熱線:021-66110810,66110819
手機:13564362870

熱線:021-66110810,66110819
手機:13564362870
Dissolved inorganic carbon enhanced growth, nutrient uptake, and lipid accumulation in wastewater grown microalgal biofilms
溶解無機碳增強廢水培養微藻生物膜的生長、營養吸收和脂質積累
來源:Bioresource Technology,Volume 180, March 2015, Pages 7-15
《生物資源技術》,第 180 卷,2015 年 3 月,第 7-15 頁
摘要
這篇論文的摘要指出,研究評估了碳酸氫鹽添加對廢水處理中微藻生物膜生長、營養去除和脂質積累的影響。結果表明,在添加或不添加碳酸氫鹽的條件下,微藻生物膜的增長率、營養去除效率或脂質積累沒有顯著差異。這可能是因為培養基中存在大量溶解無機碳,未導致碳限制條件。然而,添加碳酸氫鹽的藻類生物膜光合作用速率增加,尤其在氮脅迫條件下,碳酸氫鹽對光合和呼吸速率的影響更為明顯。培養基氮耗竭并非微藻生物膜脂質生產的有效刺激因素,因此應重點優化生長和生物量生產力以補償低脂質產量并提高營養吸收。
研究目的
研究目的是評估添加溶解無機碳(以2 mM HCO3形式)對合成廢水培養基中微藻生物膜的影響,具體目標包括:增強營養耗盡培養期間藻類生物膜的成長、營養吸收和脂質積累;提高光區內的光合作用速率。
研究思路
研究思路基于在實驗室規模的旋轉藻類生物膜反應器(RABR)中培養微藻生物膜(使用Botryococcus sp.菌株),比較添加碳酸氫鹽(2 mM NaHCO3)與未添加的對照組。實驗在非無菌條件下進行,操作溫度25°C,光照周期14:10小時,水力停留時間5天,持續18天,隨后誘導氮脅迫5天。測量參數包括生物膜生長率、營養物(氮、磷)濃度、溶解無機碳、氧氣微剖面(使用Unisense微電極)、光合和呼吸速率,以及脂質含量(如游離脂肪酸、甘油三酯等),并通過統計分析和模型擬合評估碳酸氫鹽的影響。
測量的數據及研究意義
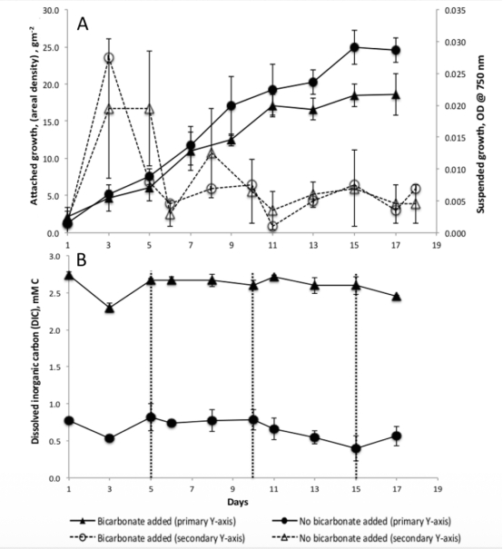
1 數據來自圖1和圖2:測量了微藻生物膜的生長曲線和生物量密度,顯示指數生長期(第3-10天)和穩定期(第10天后),最大比生長率約為0.18-0.20天?1,生物量密度達20.95-25.98 g m?2。研究意義是評估碳酸氫鹽對生物膜生長的直接影響,表明在非碳限制條件下,添加碳酸氫鹽未顯著促進生長,但為光合作用優化提供基礎。




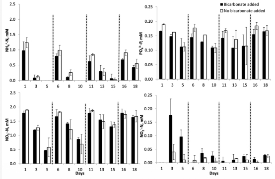
2 數據來自圖3:監測了銨、硝酸鹽、亞硝酸鹽和磷酸鹽濃度,顯示氮去除效率為27-74%(硝酸鹽)、89-100%(銨),磷去除效率為19-41%,且碳酸氫鹽添加未造成顯著差異。研究意義是驗證碳酸氫鹽對廢水營養去除的效果,強調生物膜生長階段對去除效率的關鍵作用,并揭示亞硝酸鹽積累可能源于硝化過程。


3 數據來自圖4和表1:通過氧氣微剖面測量光合和呼吸速率,例如在光照下,氮充足生物膜的峰值氧濃度高于氮脅迫生物膜,且碳酸氫鹽添加生物膜有更高氧滲透深度(1500μm vs 850μm)。研究意義是量化碳酸氫鹽對光合作用的增強效應,尤其在氮脅迫下,碳酸氫鹽可提高凈光合速率并減少呼吸,表明其能緩解環境壓力。




4 數據來自表2和圖5:分析了生物燃料前體分子(如FFA、TAG)的含量,顯示氮脅迫后提取性脂質總量從4.84-5.62%增至5.18-7.13%,但碳酸氫鹽添加未顯著改變總FAME產量。研究意義是評估碳酸氫鹽對脂質積累的誘導能力,證實氮耗竭對生物膜脂質生產刺激有限,建議聚焦生長優化。




結論
1 添加碳酸氫鹽對微藻生物膜的成長、營養去除和脂質積累無顯著影響,表明在溶解無機碳充足的系統中,碳添加并非限制因素。
2 碳酸氫鹽能增強光合作用速率,尤其在氮脅迫條件下,表現為更高氧濃度和光合效率,但對呼吸速率的影響因營養條件而異。
3 氮耗竭不是微藻生物膜脂質生產的有效刺激,未來應優先優化生長和生物量生產力,以提高整體廢水處理效率。
使用丹麥Unisense電極測量數據的研究意義
在研究中,使用丹麥Unisense的氧微電極(Clark型,尖端直徑10μm)測量了生物膜深度方向的氧氣微剖面,以評估光合和呼吸速率。這種電極提供高空間分辨率(100μm間隔)的數據,能準確捕捉光暗轉換下的氧氣動態,如通過光暗移位技術計算總光合作用速率。研究意義在于,Unisense電極的精確測量揭示了碳酸氫鹽添加如何改變生物膜的氧分布:在氮脅迫下,添加碳酸氫鹽的生物膜顯示更高氧滲透深度和凈光合速率,表明碳酸氫鹽可通過提供無機碳源增強光合效率,并減少光呼吸。這有助于理解微藻生物膜在廢水處理中的碳利用機制,并為優化光合作用控制提供實證基礎,最終支持生物膜系統的可持續應用。電極數據還驗證了模型假設,如穩態氧分布,增強了實驗結果的可信度。