熱線:021-66110810,66110819
手機:13564362870

熱線:021-66110810,66110819
手機:13564362870
Impact of in-sewer transformation on 43 pharmaceuticals in a pressurized sewer under anaerobic conditions
厭氧條件下加壓下水道中43種藥品的下水道內轉化影響
來源:WATER RESEARCH, Volume 68, 2015, Pages 98-108
《水研究》,第68卷,2015年,98-108頁
摘要
摘要闡述了研究評估了43種藥品和2種布洛芬代謝物在加壓下水道管道入口和出口的濃度,以評估下水道過程是否影響藥品濃度。目標化合物濃度范圍從低ng/L到幾μg/L,與當地市政廢水常見范圍一致。大多數化合物在兩個采樣點間的濃度變化可忽略(-10%到10%)。地爾硫卓、西酞普蘭、克拉霉素、苯扎貝特和氨氯地平在管道通過期間濃度減少25-60%。磺胺甲惡唑(-66±15%)和厄貝沙坦(-58±25%)計算出負去除,可能由于結合物轉化回母體化合物。結果表明藥品的微生物轉化在下水道中開始,但程度因化合物而異。因此,在污水流行病學中,當使用藥品濃度估計人均消費時,應評估下水道內轉化。
研究目的
研究目的是評估加壓下水道管道中藥品的發生和生物轉化程度,特別是在厭氧條件下,以確定下水道過程是否顯著影響藥品濃度,從而完善污水流行病學中對藥品消費的估計,并理解下水道作為生物反應器的作用。
研究思路
研究思路包括選擇西班牙圣佩雷佩斯卡多爾的一個長7620米、內徑500毫米的加壓下水道管道,在入口(泵站)和出口(污水處理廠入口)連續5天采集24小時復合水樣。采樣考慮水力停留時間(HRT約21小時),延遲出口采樣以匹配入口水流。使用固相萃取和液相色譜-質譜聯用分析43種藥品和2種代謝物濃度,同時測量環境參數如硫化物、化學需氧量、懸浮固體等。通過比較入口和出口濃度變化計算去除率,并評估不確定性和微生物活動指標。
測量的數據及研究意義
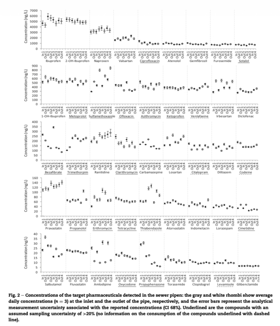
1 藥品濃度數據,包括43種藥品和2種布洛芬代謝物在入口和出口的每日平均濃度,來自圖2。研究意義是直接量化藥品在下水道中的存在和變化,顯示大多數化合物濃度穩定,為污水流行病學提供基線數據,并揭示個別化合物如磺胺甲惡唑的負去除可能指示結合物轉化。

2 硫化物濃度數據,顯示入口和出口的H2S濃度變化,來自圖3。研究意義是驗證下水道厭氧微生物活動,硫化物增加表明生物膜活性,支持藥品轉化可能由微生物過程驅動。

3 藥品去除率數據,計算為入口到出口的濃度變化百分比,包括平均、最小和最大值,來自圖4。研究意義是識別易轉化或穩定的藥品,如地爾硫卓等顯示高去除,而磺胺甲惡唑顯示負去除,有助于選擇污水流行病學中的穩定標記物。

4 方法性能數據,如方法定量限、基質效應、回收率等,來自表1。研究意義是確保分析可靠性,支持濃度數據的準確性,減少測量不確定性對結論的影響。

5 環境參數數據,如pH、溫度、溶解氧、化學需氧量等,使用便攜式探頭包括Unisense電極測量。研究意義是表征下水道條件,確認厭氧環境,為生物轉化提供上下文。
結論
1 大多數藥品在加壓下水道中的濃度變化可忽略(-10%到10%),表明下水道過程對它們影響小,可用于污水流行病學作為穩定標記。
2 部分藥品如地爾硫卓、西酞普蘭等顯示顯著去除(25-60%),而磺胺甲惡唑和厄貝沙坦顯示負去除(濃度增加),可能由于結合物轉化回母體化合物。
3 下水道作為生物反應器,其厭氧條件促進某些藥品轉化,但轉化程度因化合物而異,需在估計藥品消費時考慮下水道轉化。
使用丹麥Unisense電極測量數據的研究意義
使用丹麥Unisense電極測量環境參數數據的研究意義在于,它提供了高精度的原位監測能力,能夠實時量化下水道中的關鍵物理化學條件,如溶解氧(DO)、溫度、pH和電導率。在本文中,Unisense電極(型號YSI Digital Pro)用于測量這些參數(如文檔2.3節所述),這些數據雖未直接用于藥品分析,但至關重要地驗證了下水道的厭氧環境(DO低),支持了微生物轉化活動的存在。例如,低DO濃度確認了厭氧條件,這與硫化物增加(圖3)和藥品轉化數據一致,增強了生物過程驅動的結論可靠性。此外,溫度和pH數據有助于控制變量,確保轉化結果不受環境波動混淆。這種測量提升了整體數據質量,為下水道作為生物反應器的角色提供了實證基礎,并支持污水流行病學中環境因素的控制。