熱線:021-66110810,66110819
手機:13564362870

熱線:021-66110810,66110819
手機:13564362870
Experimental iron amendment suppresses toxic cyanobacteria in a hypereutrophic lake
實驗性鐵改良劑抑制富營養化湖泊中的有毒藍藻
來源:DIANE ORIHEL ET AL.
論文摘要總結
本研究通過原位中宇宙(mesocosm)實驗,探究了鐵(Fe)添加對超富營養化湖泊(Nakamun湖)中有毒藍藻水華(HABs)的抑制效果。研究團隊在15個中宇宙中施加了不同劑量的鐵(2–225 g Fe m?2),并監測了沉積物化學、營養鹽循環、藻類生物量和群落組成的變化。結果表明,鐵添加顯著降低了沉積物孔隙水中的磷(P)濃度和磷釋放通量,從而減少水柱中的磷負荷。鐵對浮游植物和附生藻類生物量產生了劑量依賴的負效應,并降低了藍藻的優勢度。即使低劑量鐵處理也降低了藍藻毒素微囊藻毒素的濃度。研究證實鐵處理可通過抑制內部磷負荷來控制藍藻水華,為湖泊修復提供了新策略。
研究目的
本研究旨在解決以下關鍵問題:
評估鐵對磷循環的調控作用:驗證鐵添加是否通過沉淀和固定沉積物中的磷來抑制內部磷負荷,從而減少水柱磷濃度。
探究鐵對藻類群落的影響:分析鐵添加是否通過改變營養鹽比例(如N:P)抑制藍藻生長,并降低其毒性。
驗證鐵處理的可行性:在超富營養化湖泊中測試鐵添加作為環境修復技術的有效性,并優化劑量方案。
揭示鐵的雙重角色:澄清鐵作為磷沉淀劑與藻類必需微量元素之間的潛在矛盾,為管理實踐提供理論依據。
研究思路
研究分為四個階段:
實驗設計:
在加拿大Nakamun湖(超富營養化)設置15個中宇宙(直徑2 m,深度6 m),其中12個添加梯度劑量鐵(2–225 g Fe m?2),3個作為對照。鐵以三氯化鐵(FeCl?)形式分三次加入水體(2009年6月)。
樣品采集與監測:
在10個月內定期采集沉積物、水樣、浮游植物和附生藻類樣品。重點監測沉積物孔隙水化學(鐵、磷、硫化物)、水柱營養鹽(總磷、總氮)、藻類色素(如葉綠素a、藍藻特異性色素)和微囊藻毒素濃度。
機制分析:
通過X射線衍射和元素映射分析沉積物礦物組成(如藍鐵礦、黃鐵礦);使用Unisense微電極測量硫化物剖面;構建磷質量平衡模型量化內部負荷。
數據整合:
采用統計方法(如線性回歸、ANOVA)分析鐵劑量與各參數的相關性,評估鐵處理的劑量效應和生態影響。
測量數據及研究意義
以下關鍵數據均來自論文中的圖表,其研究意義如下:
沉積物鐵磷化學(圖2a-d)

數據來源:圖2a-b顯示鐵添加顯著增加沉積物固相和孔隙水中的鐵濃度(劑量效應R2 > 0.8);圖2c-d表明孔隙水磷濃度隨鐵劑量增加而降低(高劑量時降幅達70%)。
研究意義:鐵通過形成鐵磷礦物(如藍鐵礦)固定磷,直接證實鐵添加可抑制沉積物磷釋放,為控制內部負荷提供機制證據。
硫化物抑制與礦物形成(圖2e-g)
數據來源:圖2g通過Unisense H2S50微電極顯示,鐵添加劑量依賴性地抑制孔隙水H?S積累(高劑量時H?S接近零);X射線衍射(圖B2)證實鐵處理沉積物中出現黃鐵礦(FeS?)和針鐵礦(FeOOH)。
研究意義:鐵與硫化物反應生成穩定礦物,減少H?S對磷釋放的促進,凸顯鐵在調節沉積物氧化還原狀態中的關鍵作用。
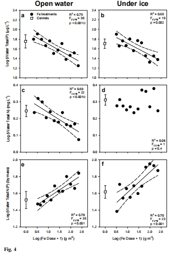
水柱營養鹽動態(圖3、圖4)


