熱線:021-66110810,66110819
手機:13564362870

熱線:021-66110810,66110819
手機:13564362870
Iron-coupled inactivation of phosphorus in sediments by macrozoobenthos (chironomid larvae) bioturbation: Evidences from high-resolution dynamic measurements
大型底棲動物的生物擾動作用引起鐵離子耦合沉積物的失活作用:來自于高分辨率動態測試
來源:Environmental Pollution, 2015, 204, 241-247
論文摘要
摘要指出,研究團隊通過為期140天的沉積物培養實驗,探究了搖蚊幼蟲生物擾動對沉積物中磷活性的影響。研究運用高分辨率透析技術和高分辨薄膜擴散梯度技術,分別以毫米級精度獲取了孔隙水中的可溶性磷/鐵和活性磷/鐵的剖面數據。研究發現,幼蟲的生物擾動使其影響深度內(沉積物表層以下最高70毫米處)的可溶性/活性磷和鐵濃度降低至對照組的一半以下。這種效應持續了116天,并在第140天因搖蚊羽化而消失。活性磷與活性鐵高度相關,而可溶性磷與可溶性鐵的相關性較弱。結論是,Fe(II)的氧化及其增強的吸附作用是導致可溶性和活性磷減少的主要機制。
研究目的
本研究旨在探究搖蚊幼蟲的生物擾動如何影響富營養化湖泊(以太湖為例)沉積物中磷的遷移轉化和釋放過程,并重點闡明其背后的鐵耦合作用機制。
研究思路
研究采用實驗室微宇宙培養與高分辨率原位測量技術相結合的策略:
樣品準備:從太湖梅梁灣采集沉積物和上覆水,在實驗室建立微宇宙培養系統,并引入特定密度的搖蚊幼蟲作為處理組,設空白對照組。
時間序列監測:在培養后的第7、46、116和140天進行采樣分析。
多技術聯用:
使用丹麥Unisense氧微電極測量沉積物-水界面附近的溶解氧垂直剖面。
使用高分辨率孔隙水平衡儀(HR-Peeper)獲取可溶性反應磷和可溶性Fe(II)的剖面。
使用鋯-螯合樹脂復合薄膜擴散梯度技術(ZrO-Chelex DGT)獲取活性磷和活性鐵的剖面。
計算磷的通量并分析沉積物磷的形態分級。
機制分析:通過對比處理組與對照組的數據,并結合磷鐵濃度的相關性分析,揭示生物擾動的關鍵機制。
測量數據及研究意義(附圖表來源)
溶解氧(DO)剖面:
數據內容:使用Unisense氧微電極測量的沉積物-水界面以下溶解氧濃度的垂直分布。
研究意義:直接證明幼蟲的生物灌溉行為將富氧水引入洞穴,顯著增加了沉積物中的氧滲透深度,改變了沉積物的氧化還原條件。這是引發后續鐵、磷化學變化的先決條件。

數據來源:圖1顯示了不同采樣時期處理組與對照組的DO剖面。
磷通量:
數據內容:通過監測上覆水中SRP濃度的變化,計算得到沉積物-水界面的磷交換通量。
研究意義:量化生物擾動對磷內源負荷的宏觀影響。正通量表示磷從沉積物釋放到上覆水,負通量則表示沉積物吸收磷。

數據來源:圖2展示了四個時間點的磷通量。
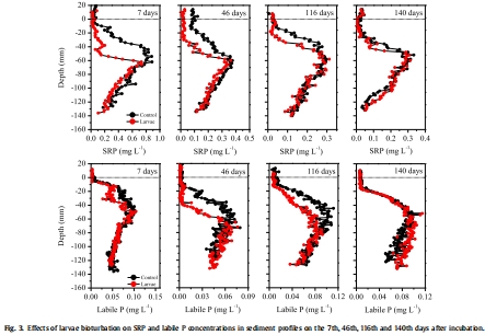
可溶性磷(SRP)和活性磷(Labile P)剖面:
數據內容:通過HR-Peeper測得的SRP和通過DGT測得的活性磷的垂直濃度分布。
研究意義:精確刻畫了生物擾動在毫米尺度上對孔隙水中磷濃度的抑制效應,證實了生物擾動能有效降低沉積物中磷的活性和遷移能力。

