熱線:021-66110810,66110819
手機:13564362870

熱線:021-66110810,66110819
手機:13564362870
Impact of carbon sources on nitrous oxide emission and microbial community structure in an anoxic/oxic activated sludge system
碳源對缺氧含氧活性污泥系統中一氧化二氮排放和微生物群落結構的影響
來源:Clean Techn Environ Policy DOI 10.1007/s10098-015-0979-9
論文摘要
本研究探討了在改良型Ludzak-Ettinger(MLE)污水處理工藝中,不同外部碳源(甲醇 vs. 乙酸鈉)對溫室氣體一氧化二氮(N?O)排放的影響。研究發現,雖然兩種碳源下的可溶性氮去除效率相近,但乙酸鈉系統的N?O排放速率(1.6 ± 0.6 μg N-N?O/min)顯著低于甲醇系統(3.0 ± 0.7 μg N-N?O/min)。批次實驗證實,乙酸鈉馴化的污泥具有更高的N?O還原速率(10.3 mg/gVSS/h)。微生物群落分析顯示,甲醇系統富集了無法還原N?O的Methylotenera菌屬(占34.9%),而乙酸鈉系統則富集了潛在的N?O還原菌Dechloromonas(12.2%)和Rubrivivax(15.9%)。結果表明,對于旨在減少N?O排放的污水處理廠,乙酸鈉是比甲醇更合適的替代碳源。
研究目的
本研究旨在探究一個核心問題:在MLE污水處理工藝中,作為反硝化過程電子供體的外部碳源(甲醇與乙酸鈉)的種類,是否會通過影響微生物的脫氮活性和群落結構,進而影響N?O的排放量。研究試圖從污水處理性能、N?O排放速率、微生物功能基因豐度和群落結構等多個層面,揭示碳源選擇與N?O減排之間的內在聯系。
研究思路
研究采用平行對照實驗與批次實驗相結合的系統方法:
系統構建與運行:建立兩個完全相同的實驗室規模MLE反應器系統(包含缺氧池、好氧池和二沉池),其中一個以甲醇為唯一外部碳源(系統1),另一個以乙酸鈉為唯一外部碳源(系統2)。在其他操作條件(水力停留時間、污泥齡、內回流比、溶解氧、溫度、pH)完全一致的情況下連續運行230天。
常規性能監測:定期檢測兩個系統進出水的化學指標,包括溶解性有機碳(DOC)、氨氮(NH??)、亞硝酸鹽(NO??)、硝酸鹽(NO??)和總氮(DTN),以評估系統的脫氮效率。
N?O排放測量:
使用氣相色譜儀(GC-ECD)測量好氧池排氣口中的氣相N?O濃度,并計算N?O排放速率。
使用丹麥Unisense微電極直接測量缺氧池混合液中的溶解態N?O濃度,以更直接地反映反硝化過程中的N?O產生/還原情況。
微生物機制探究:
批次實驗:從兩個系統的缺氧池取泥,在嚴格控制條件下進行批次實驗,定量測定污泥的N?O還原速率。
功能基因定量:使用實時熒光定量PCR(qPCR)技術,測定污泥中關鍵氮轉化功能基因(如氨單加氧酶基因amoA、亞硝酸鹽還原酶基因nirK/nirS、N?O還原酶基因nosZClade I/II)的拷貝數。
群落結構分析:利用MiSeq高通量測序技術,分析污泥樣品的16S rRNA基因,揭示碳源對微生物群落結構,尤其是在屬水平上的影響。
測量的數據、研究意義及來源
研究測量了多方面的數據:
水質處理效率數據:
數據內容:兩個系統在穩定運行期間(第148-230天)的DOC平均去除效率(甲醇系統96.0%,乙酸鈉系統96.3%)和總氮(DTN)平均去除效率(甲醇系統93.5%,乙酸鈉系統92.0%)均很高且無顯著差異。但乙酸鈉系統好氧池的亞硝酸鹽(NO??)濃度(4.3 mg N/L)顯著高于甲醇系統(3.4 mg N/L)。
研究意義:證明碳源種類的改變并不影響MLE系統整體的脫氮效能,排除了處理效率差異對N?O排放比較的干擾。乙酸鈉系統較高的亞硝酸鹽積累提示其硝化過程可能與甲醇系統存在差異。數據來自對圖2的描述和文本結果部分。

N?O排放速率數據:
數據內容:甲醇系統的平均N?O排放速率(3.0 ± 0.7 μg N/min)顯著高于乙酸鈉系統(1.6 ± 0.6 μg N/min)。甲醇系統和乙酸鈉系統的N?O轉化率(排放N?O占去除總氮的百分比)分別為3.0%和1.0%。
研究意義:直接證明了碳源選擇對N?O排放量的顯著影響,乙酸鈉作為碳源能有效降低MLE工藝的N?O排放。數據來自圖3和表2。