數據來源:圖3a-d顯示對照中宇宙夏季總磷峰值>100 μg L?1,而鐵處理組峰值顯著降低(高劑量時<30 μg L?1);圖4a-b證實鐵劑量與平均總磷濃度負相關(開放水域期R2 = 0.65)。
研究意義:鐵降低水柱磷濃度,緩解富營養化壓力;圖4e-f顯示鐵提高N:P比,可能削弱藍藻的競爭優勢(因藍藻在低N:P時更易固氮)。
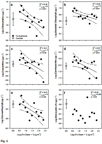
藻類生物量與群落響應(圖5、圖6)


數據來源:圖5a-d中葉綠素a濃度在鐵處理組夏季藻華期降低50%以上;圖6c-e顯示藍藻色素(如玉米黃質、角黃素)隨鐵劑量增加而減少(劑量效應P < 0.05)。
研究意義:鐵通過限制磷供應間接抑制藻類生長,并特異性降低藍藻比例,證實鐵處理可調整群落結構向非藍藻優勢轉變。
微囊藻毒素控制(圖5u-x、圖6f)
數據來源:圖5u-x顯示對照中微囊藻毒素濃度超WHO指南(1 μg L?1),而鐵處理組多數低于檢測限;圖6f表明鐵劑量與毒素濃度無顯著相關,但對照均值較高。
研究意義:鐵可能通過抑制藍藻生物量或直接降解毒素(如鐵催化氧化)降低風險,為水質安全提供支持。
磷質量平衡(表2)

數據來源:表2顯示鐵添加將沉積物磷釋放通量從對照的19 mg P m?2 d?1降至高劑量組的8 mg P m?2 d?1(降幅58%)。
研究意義:量化鐵對內部負荷的抑制效率,為湖泊修復的劑量設計提供實證依據。
結論
本研究主要結論如下:
鐵控制磷釋放:鐵添加通過形成鐵磷礦物和抑制H?S積累,顯著降低沉積物磷釋放通量,減少水柱磷濃度。
藻類響應:鐵處理降低藻類總生物量,特別是藍藻優勢度,并提高N:P比,削弱藍藻競爭優勢。
毒素減排:鐵間接降低微囊藻毒素濃度,可能通過生物量控制或非生物降解途徑。
應用潛力:鐵處理是一種可行、低成本的湖泊修復策略,尤其適用于內部磷負荷主導的超富營養化湖泊。建議劑量為>18 g Fe m?2以實現顯著效果。
丹麥Unisense電極測量數據的詳細解讀
在研究中,丹麥Unisense H2S50微電極被用于測量沉積物孔隙水中的硫化物(H?S)濃度剖面(實驗部分“Sediment Sampling”和結果圖2g)。其研究意義如下:
高分辨率揭示鐵對硫循環的抑制機制:
技術細節:Unisense電極通過校準后插入沉積物剖面(0–20 cm深度),實時測量H?S濃度(μM級精度)。數據顯示,鐵添加劑量依賴性地降低H?S積累(圖2g),尤其在表層沉積物(0–5 cm)中效果顯著。
研究意義:直接證實鐵與硫化物的沉淀反應(生成FeS或FeS?),減少H?S對磷的活化作用(因H?S可還原鐵氧化物釋放磷)。這解釋了鐵降低磷釋放的化學機制。
支持礦物形成假設:
數據關聯:H?S抑制與X射線衍射發現的黃鐵礦(圖B2)高度一致,表明鐵添加促進了硫化物固定為穩定礦物。Unisense數據提供了原位證據,彌補了傳統化學提取法的局限性。
意義:明確了鐵在硫-磷耦合循環中的核心作用,即鐵通過控制硫化物水平間接調控磷有效性。
生態應用價值:
管理啟示:Unisense測量顯示即使低劑量鐵(如18 g Fe m?2)也能顯著抑制H?S,表明鐵處理可適用于多種沉積物類型。這為湖泊修復的劑量優化提供了關鍵參數。
技術優勢:電極的微米級空間分辨率可捕捉沉積物微環境的化學梯度,優于整體取樣方法,適合動態過程研究。
總之,Unisense電極不僅是硫定量的工具,更連接了鐵添加與磷固定之間的化學橋梁,其數據為鐵基修復技術的機制闡釋提供了不可替代的實證支持。