熱線:021-66110810,66110819
手機:13564362870

熱線:021-66110810,66110819
手機:13564362870
Methodology for Analyzing Dissolved Oxygen Consumption in Benthic Chambers
分析底棲腔室中溶解氧消耗量的方法
來源:J. Environ. Eng. 2015.141.
論文摘要
本文提出了一種分析底棲腔室(benthic chamber)中溶解氧(DO)時間序列的新方法,旨在分離湍流水體運輸過程與沉積物生化消耗過程,以準確估算野外條件下沉積物的真實需氧量。傳統底棲腔室測量忽略了內部流動非代表性和水柱DO消耗的干擾。本研究通過理論模型和實驗結合,利用DO微剖面和腔室內DO衰減曲線,量化了沉積物氧需求(S)、湍流質量傳遞系數(k_t)和水柱耗氧率(r_w)。以智利圣地亞哥大學附近瀉湖沉積物為例,方法通過無量綱數驗證了有效性和局限性,為水生生態系統DO通量研究提供了改進方案。
研究目的
本研究旨在:
開發一種分析底棲腔室DO時間序列的方法,消除內部湍流條件對沉積物需氧量估算的偏差。
分離并量化沉積物生化消耗(S)、水柱消耗(r_w)和湍流擴散(k_t)對DO通量(J)的貢獻。
通過微剖面測量(如Unisense電極)驗證腔室數據的可靠性。
定義方法的適用范圍,為野外DO通量預測提供參數基礎。
研究思路
研究采用理論建模、實驗測量和參數擬合相結合的方法:
理論框架:基于Nakamura-Stefan模型,建立DO通量J的方程(J = k_t C - J2/S),推導J與DO濃度(C)、k_t和S的關系(公式2)。
實驗設計:使用圓柱形底棲腔室(高12 cm,直徑4 cm),內置磁力攪拌器模擬湍流,設置不同角速度(ω=3 Hz和5.2 Hz)和水質(飲用水、蒸餾水)共4組實驗(表1)。采集沉積物樣本,監測腔室內DO和溫度時間序列(Fig. 3)。


數據采集:
腔室DO時間序列:用CellOx325傳感器記錄DO衰減曲線(每1分鐘),計算?C/?t。
微剖面測量:使用丹麥Unisense OX25氧微電極(尖端直徑未明確)測量沉積物-水界面的DO垂直梯度(步長160 μm in沉積物,200 μm in水柱),校準后通過軟件Sensor Trace PRO采集數據(Fig. 4)。

參數擬合:
先用低DO濃度(C ≤0.3 gO? m?3)數據擬合k_t和r_w(公式8)。
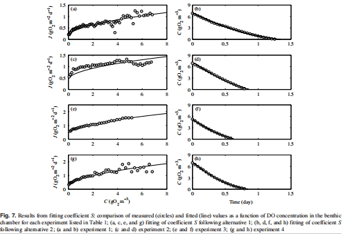
再通過非線性最小二乘法(Gauss-Newton)擬合S值,兩種替代方案:基于?C/?t vs C(替代1)或基于t vs C曲線(替代2)。
驗證與分析:比較微剖面S值(S_I, S_II, S_III)與腔室擬合S值(Table 2);進行敏感性分析評估參數不確定性(Fig. 8)。

測量的數據、研究意義及來源
研究測量了多類數據,以下按類別說明其意義及圖表來源(注明圖表):
DO時間序列與溫度數據:
數據內容:腔室內DO濃度隨時間衰減曲線(如實驗1從7.19 gO? m?3降至近0)和溫度波動(±1.5°C)。數據顯示DO下降速率隨攪拌速度增加而加快。
研究意義:直接反映腔室內綜合耗氧過程,是擬合k_t、r_w和S的基礎。溫度變化影響生化速率,需在模型中校正。數據來自Fig. 3a-d(DO和溫度時序曲線)。
微剖面DO梯度數據(使用丹麥Unisense電極測量):
數據內容:Unisense電極測量的DO垂直分布顯示,沉積物中DO從界面向內部遞減至0,水柱中梯度平緩。通過二次擬合和梯度斜率計算S值(如飲用水S_avg=0.116 gO? m?1 d?2,蒸餾水S_avg=0.260 gO? m?1 d?2)。
研究意義:提供沉積物局部耗氧的直接證據,驗證S的物理意義;顯示水質對S的影響(蒸餾水S更高)。數據來自Fig. 4a-d(微剖面曲線)和Table 2(S值匯總)。

