熱線:021-66110810,66110819
手機:13564362870

熱線:021-66110810,66110819
手機:13564362870
A laboratory investigation of interactions between denitrifying anaerobic methane oxidation (DAMO) and anammox processes in anoxic environments
缺氧環境中反硝化厭氧甲烷氧化(DAMO)與厭氧氨氧化(anammox)過程相互作用的實驗室研究
來源 SCIENTIFIC REPORTS, Volume 5, Article number 8706, Published 3 March 2015
《科學報告》,第5卷,文章編號8706,2015年3月3日發布
摘要
論文摘要闡述了在受控缺氧實驗室反應器中研究反硝化厭氧甲烷氧化(DAMO)和厭氧氨氧化(anammox)過程之間的相互作用。兩個反應器接種相同菌種,包含DAMO微生物Candidatus Methanoperedens nitroreducens和Candidatus Methylomirabilis oxyfera以及anammox微生物Candidatus Kuenenia stuttgartiensis。分別供應硝酸鹽和亞硝酸鹽作為電子受體,同時提供甲烷和銨。穩態下,DAMO過程單獨/主要負責硝酸鹽還原,anammox過程負責亞硝酸鹽還原。微生物群落分析顯示M. nitroreducens在硝酸鹽供應反應器占主導(約70%),在亞硝酸鹽供應反應器也存在(約26%),而M. oxyfera在兩種反應器中均消失,可能被anammox細菌競爭排除。anammox細菌K. stuttgartiensis在兩個反應器中比例較低(1-3%)。研究揭示了DAMO和anammox在氮循環中的協同作用。
研究目的
研究目的是深入調查DAMO和anammox微生物在缺氧環境中的相互作用機制,特別是在不同電子受體(硝酸鹽 vs 亞硝酸鹽)條件下它們的競爭與協作關系。通過控制實驗條件,明確各微生物在氮轉化過程中的角色,評估其在水處理中的應用潛力,并為自然環境中碳氮循環提供理論依據。
研究思路
研究思路是建立兩個實驗室規模缺氧反應器,接種相同混合菌種(含DAMO和anammox微生物),分別以硝酸鹽或亞硝酸鹽為主要電子受體,同時供應甲烷和銨。反應器在35°C下運行10-12個月,定期監測硝酸鹽、亞硝酸鹽、銨、甲烷的消耗速率和氮氣生產速率。使用熒光原位雜交(FISH)和16S rRNA基因測序分析微生物群落動態。通過質量平衡計算反應速率,驗證電子平衡,并提出概念模型解釋相互作用機制。
測量的數據及研究意義
1 測量了硝酸鹽供應反應器中硝酸鹽、亞硝酸鹽、銨、甲烷和氮氣的質量隨時間變化曲線,數據來自圖1a和1b。研究意義在于量化DAMO和anammox過程的活動動態,顯示初始階段DAMO單獨作用,后期anammox參與并完全消耗亞硝酸鹽,證實過程協同。

2 測量了硝酸鹽供應反應器中DAMO對硝酸鹽的還原速率(rDAMO-nitrate)、DAMO對亞硝酸鹽的還原速率(rDAMO-nitrite)和anammox對亞硝酸鹽的還原速率(ranammox),數據來自圖1c。研究意義在于揭示溫度升高(25°C至35°C)導致各還原速率增幅不均(硝酸鹽62%、亞硝酸鹽79%、N2O 66%),造成中間產物積累,突顯動力學不平衡效應。
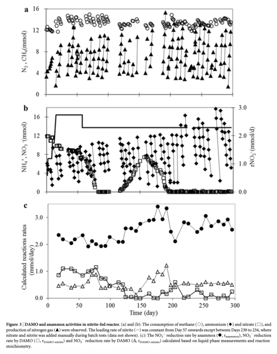
3 測量了亞硝酸鹽供應反應器中甲烷、銨、硝酸鹽消耗和氮氣生產速率,數據來自圖3a和3b。研究意義在于展示在亞硝酸鹽存在下DAMO和anammox的競爭關系,anammox最終主導亞硝酸鹽還原,說明底物競爭導致M. oxyfera被淘汰。

4 通過FISH和16S rRNA測序分析了微生物群落組成,數據來自圖2(硝酸鹽反應器)和圖4(亞硝酸鹽反應器)。研究意義在于直接驗證M. nitroreducens在兩種反應器中占優,M. oxyfera消失,anammox細菌比例低,支持競爭排除假設。


5 使用丹麥Unisense的N2O微傳感器測量了溶解N2O濃度,文檔提及在特定日期檢測均未檢出。研究意義在于確認過程不產生溫室氣體N2O,強調DAMO-anammox系統環境友好性,支持其應用可行性。
6 測量了揮發性懸浮固體(VSS)濃度,文檔提及穩定在1.1 g/L左右。研究意義在于表明生物量合成可忽略,與自養微生物生長緩慢特性一致,提示過程穩定性。
結論
1 在穩態下,DAMO過程(主要由M. nitroreducens驅動)負責硝酸鹽還原為亞硝酸鹽,anammox過程負責亞硝酸鹽還原為氮氣,形成協同氮去除路徑。
2 M. oxyfera在兩種反應器中均被anammox細菌競爭排除,因anammox對亞硝酸鹽的親和力或速率更高,揭示底物競爭在群落構建中的關鍵作用。
3 反應器實現閉合氮平衡和電子平衡,銨和硝酸鹽被完全轉化為氮氣,甲烷氧化提供電子,證實過程可行性用于廢水處理。
4 高溫(35°C)加劇反應速率不平衡,但系統仍可穩定運行,建議優化操作條件以增強應用潛力。
使用丹麥Unisense電極測量數據的研究意義
使用丹麥Unisense的N2O微傳感器測量溶解N2O濃度數據在本研究中具有重要的環境驗證和過程安全意義。該傳感器能高靈敏度檢測液相N2O(檢測限0.7μM),用于定期監測反應器(如第53、115、199和260天)是否產生這種強效溫室氣體。測量結果均顯示N2O未檢出(文檔提及數據未展示),直接證明DAMO和anammox耦合系統在氮轉化過程中不積累N2O,所有硝酸鹽和亞硝酸鹽均被完全還原為氮氣。這一數據至關重要,因為它排除了過程可能帶來的二次污染風險,支持該技術的環境可持續性。在全局碳足跡評估中,無N2O排放顯著降低處理系統的溫室氣體潛能,增強了DAMO-anammox協同工藝在廢水處理中應用的吸引力。此外,Unisense電極的高精度測量提供了可靠證據,彌補了傳統氣相色譜的間歇采樣局限,確保持續監測下的數據準確性,為過程優化和放大設計提供了關鍵安全參數。