熱線:021-66110810,66110819
手機:13564362870

熱線:021-66110810,66110819
手機:13564362870
Influence of dissolved oxygen concentration on the start-up of the anammox-based process: ELAN
溶解氧濃度對厭氧氨氧化工藝啟動的影響:ELAN
來源:Water Science & Technology, Volume 72, Issue 4, 2015, Pages 520-527
《水科學與技術》,第72卷第4期,2015年,第520-527頁
摘要
這篇論文摘要指出,研究比較了在兩個不同溶解氧(DO)濃度下啟動的ELAN®工藝(一種anammox基自養脫氮工藝)的表現。SBR-1在DO為0.4 mg O2/L下啟動,SBR-2在DO為3.0 mg O2/L下啟動。盡管兩個反應器都達到了約0.6 g N/(L·d)的氮去除率,但生物量形態差異顯著:SBR-1中顆粒生物量較少,顆粒直徑僅1.1 mm;SBR-2中生物量主要以顆粒形式存在,平均直徑達3.2 mm。氧微剖面分析顯示,SBR-2的顆粒需要更高DO(8 mg O2/L)才能完全氧滲透,而SBR-1的顆粒在1 mg O2/L下即被氧滲透。這表明高DO促進厚層氨氧化細菌(AOB)生長,保護anammox細菌免受不利條件影響。
研究目的
研究目的是探討溶解氧濃度對anammox基工藝ELAN®啟動過程的影響,重點分析DO如何調節生物量顆粒化、氮去除性能以及顆粒內部微生物結構,以優化工藝穩定性和效率。
研究思路
研究思路基于在兩個中試規模序批式反應器(SBR)中啟動ELAN®工藝,SBR-1和SBR-2分別控制在低DO(0.4 mg O2/L)和高DO(3.0 mg O2/L)條件下運行。通過比較7個月運行期間的氮去除率、生物量濃度、顆粒大小、沉降特性以及氧微剖面(使用丹麥Unisense電極測量),結合微生物群落分析(FISH),評估DO對顆粒形成和工藝性能的影響。關鍵是通過控制HRT和DO來避免銨和亞硝酸鹽限制,并利用電導率變化監控反應進程。
測量的數據及研究意義
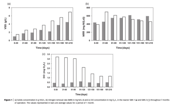
1 數據來自圖1:測量了生物量濃度(VSS)、氮去除率(NRR)和DO濃度隨時間變化。例如,SBR-1生物量從1.0 g VSS/L增至4.5 g VSS/L,SBR-2從0.7 g VSS/L增至7.0 g VSS/L,NRR均達0.6 g N/(L·d)。研究意義是顯示不同DO下生物量積累和氮去除效率相似,但生物量形態差異顯著,表明DO影響顆?;腔救コ芰?。

2 數據來自圖2:測量了anammox氮去除率、氨氧化率、亞硝酸鹽氧化率及AOB/anammox比率。例如,SBR-2的AOB/anammox比率接近理想值0.637。研究意義是驗證DO能調節AOB和anammox活性平衡,高DO促進AOB生長,從而優化工藝 stoichiometry。

3 數據來自圖3:測量了比空氣通量和顆粒平均直徑。SBR-2顆粒直徑達2.3 mm,而SBR-1為1.1 mm。研究意義是表明高DO促進大顆粒形成,增強沉降性,提高系統穩定性。

4 數據來自圖4:通過氧微剖面測量顆粒內部氧滲透深度。SBR-1顆粒在低DO(1 mg O2/L)下氧滲透150μm,SBR-2顆粒需高DO(8 mg O2/L)才完全滲透。研究意義是揭示DO控制顆粒內部好氧/缺氧區分布,影響AOB和anammox空間定位,從而決定工藝魯棒性。

5 數據來自微生物分析:通過FISH測量微生物群落,SBR-2中AOB占比高達20%,anammox細菌(Brocadia fulgida)占65-75%。研究意義是證實高DO增強AOB外層厚度,保護內部anammox細菌,提高系統抗擾動能力。
結論
1 不同DO濃度(0.4 vs 3.0 mg O2/L)下啟動的ELAN®工藝都能達到相似氮去除率(0.6 g N/(L·d)),但DO顯著影響生物量形態,高DO促進大顆粒形成(直徑2.3 mm),低DO導致絮體為主。
2 DO通過調節氧滲透深度控制顆粒內部結構,高DO下AOB外層增厚,提供更穩定缺氧核心,保護anammox活性,增強工藝魯棒性。
3 氧微剖面和微生物分析表明,DO是優化anammox基工藝啟動的關鍵參數,可用于調控微生物空間分布和工藝性能。
使用丹麥Unisense電極測量數據的研究意義
在研究中,使用丹麥Unisense的Clark型氧微電極(OX-10模型)測量了顆粒內部的氧微剖面,提供了高空間分辨率的溶解氧分布數據。這種電極能精確探測顆粒不同深度的氧濃度,例如顯示SBR-2顆粒在低DO下氧滲透淺(50-150μm),需高DO(8 mg O2/L)才完全滲透。研究意義在于,這些數據直接揭示了DO對顆粒內部好氧/缺氧微環境的調控機制:高DO促進AOB在外層形成厚保護層,防止氧抑制內部anammox細菌,從而解釋了大顆粒在高壓DO下的優越性能。此外,微剖面數據驗證了數學模型,幫助理解質量傳遞限制對工藝的影響,為優化反應器設計和DO控制策略提供了實驗依據,增強了anammox工藝在實際應用中的可靠性和效率。