熱線:021-66110810,66110819
手機:13564362870

熱線:021-66110810,66110819
手機:13564362870
Minimization of nitrous oxide emission from CASS process treating low carbon source domestic wastewater: Effect of feeding strategy and aeration rate
處理低碳源生活污水的CASS工藝中一氧化二氮排放的最小化:進料策略和曝氣速率的影響
來源:Bioresource Technology, Volume 198, 2015, Pages 172-180
《生物資源技術》,第198卷,2015年,172-180頁
摘要
摘要部分闡述了通過改進操作條件如有機碳供應和溶解氧,可以減少廢水處理過程中的一氧化二氮(N2O)排放。本研究評估了在低碳源生活污水處理中,循環活性污泥系統(CASS)在不同進料策略和曝氣速率下的N2O排放控制參數。結果表明,與批式進料相比,連續進料提高了總氮去除效率并減少了N2O排放,同時檢測到更高的N2O還原菌豐度。N2O主要產生于批式進料CASS的非曝氣階段,而連續進料減少了反硝化產生的N2O量,表明連續進水中的碳源緩解了非曝氣階段反硝化還原酶之間的電子競爭。此外,基于高通量16S rRNA基因測序的分類學分析揭示了連續進料CASS中反硝化細菌尤其是N2O還原菌的豐度更高。
研究目的
研究目的是評估在低碳源生活污水處理過程中,通過改變進料策略和曝氣速率等操作參數來控制CASS工藝中N2O排放的影響,以找到減少溫室氣體排放并保持高效氮去除的最佳操作條件。
研究思路
研究思路包括在實驗室規模的CASS反應器中比較兩種進料策略(批式進料和連續進料)和四種曝氣速率(20、30、40、50 L/h),運行穩定后測量污染物去除效率、N2O排放特性(使用丹麥Unisense電極測量氣體和液體中的N2O濃度),并通過高通量16S rRNA基因測序分析微生物群落結構,以揭示操作條件對N2O排放的機制影響。
測量的數據及研究意義
1 N2O排放率和溶解N2O濃度數據,來自圖4。研究意義是直接量化N2O排放動態,顯示連續進料和較高曝氣速率減少N2O排放,有助于優化操作參數以最小化溫室氣體排放。

2 氮化合物(銨離子、亞硝酸鹽、硝酸鹽、總氮)和化學需氧量(COD)濃度數據,來自圖2和圖3。研究意義是評估污染物去除效率,表明連續進料提高氮去除,并關聯N2O排放與過程性能,為工藝改進提供依據。


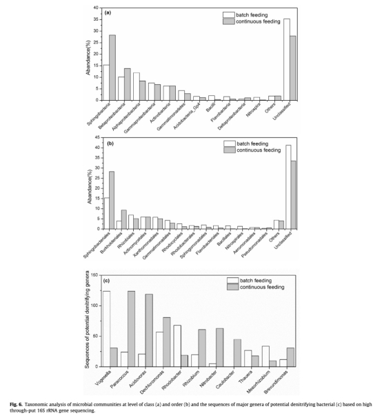
3 微生物群落豐度和組成數據,來自圖5和圖6。研究意義是揭示反硝化細菌和N2O還原菌的分布,解釋連續進料富集有益菌群,從而減少N2O產生,支持微生物生態在排放控制中的作用。


4 污染物去除性能和N2O轉換率數據,來自表1。研究意義是綜合比較不同操作條件下的效率,證明連續進料和較高曝氣速率在減少N2O排放的同時保持高去除率,指導實際工程應用。

結論
1 連續進料策略比批式進料更有效地減少N2O排放并提高總氮去除效率,歸因于持續碳源供應緩解了電子競爭。
2 較高曝氣速率降低N2O排放,但由于抑制硝化菌反硝化,但需平衡能源消耗和去除效率。
3 微生物分析顯示連續進料富集更多反硝化細菌和N2O還原菌,如Comamonadaceae等,這有助于最小化N2O生成并增強氮去除。
使用丹麥Unisense電極測量數據的研究意義
使用丹麥Unisense電極測量N2O數據的研究意義在于,它提供了高精度的原位監測能力,能夠實時量化氣體和液體相中的N2O濃度,從而準確評估CASS工藝在不同操作條件下的排放特性。在本文中,電極數據(來自圖4)揭示了N2O排放主要發生在曝氣階段,并顯示連續進料減少了解溶解N2O積累,這有助于識別排放源(如反硝化過程),并驗證操作策略的有效性。通過精確測量,電極數據將N2O排放與進料策略和曝氣速率直接關聯,為優化廢水處理工藝、減少碳足跡提供了可靠依據,并支持了溫室氣體減排策略的制定。