熱線:021-66110810,66110819
手機:13564362870

熱線:021-66110810,66110819
手機:13564362870
N2O accumulation from denitrification under different temperatures
不同溫度下反硝化過程中氧化亞氮的積累
來源 未提供明確來源
摘要
論文摘要闡述了研究溫度對反硝化和反亞硝化過程中氧化亞氮積累的影響。通過批量實驗在25和35°C下測量N2O積累,發現高溫度下反亞硝化比全反硝化和低溫測試產生更多N2O積累。研究中測試的最高亞硝酸鹽濃度(25 mg/L NO2-N, pH 8.0)未顯示對N2O還原的抑制效應。高溫度下反硝化過程中更多N2O積累的主要原因是更高的N2O產生率和更低的N2O溶解度。溫度從25升至35°C時,比硝酸鹽、亞硝酸鹽和N2O還原率分別增加62%、61%和41%。35°C時混合液中N2O溶解度降低導致N2O從液相到氣相的擴散速率加快,氣相N2O再溶解更困難,擴散的N2O在頂空積累,無法被反硝化菌利用。研究表明高溫可能加劇污水處理廠的N2O排放。
研究目的
研究目的是調查溫度如何影響反硝化過程中N2O的生產、還原和積累。N2O是一種強效溫室氣體,污水處理過程是其重要人為來源。溫度變化可能導致反硝化各步驟反應速率不平衡,引起中間產物積累。研究假設反應動力學和N2O溶解度在溫度影響N2O積累中起關鍵作用,旨在通過實驗驗證高溫是否通過提高還原速率和降低溶解度加劇N2O積累,為污水處理廠優化操作提供依據。
研究思路
研究思路是使用市政污水處理廠的污泥進行批量實驗,比較25和35°C下以硝酸鹽、亞硝酸鹽和N2O為主要電子受體時的反硝化性能。實驗設置14組條件,變量包括溫度、初始氮氧化物濃度、頂空存在與否。測量比還原速率、溶解和氣相N2O濃度,使用丹麥Unisense的N2O微傳感器在線監測溶解N2O。通過線性回歸計算比還原速率,計算機模擬N2O在氣液相間的分布。分析溫度對還原動力學、溶解度及亞硝酸鹽抑制的單獨和聯合效應,從而揭示N2O積累機制。
測量的數據及研究意義
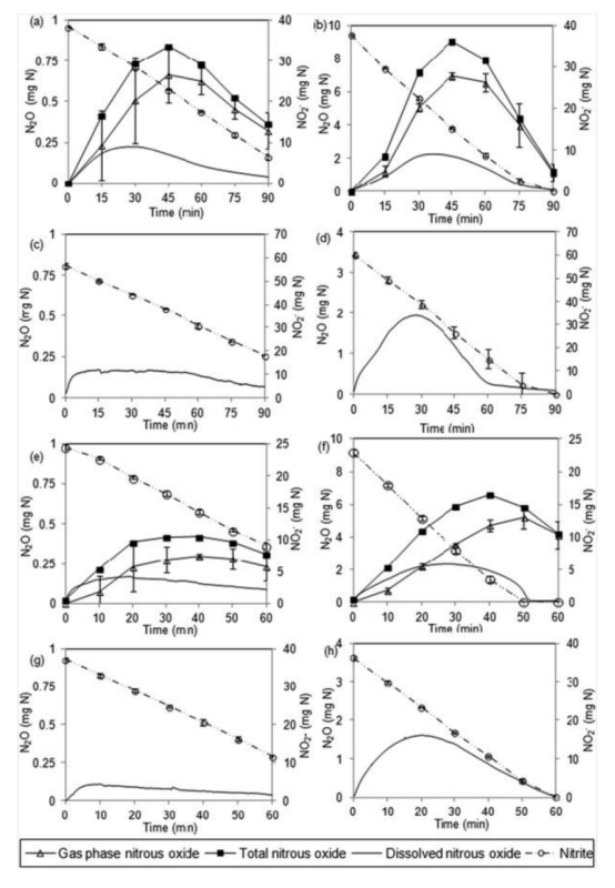
1 測量了以硝酸鹽為電子受體時硝酸鹽、亞硝酸鹽和N2O的比還原速率,數據來自表5和Fig.1。研究意義在于量化溫度對反硝化各步驟速率的影響,顯示溫度升高時速率增加不均(硝酸鹽62%、亞硝酸鹽79%、N2O66%),導致中間產物積累,揭示動力學不平衡是N2O積累的原因之一。



2 測量了以亞硝酸鹽為電子受體時不同初始濃度下的比亞硝酸鹽和N2O還原速率,數據來自表3和Fig.2-3。研究意義在于評估亞硝酸鹽濃度和溫度對還原速率的復合效應,發現高濃度亞硝酸鹽不抑制N2O還原,但溫度升高時N2O還原速率增幅小于亞硝酸鹽,加劇N2O積累。





3 測量了有/無頂空條件下溶解和氣相N2O的積累量,數據來自Fig.3和模擬結果Fig.4-6。研究意義在于驗證溶解度效應,顯示高溫下N2O更易擴散到頂空,減少液相可用性,導致氣相積累,證實溶解度降低是N2O排放的關鍵因素。



4 測量了以N2O為電子受體時的比還原速率,數據來自Fig.5和表4。研究意義在于直接測定N2O還原能力,顯示溫度升高速率增加41%,但頂空存在時速率降低,凸顯相間傳輸對生物還原的干擾。

5 通過模擬計算了N2O的亨利常數和傳質系數,數據來自表4和Fig.6。研究意義在于量化溫度對溶解度參數的影響,顯示35°C時傳質系數是25°C的8倍,解釋高溫下N2O更快脫離液相。
結論
1 溫度升高導致反硝化各步驟比還原速率增加不均,亞硝酸鹽和N2O還原速率增幅低于硝酸鹽,造成中間產物積累,是N2O積累的主要動力學原因。
2 高溫下N2O溶解度降低,傳質系數增加,使N2O更快從液相擴散到氣相,積累在頂空,難以被生物還原,顯著提高排放風險。
3 亞硝酸鹽濃度高達25 mg/L且pH=8時,游離亞硝酸濃度低于抑制閾值,未對N2O還原產生顯著抑制,排除其作為主要因素。
4 研究表明高溫可能惡化污水處理廠N2O排放,建議在高溫操作時覆蓋反應器或循環尾氣以促進N2O再溶解和還原。
使用丹麥Unisense電極測量數據的研究意義
使用丹麥Unisense的N2O微傳感器測量溶解N2O濃度數據在本研究中具有關鍵的實時監測和機理解析意義。該傳感器能以高時間分辨率(每秒)連續在線監測混合液中的溶解N2O濃度,克服了傳統間歇取樣無法捕捉瞬時動態的局限。通過實時記錄溶解N2O的時序變化(如Fig.3和Fig.5所示),研究直接揭示了N2O在反硝化過程中的積累和消耗模式,例如在曝氣停止后溶解N2O繼續上升,表明生物生產持續。這些數據與氣相測量結合,使能量化N2O在氣液相間的傳輸通量(如Fig.4和Fig.6),確認高溫下溶解度降低導致N2O更快逸出液相。傳感器的高精度還幫助識別了頂空存在對還原速率的干擾(Fig.5c,d),顯示氣相N2O難以再溶解,限制了生物利用。總之,Unisense電極的應用提供了原位、連續的數據源,為驗證動力學和溶解度效應提供了實證基礎,深化了對溫度影響N2O排放機制的理解,支撐了污水處理過程的優化策略。