??, NH??, PO?3?, Si(OH)?, DIC, TA等多種溶質的濃度剖面(圖7, 8, 9)。



溶質通量計算:通過監測上覆水濃度隨時間的變化,計算沉積物-水界面的溶質擴散通量(圖4和文內表格)。

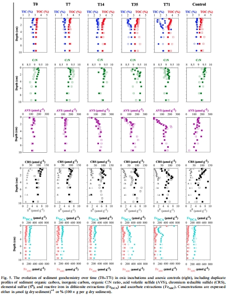
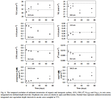
固體相分析:測定沉積物中總有機碳(TOC)、總無機碳(TIC)、酸揮發性硫化物(AVS)、鉻還原性硫(CRS)、元素硫(S?)以及不同形態反應性鐵(如無定形Fe氧化物, FeASC)的含量和垂直分布(圖5, 6)。


微生物群落鑒定:使用熒光原位雜交(FISH)技術確認電纜細菌的存在(圖3)。

數據整合與機理推斷:將地球化學數據(微電極剖面、孔隙水化學、固體相組成)與通量數據相結合,運用擴散模型(如Fick定律)和質量平衡計算,定量揭示e-SOx影響元素循環的具體途徑和相對貢獻。
四、測量數據及研究意義(注明來源)
沉積物微環境剖面(O?, pH, H?S)(來自圖2和表1):

數據:Unisense微電極數據顯示,在有氧處理組中,隨著e-SOx的發展(T7至T35),沉積物中形成了典型的e-SOx化學指紋:O?滲透深度變淺,亞氧化層(Suboxic zone)增厚(O?和H?S均檢測不到的層位),在O?滲透深度下方出現一個顯著的pH峰值(最高達8.32),并在更深部出現一個pH谷值(最低至5.94)。這些特征在T71(e-SOx衰退期)減弱或消失。
研究意義:這些高分辨率剖面是診斷e-SOx活性的直接證據。pH的極值分布直接反映了e-SOx的空間分離效應:表層O?還原消耗質子(產生堿度,導致pH峰值),深層S氧化釋放質子(消耗堿度,導致pH谷值)。O?消耗的增加和亞氧化層的增厚證明了e-SOx顯著改變了沉積物的氧化還原結構。
溶質通量隨時間的變化(來自圖4和文內表2, 表3):


