熱線:021-66110810,66110819
手機:13564362870

熱線:021-66110810,66110819
手機:13564362870
Evaluation of Sediment Toxicity through the Medaka Embryo–Larval Assay and Two Additional Bioassays
應用測定法和其他兩種生物測定法對MEDAKA胚胎幼蟲進行測試來評估沉積物的毒性
來源:Environmental Toxicology and Chemistry, Vol. 35, No. 9, pp. 2270–2280, 2016
論文總結
一、論文摘要概述
本論文開發并應用了一種新型的medaka(日本青鳉)胚胎幼蟲沉積物接觸測定法,用于評估突尼斯Bizerte lagoon沉積物中生物可利用污染物的毒性。摘要指出,該方法將medaka胚胎直接暴露于沉積物樣品中,監測從受精到孵化后的致死和亞致死效應(如畸形、發育延遲),并與Microtox®(細胞毒性)和SOS chromotest(遺傳毒性)測定結果及污染物含量進行對比。研究發現,medaka測定法比Microtox和SOS chromotest更敏感,能檢測到中度污染沉積物的毒性,且與有機污染物(如PAHs、PCBs)濃度顯著相關。沉積物毒性模式因站點異質性而異,強調多方法聯用對全面評估沉積物風險的重要性。
二、研究目的
本研究的主要目的包括:
毒性評估:利用medaka胚胎幼蟲測定法量化Bizerte lagoon5個站點沉積物的毒性,揭示其生態風險。
方法比較:對比medaka測定法與Microtox(急性毒性)、SOS chromotest(遺傳毒性)的靈敏度與適用性,確定最有效的監測工具。
機制關聯:分析沉積物理化性質(如粒度、總有機碳)、污染物濃度(重金屬、PAHs等)與毒性響應的關系,識別關鍵驅動因子。
管理應用:為沉積物質量評估提供一種生態真實、無需污染物提取的高通量方法,支持環境管理決策。
三、研究思路
研究采用多學科整合策略,結合野外采樣、室內實驗和統計分析:
采樣設計:2011年3月,在Bizerte lagoon選擇5個代表性站點(S1-S5),基于污染源分布(如工業、農業)采集表層沉積物(0-10 cm)。站點位置通過地圖可視化(Figure 1)。

樣品處理:沉積物經冷凍干燥、過篩(<2 mm)后,分為三部分:①水提液(elutriate)用于Microtox測定;②有機溶劑提取物用于SOS chromotest;③整體沉積物用于medaka測定。
生物測定:
Medaka胚胎幼蟲測定:將medaka胚胎置于沉積物表面培養20天,每日記錄存活率、孵化率、心臟活動、畸形等終點(Figure 3-5)。



Microtox測定:測量水提液對發光細菌發光抑制的EC50。
SOS chromotest:評估有機提取物的遺傳毒性(Figure 2)。

環境監測:使用丹麥Unisense氧電極(PA2000 oximeter)每日測量沉積物-水界面的溶解氧飽和度,確保暴露條件穩定(方法部分)。
數據分析:通過ANOVA、Pearson相關性和主成分分析(PCA)整合化學、理化和生物數據(Figure 6和Table 4)。


四、測量數據及研究意義(注明來源)
本研究測量了多類數據,其來源和研究意義如下:
沉積物化學特性(來自Table 1):

數據:Table 1列出了各站點的粒度(<63 μm占比32.1-91.5%)、總有機碳TOC(0.8-3.9%)、銨鹽(NH?, 20-162 μM)、重金屬(如Pb 26.3-55.2 μg/g)和有機污染物(如ΣPAHs 39.7-394.1 ng/g)。
研究意義:這些數據揭示了站點的污染梯度,S1站點污染最重(高TOC和PAHs),為毒性差異提供化學解釋。污染物濃度與生物效應(如畸形率)的相關性(Table 4)突顯了特定化合物(如PAHs)的主導作用。
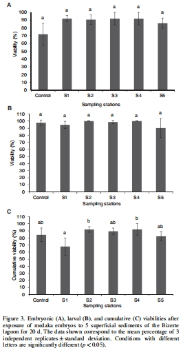
Medaka胚胎幼蟲響應(來自Figure 3-5和Table 3):