數據來源:圖3對比了處理組與對照組在不同時間的SRP和活性磷剖面。
可溶性Fe(II)和活性鐵(Labile Fe)剖面:
數據內容:通過HR-Peeper測得的可溶性Fe(II)和通過DGT測得的活性鐵的垂直濃度分布。
研究意義:顯示了生物擾動引起的氧化條件導致Fe(II)被氧化,濃度顯著降低,為“鐵耦合失活磷”的機制提供了直接證據。

數據來源:圖5對比了處理組與對照組在不同時間的可溶性Fe(II)和活性鐵剖面。
磷形態分級:
數據內容:對沉積物樣品進行連續提取,分析不同結合形態的磷含量。
研究意義:從化學形態上驗證機制。發現處理組中鐵結合態磷顯著增加,而其他形態磷無顯著變化,直接證實了磷被新生成的三價鐵氧化物所吸附固定。

數據來源:圖4展示了第46天時沉積物上層的磷形態分級結果。
磷鐵相關性分析:
數據內容:對可溶性磷/鐵和活性磷/鐵的濃度進行相關性分析。

研究意義:活性磷與活性鐵在整個實驗期間都表現出極顯著的正相關(表2),而可溶性磷與鐵的相關性較弱。這說明DGT技術能更好地捕捉到鐵磷耦合關系,因為其測量的“活性”部分更直接地反映了固相與液相間的動態平衡。
結論
顯著抑制效應:搖蚊幼蟲的生物擾動能顯著降低沉積物表層(最深至70-90毫米)孔隙水中可溶性和活性磷的濃度,最大降幅可達對照組的一半以上,并將沉積物從磷的“源”轉變為“匯”。
時間依賴性:這種抑制效應在整個幼蟲活動期(116天內)持續存在,并在幼蟲羽化后(第140天)消失。
核心機制:生物擾動的核心機制是鐵耦合的磷失活。具體過程為:幼蟲灌溉引入氧氣,氧化沉積物中的Fe(II)生成Fe(III)氧化物/氫氧化物,這些新生的、具有高吸附活性的鐵氧化物進而吸附固定孔隙水中的磷酸鹽,從而降低了磷的活性。
技術優勢:高分辨率技術(HR-Peeper和DGT)相比傳統方法,能更精確、更真實地揭示毫米尺度的生物地球化學過程。
Unisense電極測量數據的詳細解讀及其研究意義
本研究中使用丹麥Unisense的氧微電極(OX 100)測量了沉積物中的溶解氧(DO)垂直剖面。這些數據的研究意義如下:
提供關鍵的機制啟動證據:Unisense微電極提供的毫米級高分辨率DO剖面(圖1)是證明生物擾動發生及其強度的最直接證據。數據顯示,在有幼蟲處理的沉積物中,氧的滲透深度在第7、46、116天均顯著大于對照組。例如,在第46天,處理組的氧滲透深度為8.1毫米,而對照組僅為3.6毫米。這直觀地證實了幼蟲的生物灌溉行為將上覆富氧水泵入其洞穴,從而在沉積物中創造了局部的氧化微環境。
界定生物擾動的時空影響范圍:DO剖面的變化與磷、鐵濃度剖面的變化在時間和空間上高度吻合。DO增加的區域,也正是可溶性Fe(II)和磷濃度下降的區域。這表明Unisense電極測量的氧化區是后續一系列化學反應(鐵氧化、磷吸附)發生的“熱點區域”,從而幫助研究者準確定位和量化生物擾動的生態效應。
關聯生物活動與地球化學過程:通過時間序列監測,Unisense數據將宏觀的生物活動(幼蟲存活與灌溉)與微觀的地球化學過程(氧化還原條件改變)動態地聯系起來。當第140天幼蟲羽化后,處理組與對照組的DO剖面變得相似,與此同時,磷和鐵的濃度差異也消失了。這強有力地證明了觀察到的磷固定效應是由幼蟲生物灌溉驅動的,而非其他因素。
支撐核心結論:Unisense電極的數據是整個研究邏輯鏈的起點。它首先證實了“氧化”事件的發生,進而才能合理解釋Fe(II)的氧化、Fe(III)氧化物的形成,并最終導致磷的吸附固定。沒有DO剖面的證據,“鐵耦合失活”的機制將缺乏最關鍵的支撐。
總之,Unisense氧微電極在本研究中扮演了“偵察兵”的角色,它提供的高分辨率溶解氧數據,不僅證實了生物擾動的物理過程,更重要的是為闡釋其抑制磷釋放的化學機制提供了不可或缺的、定量的環境背景證據,極大地增強了對底棲動物在沉積物磷循環中作用的科學理解。