數據:e-SOx活動高峰期(T14),沉積物-水界面的總耗氧量(TOU)、溶解無機碳(DIC)通量、堿度(TA)通量和鈣(Ca2?)通量均達到峰值,較初始值(T0)顯著增加(TOU: +82%, DIC: +140%, TA: +845%, Ca2?: +488%)。相反,磷酸鹽(PO?3?)通量在e-SOx活躍期被有效“封蓋”,降至接近零。銨(NH??)通量隨時間下降,而硝氮(NOx?)通量由流入轉為流出。
研究意義:通量數據直接量化了e-SOx對沉積物作為源或匯的強度的巨大影響。TA和Ca2?通量的劇烈增加強有力地支持了e-SOx促進碳酸鹽溶解的機制。PO?3?通量的抑制表明e-SOx過程中形成的鐵氧化物結殼能有效吸附磷,可能影響水體的初級生產力。氮通量的變化提示e-SOx可能影響了硝化/反硝化過程。
孔隙水化學剖面(Fe, Mn, Ca, SO?2?)(來自圖7, 8):
數據:在e-SOx活躍期(T14, T35),孔隙水中Fe2?和Mn2?在亞氧化層(~2-4 cm)出現明顯的濃度峰值。Ca2?濃度在表層附近顯著升高。SO?2?剖面在e-SOx發展后出現分層結構,表層呈現SO?2?的生成,深層則顯示消耗。
研究意義:Fe2?和Mn2?的峰值證實了e-SOx產生的酸度促進了深層FeS等礦物的溶解。Ca2?的積累是CaCO?溶解的直接證據。SO?2?剖面的變化表明e-SOx將硫化物完全氧化為SO?2?,并且電場可能影響了SO?2?的遷移。
固體相組成變化(TOC, TIC, AVS, Fe氧化物)(來自圖5, 6):
數據:與初始狀態(T0)和缺氧對照組相比,有氧處理組表層沉積物(0-2 cm)的總有機碳(TOC)和無定形鐵氧化物(FeASC)含量隨e-SOx發展而增加。而總無機碳(TIC)和酸揮發性硫化物(AVS)在亞表層(~0.5-3 cm)呈現減少趨勢。
研究意義:TOC的積累可能與e-SOx形成的鐵氧化物結殼促進有機質保護有關。TIC和AVS的減少直接證明了e-SOx驅動了CaCO?和FeS的溶解。Fe氧化物在表層的富集是Fe2?上涌氧化沉淀的結果,這層結殼對磷的吸附有重要影響。
五、研究結論
本研究得出以下核心結論:
e-SOx是沉積物元素循環的強大驅動者:電纜細菌的活動能深刻改變沉積物的物理化學環境,從而驅動一系列連鎖反應,影響C、P、S、Fe、Mn、Ca等關鍵元素的形態、遷移和歸宿。
e-SOx通過兩種主要機制產生堿度:一是通過酸化作用促進碳酸鈣溶解,貢獻了約75%的堿度通量增加;二是通過空間分離氧化還原反應,產生 “堿性泵”效應,貢獻了約25%的堿度通量增加。
e-SOx對營養鹽循環有顯著影響:它通過形成鐵氧化物結殼有效抑制了沉積物磷的釋放,同時可能改變了氮的轉化路徑。
e-SOx活動具有動態生命周期:在實驗室培養下,e-SOx活動會經歷發展、高峰和衰退的過程,這可能與電子供體(如FeS)的消耗有關。這種動態變化導致其對元素循環的影響也是隨時間變化的。
具有重要的生態啟示:e-SOx誘導的堿度大量釋放,能緩沖上覆水體的pH,可能部分抵消由呼吸作用CO?產生導致的沿海酸化,并增強水體對大氣CO?的吸收能力,因此在沿海碳循環和應對海洋酸化方面可能扮演著重要但以往被忽視的角色。
六、使用丹麥Unisense電極測量數據的研究意義(詳細解讀)
在本研究中,丹麥Unisense微電極系統對沉積物垂直剖面溶解氧(O?)、pH和硫化氫(H?S)進行的高空間分辨率(通常為100-200微米)測量(圖2),所獲得的數據具有至關重要的意義,具體體現在以下幾個方面:
提供e-SOx過程的“診斷性指紋”:Unisense微電極捕獲的獨特的pH雙極分布(表層峰值、深層谷值)以及O?滲透深度變淺和亞氧化層增厚的現象,是國際上公認的指示e-SOx活動的關鍵地球化學標志。沒有這種高分辨率的原位測量,就無法確鑿地證明電纜細菌及其介導的e-SOx過程在實驗沉積物中的存在和活躍程度。這些剖面是解釋后續所有地球化學變化(如礦物溶解、金屬釋放)的基石和起點。
精確界定反應發生的“化學微環境”:微電極數據以毫米級精度刻畫了沉積物中的化學梯度。它明確了e-SOx核心反應發生的具體深度區間:陰極O?還原(消耗H?,產生堿度)發生在最表層有氧區,而陽極S氧化(產生H?,消耗堿度)發生在其下方幾厘米處的缺氧/亞氧化區。這種空間上的精確界定,是將宏觀通量變化與微觀過程聯系起來的關鍵橋梁。例如,它明確指出CaCO?的溶解主要發生在pH最低的深層,而Fe2?的氧化沉淀發生在O?存在的表層。
實現e-SOx活性的半定量化評估:通過分析pH剖面的極值位置和幅度,以及O?和H?S界面的深度分離程度,可以間接評估e-SOx活性的強度和時間動態。本研究通過微電極數據清晰地展示了e-SOx從無到有(T0-T7)、達到峰值(T14-T35)再到衰退(T71)的完整生命周期,為解釋通量和固體相數據隨時間的變化提供了可靠的時間背景。
支持理論模型和機制驗證:測量得到的pH和O?剖面為驗證基于電子傳輸理論的e-SOx模型提供了寶貴的現場驗證數據。例如,pH谷值的深度和酸度與理論預測的陽極反應位置和強度相符。這些真實的剖面數據增強了整個研究結論的可靠性和說服力。
凸顯了高分辨率傳感技術在現代環境研究中的不可替代性:與傳統分層取樣測孔隙水化學的方法相比,Unisense微電極能夠原位、無損、實時地獲取連續的高分辨率化學剖面,避免了取樣過程中的擾動和氧化。這對于研究像e-SOx這樣在毫米-厘米尺度上產生劇烈化學梯度的過程至關重要。沒有這種技術,許多關鍵的化學細節和空間信息將會丟失。
綜上所述,丹麥Unisense微電極在本研究中扮演了 “環境偵探”和過程“定位器”的角色。它提供的O?、pH、H?S高分辨率垂直剖面,不僅是證明e-SOx存在的“鐵證”,更是理解整個系統生物地球化學運行機制的“羅盤”。這些數據為后續定量計算溶質通量、推斷反應機理、評估生態效應奠定了最堅實的基礎,是連接微生物活動與生態系統功能之間不可或缺的觀測環節。