N?O還原速率數據(批次實驗):
數據內容:乙酸鈉馴化污泥的N?O還原速率(10.3 mg/gVSS/h)顯著高于甲醇馴化污泥(3.3 mg/gVSS/h)。
研究意義:從污泥生理活性的角度解釋了排放差異的原因:乙酸鈉系統污泥還原N?O的能力更強,從而減少了N?O的凈積累和排放。數據來自圖4。

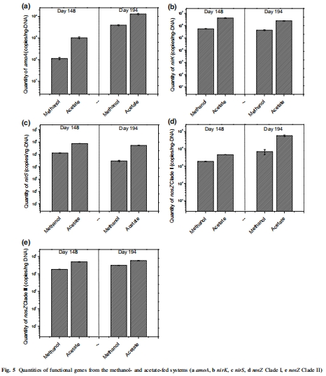
功能基因豐度數據:
數據內容:qPCR結果顯示,乙酸鈉系統中N?O還原酶基因(nosZClade I 和 Clade II)的拷貝數高于甲醇系統。
研究意義:從分子生物學層面提供了支持,表明乙酸鈉系統富集了更多攜帶N?O還原酶基因的微生物,這與其高N?O還原速率相吻合。數據來自圖5d和5e。

微生物群落結構數據:
數據內容:高通量測序顯示,甲醇系統的優勢菌屬為Methylotenera(占34.9%),該屬據報道缺乏N?O還原能力;而乙酸鈉系統則富集了Dechloromonas(12.2%)和Rubrivivax(15.9%)等已知的潛在N?O還原菌。
研究意義:將宏觀排放現象與微觀的微生物群落驅動聯系起來,闡明了碳源通過塑造特定的功能菌群來間接控制N?O排放的生態學機制。數據來自圖6和文本結果部分。

研究結論
在MLE工藝中,使用乙酸鈉作為外部碳源可以比甲醇顯著降低N?O排放,且不影響系統的整體脫氮效率。
這種減排效應主要歸因于乙酸鈉系統污泥具有更高的N?O還原活性。
碳源的選擇重塑了反硝化微生物的群落結構:甲醇富集了缺乏N?O還原能力的菌屬(如Methylotenera),而乙酸鈉則富集了具有強N?O還原潛力的菌屬(如Dechloromonas和Rubrivivax)。
因此,對于關注碳足跡和溫室氣體減排的污水處理廠,乙酸鈉是比甲醇更優的碳源選擇。
詳細解讀使用丹麥Unisense電極測量出來的數據的研究意義
在本研究中,使用丹麥Unisense N?O微電極測量的數據具有特定且重要的研究意義:
直接監測反硝化核心區域的N?O動態:Unisense N?O微電極是一種高靈敏度的傳感器,能夠原位、實時地測量液體介質中溶解態N?O的濃度。在本研究中,它被用于直接測量缺氧池混合液中的N?O濃度。缺氧池是反硝化過程(包括N?O產生和還原)發生的核心區域。與傳統僅測量好氧池排氣口氣體濃度的方法相比,此測量提供了關于N?O在生物反應“源頭”的動態信息,避免了氣體傳輸、吹脫等物理過程對數據解讀的干擾。
更準確地評估反硝化過程的完整性:溶解態N?O濃度直接反映了反硝化微生物將硝酸鹽/亞硝酸鹽還原至氮氣(N?)這一過程的完整程度。如果反硝化過程在N?O這一步受阻,會導致溶解態N?O積累。因此,Unisense電極測得的缺氧池N?O濃度是衡量反硝化過程是否順利、是否產生N?O副產品的更直接指標。本研究雖未在正文中詳細展示該數據曲線,但方法部分明確指出其用于評估不同碳源下的N?O產生/還原性能,這為后續的批次實驗(測定還原速率)和群落分析提供了重要的背景支持。
方法學上的互補性:Unisense電極的測量與氣相N?O排放速率測量形成了互補。氣相排放速率反映了最終釋放到環境中的N?O總量,而溶解態濃度則有助于揭示系統內部的生化過程機制。兩者結合,能夠更全面地刻畫碳源對N?O排放的影響。
綜上所述,丹麥Unisense電極的測量在本研究中起到了“深入過程內部、揭示機制細節” 的作用。它通過提供反硝化核心區域——缺氧池中的直接數據,增強了研究結論的可靠性,使“乙酸鈉系統具有更強N?O還原能力”這一論斷不僅建立在最終的排放速率和批次實驗基礎上,也獲得了過程內部化學證據的支持。