熱線:021-66110810,66110819
手機:13564362870

熱線:021-66110810,66110819
手機:13564362870
Influence of organic carbon and nitrate loading on partitioning between dissimilatory nitrate reduction to ammonium (DNRA) and N2 production
有機碳和硝酸鹽加載對硝酸鹽異化還原為銨(DNRA)和N2生產之間分配的影響
來源:Geochimica et Cosmochimica Acta, Volume 164, 2015, Pages 146-160
《地球化學與宇宙化學學報》,第164卷,2015年,146-160頁
摘要
摘要闡述了生物可利用氮通過微生物過程如厭氧氨氧化(anammox)或反硝化(denitrification)從生態系統中移除,而硝酸鹽異化還原為銨(DNRA)則保留氮。研究通過操縱實驗探究有機碳(C)和硝酸鹽(NO3)加載對DNRA和N2生產之間分配的影響。實驗使用沉積物薄盤,在不同C和NO3加載條件下培養,監測無機氮濃度,并進行15N同位素標記實驗測量anammox、反硝化和DNRA的潛在速率。結果顯示,DNRA和N2生產之間的分配與C分解速率和NO3還原速率的比率(C/NO3)正線性相關,但并非單獨與C分解相關。研究表明高有機碳加載是DNRA優于反硝化的前提,但N2生產在高溫下仍可能顯著。
研究目的
研究目的是通過實驗方法確定有機碳和硝酸鹽加載對硝酸鹽還原途徑(特別是DNRA和N2生產)分配的影響,以彌補當前對控制這些途徑分配機制的理解不足,并揭示碳和氮加載的交互作用如何影響氮保留或損失。
研究思路
研究思路包括采集海洋沉積物,制備薄盤并分為不同處理(添加或不添加有機碳,低或高NO3加載),在控制條件下培養7周。期間監測坦克中無機氮(NH4、NO3、NO2)濃度變化,定期取樣進行15N標記小瓶實驗測量anammox、反硝化和DNRA速率。使用反應傳輸模型擬合數據,計算氮轉化速率,并分析微生物社區和功能基因。通過統計方法評估碳和NO3加載對分配的影響。
測量的數據及研究意義
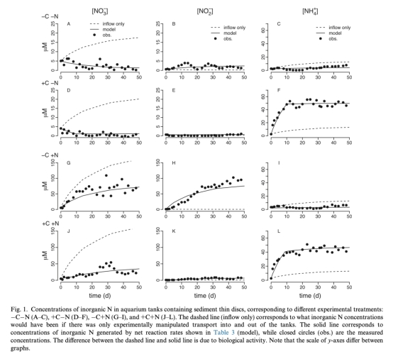
1 坦克中無機氮濃度變化數據,包括NH4、NO3和NO2濃度,來自圖1。研究意義是直接反映沉積物中氮轉化動態,顯示NO2積累或消耗指示反硝化和DNRA活性,幫助識別過程主導因素。

2 預培養小瓶中NH4生產速率數據,來自圖2和圖3。研究意義是評估有機碳分解速率,作為電子供體供應的代理,鏈接到DNRA和N2生產的分配。


3 模型擬合的氮轉化速率數據,如NO3還原、反硝化、DNRA和硝化速率,來自表3。研究意義是量化各途徑貢獻,顯示DNRA在高溫載下占主導,支持碳加載促進氮保留。

4 15N小瓶實驗中的N2生產和DNRA速率數據,來自圖5和圖6。研究意義是直接測量潛在活性,驗證模型結果,表明anammox不顯著,而DNRA和反硝化是主要途徑。


5 微生物社區結構和功能基因豐度數據。研究意義是揭示微生物機制,如特定菌群富集與分配相關,提供生物學解釋。
結論
1 DNRA和N2生產之間的分配與有機碳分解速率和NO3還原速率的比率(C/NO3)正相關,高C/NO3比率促進DNRA。
2 高有機碳加載是DNRA被優選的必要條件,但高NO3可用性下N2生產仍可能顯著,表明加載交互作用關鍵。
3 實驗支持碳加載促進氮保留通過DNRA,而氮加載可能增強損失通過反硝化,有助于預測生態系統氮平衡。
使用丹麥Unisense電極測量數據的研究意義
使用丹麥Unisense電極測量溶解N2O數據的研究意義在于,它提供了高精度的原位監測能力,能夠實時量化缺氧環境中的N2O濃度動態。在本研究中,電極用于測量坦克和小瓶中的溶解N2O(如方法部分所述),盡管論文焦點是DNRA和N2生產,但N2O作為反硝化中間產物,其測量有助于理解不完全反硝化過程。電極數據可識別N2O積累熱點,關聯到電子競爭和酶活性抑制,從而間接揭示DNRA和反硝化之間的平衡。這種測量增強了過程機制的解析,為減少溫室氣體排放提供見解,并支持模型驗證。