參數擬合結果數據:
數據內容:擬合得到k_t(0.656–1.157 m d?1)、r_w(1.376–3.775 gO? m?3 d?1)和S(0.133–0.476 gO? m?1 d?2)。S的擬合值與微剖面值較吻合(比率~1.4)。
研究意義:k_t和r_w量化湍流和水柱作用,S表征沉積物耗氧潛力;擬合優度(r2≈0.99)證明方法可靠性。數據來自Table 3(參數擬合結果)和Fig. 7a-h(擬合曲線對比)。


敏感性分析數據:
數據內容:k_t或r_w變化±20%導致S變化<13%(Fig. 8);近似J≈k_t C在蒸餾水實驗誤差達32%。
研究意義:表明方法對參數波動不敏感,但簡化假設可能引入誤差,需謹慎應用。數據來自Fig. 8a-d(敏感性變化)和Table 4(誤差估計)。

研究結論
新方法成功分離了底棲腔室中湍流運輸(k_t)、水柱消耗(r_w)和沉積物生化消耗(S)對DO通量的影響,解決了傳統腔室測量高估野外需氧量的問題。
微剖面(Unisense電極)與腔室擬合的S值高度一致(差異≤20%),證明方法能準確量化沉積物耗氧特性。
水質(飲用水vs蒸餾水)顯著影響S值,蒸餾水S更高,提示野外需考慮水化學背景。
敏感性分析顯示方法魯棒性強,但簡化假設(如J≈k_t C)在低DO時誤差較大,需優化。
本方法為水生生態系統DO管理提供了可轉移的參數(S),但需結合野外k_t值預測真實通量。
詳細解讀使用丹麥Unisense電極測量出來的數據的研究意義
在本文中,使用丹麥Unisense氧微電極測量的微剖面數據具有關鍵研究意義,其詳細解讀如下:
高空間分辨率揭示界面過程:Unisense氧微電極是一種電化學傳感器,尖端極細(微米級),能以亞毫米分辨率原位測量沉積物-水界面的DO垂直分布(Fig. 4)。本研究通過垂直剖面(160–200 μm步長)直接捕獲了DO從水柱向沉積物內部衰減的梯度,避免了腔室測量的空間平均效應。例如,數據顯示DO在沉積物中快速降至0,為生化消耗主導通量提供了最直接證據。
驗證腔室模型的可靠性:微剖面測得的S值(S_I, S_II, S_III)與腔室擬合S值高度吻合(Table 2),強有力地證明了本文方法的準確性。微剖面作為“地面真值”,驗證了腔室數據分解湍流與生化過程的可行性,凸顯了多方法互驗的必要性。
量化沉積物耗氧特性:微剖面數據將抽象的“沉積物需氧量”轉化為可定量的S參數(如蒸餾水S=0.260 gO? m?1 d?2)。通過二次擬合梯度,S值反映了沉積物中耗氧率的空間均一性,支持了理論模型的簡化假設。
方法學優勢:Unisense電極的原位校準(空氣/無氧標準)和實時采樣(1 Hz)確保了數據精度。其高分辨率克服了腔室整合性測量的局限,為理解微尺度界面化學提供了不可替代的工具。
總之,丹麥Unisense電極的數據不僅是本研究中驗證S值的“金標準”,更通過提供高分辨率DO梯度,架起了微觀界面過程與宏觀通量估算的橋梁,彰顯了微傳感器在環境工程研究中的基石作用。