熱線:021-66110810,66110819
手機:13564362870

熱線:021-66110810,66110819
手機:13564362870
Effects of organic matter addition on methylmercury formation in capped and uncapped marine sediments
有機質添加對海洋沉積物中甲基汞形成的影響
來源:Water Research 103 (2016) 401-407
論文總結
一、論文摘要概述
本論文研究了有機碳(OC)添加對汞(Hg)污染海洋沉積物中甲基汞(MeHg)形成的影響,重點關注原位沉積物加蓋(ISC)技術的潛在風險。摘要指出,ISC雖能有效隔離汞向水體遷移,但可能改變生物地球化學區域并增強MeHg的形成。研究通過箱式宇宙(boxcosm)實驗模擬挪威U-864潛艇殘骸附近Hg污染沉積物(含65噸液態汞),添加不同劑量藻類有機碳(0–45 g/L)并設置加蓋與未加蓋條件。結果表明:有機碳添加顯著觸發MeHg形成,且形成速率與OC劑量正相關;加蓋進一步促進甲基化,因加蓋層創造厭氧環境,但3 cm黏土加蓋能有效阻隔MeHg向水體遷移。研究強調,在富營養化海域或有機碳輸入場景下,ISC應用需謹慎評估MeHg生成風險。
二、研究目的
本研究旨在解決以下關鍵問題:
有機碳輸入的影響:探究外源有機碳(如藻類、石油烴)輸入是否激活Hg污染沉積物中無機汞的甲基化過程。
加蓋技術的交互效應:評估ISC技術與OC輸入共同作用對MeHg形成-降解平衡的影響,為U-864殘骸區沉積物修復提供科學依據。
管理啟示:明確OC類型、劑量及加蓋設計(如厚度、滲透性)在汞風險管理中的關鍵作用,優化沉積物修復策略。
三、研究思路
研究采用受控模擬實驗與多參數監測結合的系統方法:
實驗設計:
沉積物來源:采集U-864殘骸附近Hg污染沉積物(THg=8.9 mg/kg,OC=1%),添加0、5、15、45 g/L藻類OC(Chlorella sp.,含47%碳)。
加蓋模擬:設置4組加蓋(3 cm清潔黏土)和4組未加蓋箱式宇宙,持續監測202天。
環境控制:循環海水(8–10°C,鹽度34),模擬自然水動力條件。
監測與采樣:
微電極剖面:使用丹麥Unisense微電極(O?、H?S、pH傳感器)測量沉積物-水界面氧化還原梯度(圖3)。

化學分析:定期采集孔隙水和沉積物巖心,通過CVAFS(USEPA 1630法)分析MeHg和THg濃度。
通量計算:基于水體流入-流出Hg濃度差計算沉積物-水通量。
數據分析:通過線性回歸計算甲基化速率(kmeth),并關聯OC劑量與加蓋條件。
四、測量數據及研究意義(注明來源)
研究測量了多類數據,其來源和意義如下:
甲基汞時空動態(來自圖2):

數據:圖2顯示,未添加OC的對照組MeHg濃度始終低于0.02% THg;添加OC后,MeHg隨時間顯著上升,且加蓋系統濃度高于未加蓋系統(如45 g OC組,加蓋MeHg峰值達4.5% THg)。
研究意義:數據直接證明OC是甲基化的關鍵觸發因子,且加蓋通過維持厭氧環境強化該過程,提示ISC在富OC環境中可能加劇生態風險。
甲基化速率與OC劑量關系(來自圖4):

數據:圖4表明,kmeth與OC添加量線性正相關(R2=0.9);加蓋系統的單位OC甲基化效率(0.006% d?1)是未加蓋系統(0.002% d?1)的3倍。
研究意義:量化了OC對甲基化的劑量依賴性,為預測不同污染負荷下的MeHg產量提供模型參數。
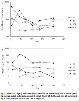
沉積物-水通量(來自圖5、圖6):


數據:圖5顯示OC添加使THg和MeHg通量顯著升高(MeHg通量從1 ng m?2 d?1增至85 ng m?2 d?1);圖6進一步證實MeHg通量與沉積物OC含量線性相關。
研究意義:通量數據揭示OC通過促進甲基化與溶解態Hg釋放加劇水體污染,警示需控制外源OC輸入。
氧化還原剖面(來自圖3):
數據:圖3中Unisense微電極剖面顯示,加蓋系統深層沉積物呈厭氧(H?S>300 μM),MeHg峰值與H?S區重疊;未加蓋系統O2滲透更深(約8 mm),抑制甲基化。
研究意義:剖面數據將甲基化熱點與硫酸鹽還原區關聯,證實厭氧條件是MeHg生成的必要條件。
五、研究結論
本研究主要結論如下:
OC的核心作用:藻類OC添加是MeHg形成的決定性因素,甲基化速率與OC劑量正比,且OC質量(活性)影響微生物可利用性。
加蓋的雙刃劍效應:ISC雖能阻隔Hg遷移(有效降低水體通量),但通過創造厭氧環境增強甲基化,尤其在OC存在時風險顯著。
管理建議:ISC設計需平衡厚度(隔離效果)與滲透性(避免厭氧),并嚴格控制外源OC輸入(如藻華、石油泄漏)。
普適性啟示:研究結果適用于任何Hg污染水域的修復評估,尤其富營養化或有機碳負荷高的海域。
六、丹麥Unisense電極測量數據的詳細研究意義
本研究中使用的丹麥Unisense微電極數據具有關鍵研究意義:
高分辨率氧化還原梯度表征:Unisense O?、H?S和pH微電極以毫米級垂直分辨率實時測量沉積物孔隙水剖面(圖3)。數據顯示,加蓋系統表層O2迅速耗盡(<100 μm深度),H?S在2–4 cm深度累積至300 μM,明確劃定了硫酸鹽還原區,該區與MeHg生成峰值高度重合。
機制驗證:H?S剖面與MeHg濃度的空間耦合直接證明了硫酸鹽還原菌(SRB)的主導作用,證實甲基化需嚴格厭氧環境。O2滲透深度(未加蓋系統8 mm)則解釋了未加蓋系統甲基化較低的原因——好氧抑制SRB活性。
技術優勢:Unisense電極的原位、無損測量避免了取樣擾動,提供了連續氧化還原動態數據。在評估ISC技術時,此類數據能精準預測加蓋后沉積物生化區域的演變,優化加蓋設計(如調整厚度以控制厭氧層深度)。
風險預警價值:通過識別H?S富集區,Unisense數據提前預警MeHg生成熱點,為管理決策(如OC輸入控制或加蓋材料選擇)提供關鍵依據。例如,檢測到H?S升高可觸發干預措施,防止MeHg積累。
總之,丹麥Unisense電極數據不僅是環境條件的記錄工具,更是連接物理化學梯度與生物地球化學過程的橋梁,其高精度測量為沉積物汞風險預警與修復策略優化提供了不可替代的技術支撐。