數據:Figure 3顯示胚胎存活率(86.1-92.0%)、幼蟲存活率(90.2-100%),累積存活率S1最低(67.8%);Figure 4顯示孵化延遲(S3最長,17.7天);Figure 5顯示心臟活動變異(S1心動過緩);Table 3記錄畸形類型(如脊柱畸形占51.1-67.4%)。
研究意義:Medaka數據直接反映發育毒性,孵化延遲和畸形(如藍囊病癥狀)與有機污染相關,證實沉積物可對魚類早期生活史造成不可逆損害,為生態風險評估提供關鍵終點。
遺傳毒性與急性毒性(來自Figure 2和Table 2):

數據:Figure 2顯示SOS chromotest中S1提取物遺傳毒性最強(誘導因子1.95);Table 2顯示Microtox水提液毒性S3最高(EC50 80.6 mg/mL)。
研究意義:遺傳毒性數據揭示污染物致突變潛力,而Microtox毒性與化學參數相關性弱,提示單一方法局限性,支持多終點電池測試的必要性。
主成分分析(來自Figure 6):
數據:Figure 6的PCA顯示PC1(66.2%方差)關聯污染物與毒性,S1單獨聚類;PC2(25.2%方差)關聯粒度與NH?。
研究意義:PCA可視化站點異質性,確認S1為高風險區,突出污染組合效應,指導目標化管理。
五、研究結論
本研究主要結論如下:
Medaka測定法優勢:該方法靈敏、生態真實,能檢測整體沉積物毒性,無需提取步驟,且優于Microtox和SOS chromotest(5/5站點陽性響應 vs. 3/5和1/5)。
毒性驅動因子:有機污染物(PAHs、PCBs)與發育毒性(如畸形、孵化延遲)顯著相關,重金屬作用次要;TOC和粒度影響污染物生物可利用性。
風險管理啟示:Bizerte lagoon沉積物(尤其S1)存在生態風險,需優先治理;多方法聯用可降低評估不確定性。
技術推廣性:Medaka測定法適用于監測中度污染沉積物,但需在更廣泛樣本中驗證。
六、丹麥Unisense電極測量數據的詳細研究意義
本研究中使用的丹麥Unisense氧電極數據雖未直接以圖表展示,但方法部分提及其用于每日監測溶解氧(DO),具有關鍵研究意義:
環境控制與數據可靠性:Unisense電極以高精度實時測量沉積物-水界面的DO飽和度(報道值74.5-79.8%),確保了暴露實驗的氧化還原條件穩定性。例如,DO水平與孵化時間負相關(文中提及),說明低氧(如S3站點)可能延遲發育,電極數據為毒性機制(如代謝抑制)提供間接證據。
生態真實性保障:通過持續DO監測,研究模擬了自然沉積物-水界面的動態環境,避免了實驗室人為缺氧或過氧的偏差。這使得medaka測定結果更易外推至真實生態系統,尤其是對于缺氧敏感早期生命階段。
毒性機制解釋:DO數據輔助解讀毒性差異,如S1站點DO較低(雖未顯著)可能與高有機質降解耗氧相關,加劇污染物毒性。Unisense測量將物理化學參數與生物響應鏈接,支持“缺氧-毒性協同”假設。
技術優勢:Unisense電極的無創、連續測量避免了取樣擾動,提供了時間序列數據,增強了實驗可重復性。在沉積物毒性研究中,此類監測是區分化學毒性與環境應激(如缺氧)的關鍵工具。
總之,丹麥Unisense電極數據作為質量控制的核心環節,通過量化氧化還原條件,提升了毒性測定的準確性和生態相關性,凸顯了多參數監測在復雜基質評估中的價值。