熱線:021-66110810,66110819
手機:13564362870

熱線:021-66110810,66110819
手機:13564362870
A Dye-Sensitized Photoelectrochemical Tandem Cell for Light Driven Hydrogen Production from Water
染料敏化光電化學串聯電池的光催化分解水產氫
來源:J. Am. Chem. Soc. 2016, 138, 16745?16753
一、摘要概述
論文報道了一種染料敏化光電化學串聯電池(DSPEC-DSC)系統,用于實現光驅動水分解產氫。該系統由染料敏化光電化學電池(DSPEC)與染料敏化太陽能電池(DSC)串聯構成,其中DSPEC光陽極采用SnO?/TiO?核殼結構修飾的[RuP]2?光敏劑和[Ru(bda)(isoq)?]水氧化催化劑,DSC組件則測試了兩種配置(N719染料與I??/I?氧化還原介質、D35染料與[Co(bpy)?]3?/2?介質)。實驗表明,基于D35/[Co(bpy)?]3?/2?的DSC與DSPEC串聯時性能最優,在模擬太陽光照下(無需外加偏壓)可實現水分解產氫,太陽能-氫能(STH)轉換效率為0.06%。
二、研究目的
開發高效串聯系統:通過DSPEC與DSC的串聯,利用不同波段的光子能量疊加電壓,克服單光系統驅動水分解的熱力學勢壘。
驗證無偏壓產氫:實現僅靠光照驅動水分解(2H?O → O? + 2H?),避免使用犧牲劑或外接電源。
優化催化劑與界面穩定性:通過原子層沉積(ALD)修飾TiO?保護層提升光陽極穩定性,并采用高活性的[Ru(bda)(isoq)?]催化劑提高水氧化效率。
三、研究思路
器件設計:
DSPEC光陽極:SnO?/TiO?核殼電極上通過電組裝固定[RuP]2?光敏劑和[Ru(bda)(isoq)?]催化劑。
DSC組件:對比N719/I??/I?與D35/[Co(bpy)?]3?/2?兩種配置,利用其紅光吸收特性與DSPEC光譜互補。
串聯結構:DSPEC光陽極與DSC陰極串聯,光照依次透過DSPEC和DSC,電壓疊加驅動水分解。
關鍵改進:
使用ALD沉積TiO?覆蓋層增強催化劑錨定穩定性(尤其在堿性條件下)。
選擇[Ru(bda)(isoq)?]催化劑(優于吡啶衍生物),因其更高的水氧化周轉頻率。
四、測量數據及研究意義
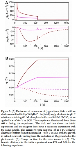
1. 光電流與氧氣法拉第效率(圖1、圖2)


數據來源:圖1(pH 7)和圖2(pH 9)顯示DSPEC光陽極在0.4 V偏壓下的光電流衰減曲線及O?檢測電流。
結果:
pH 7時,光電流初始~500 μA/cm2,10分鐘后穩定在200 μA/cm2,O?法拉第效率為30%(首輪)和17%(次輪)。
pH 9時,光電流密度更高,法拉第效率提升至45%(首輪)和24%(次輪)。
研究意義:證實ALD修飾和催化劑優化顯著提升堿性條件下的穩定性與效率,為串聯系統提供可靠陽極基礎。
2. DSC性能對比(圖4、圖5)


數據來源:圖4顯示染料吸收光譜(D35吸收至550 nm,N719至750 nm);圖5為DSC的IV曲線。
結果:
D35/[Co(bpy)?]3?/2?體系開路電壓(Voc=0.93 V)高于N719/I??/I?(Voc=0.70 V),但短路電流較低(0.97 mA vs. 1.23 mA)。
研究意義:DSC的高電壓是串聯系統驅動水分解的關鍵,D35體系更匹配DSPEC的電壓需求。
3. 串聯系統光電流與產氫驗證(圖6、圖9)


數據來源:圖6對比單獨DSPEC與串聯系統的光電流;圖9通過Unisense傳感器監測陰極室H?濃度。
結果:
單獨DSPEC無偏壓時光電流接近零,無法產氫。
DSPEC-D35串聯系統光電流穩定在~40 μA/cm2,H?濃度持續上升。
研究意義:串聯結構成功將DSC電壓用于驅動水分解,Unisense數據直接證實產氫來源于光催化反應。
4. 能量匹配分析(圖7、圖8)


數據來源:圖7疊加DSPEC與DSC的IV曲線;圖8為能級示意圖。
結果:DSC的電壓(ΔV)補償SnO?導帶(-0.4 V vs. NHE)與H?/H?電位(-0.41 V)的差值,使電子能驅動產氫。
研究意義:明確串聯系統的熱力學可行性,指出提升DSPEC光電流是未來優化方向。
五、結論
首例全染料敏化串聯產氫系統:實現了僅靠光照將水分解為O?和H?,無需犧牲劑或外接偏壓。
DSC電壓的關鍵作用:D35/[Co(bpy)?]3?/2?體系的高電壓(0.93 V)是驅動水分解的核心因素。
界面工程提升穩定性:ALD修飾有效防止催化劑在堿性條件下脫附。
效率限制因素:當前STH效率(0.06%)受限于DSPEC光電流密度,未來需優化光吸收與電荷分離效率。
六、丹麥Unisense電極測量數據的詳細解讀
1. 測量原理與目的
技術背景:Unisense電化學傳感器采用氫選擇性微電極,通過氧化還原反應實時檢測H?濃度(靈敏度達nM級)。
實驗設置:傳感器置于DSPEC陰極室密封頂空,與光電流同步監測(圖9),直接關聯電子轉移與產氫量。
2. 研究意義
直接驗證產氫來源:
單獨DSPEC無偏壓時無H?生成,排除非光驅動副反應。
串聯系統光照下H?濃度線性上升,且與光電流曲線吻合,證明電荷全部用于水還原產氫。
定量分析法拉第效率:
根據H?生成量(圖9)與總電荷量(圖6),可計算產氫法拉第效率,驗證反應選擇性(無顯著副反應)。
系統穩定性評估:
H?生成的持續性反映催化劑與界面的穩定性,為長期運行提供依據。
3. 技術優勢
高靈敏度與實時性:優于氣相色譜等離線方法,可動態監測瞬態產氫過程。
無損檢測:無需取樣,避免系統擾動,保證數據連續性。
兼容性:適用于微升級反應室(本研究陰極室體積<1 mL),滿足微型光電系統需求。
4. 對串聯設計的指導價值
Unisense數據證實了DSC電壓的有效傳遞,未來可通過優化DSPEC光電流(如增強光吸收或減少復合)進一步提升STH效率。