熱線:021-66110810,66110819
手機:13564362870

熱線:021-66110810,66110819
手機:13564362870
The Evaluation and Quantitation of Dihydrogen Metabolism Using Deuterium Isotope in Rats
使用氘同位素評估和定量大鼠中二氫代謝
來源:PLoS ONE. 10(6): e0130687, 2015
《公共科學圖書館:綜合》,第10卷第6期,文章編號e0130687, 2015年
摘要
這篇論文研究了分子氫(H2)作為抗氧化劑在體內的代謝特性。使用氘氣(D2)作為代謝示蹤劑,通過腹腔注射給大鼠,并測定體水中的氘富集程度,以量化氫的氧化代謝。在生理條件下,約10%的氫被氧化,證明其抗氧化特性。缺氧或內毒素應用未產生顯著影響,而純氧吸入減少了氘氧化。體外實驗顯示,氫能顯著減少線粒體復合物I產生的超氧陰離子。研究討論了氫的益處機制,強調鐵硫簇在活性氧物種生成中的作用以及鐵物種與氫的相互作用。結論是氫可能是一種高效、無毒、高生物利用度且低成本的抗氧化劑補充劑。
研究目的
研究目的是量化氫在哺乳動物體內的代謝參數,并評估其作用機制。由于氫作為抗氧化劑在近年來受到關注,但其體內定量數據缺乏,且需要一種合適的方法來測定氫在不同條件下的效果。研究旨在通過氘示蹤技術,揭示氫的抗氧化特性及其分子機制,為氫在氧化應激相關病理條件下的應用提供依據。
研究思路
研究思路結合體內和體外實驗。體內實驗使用Wistar大鼠,腹腔注射氘氣作為示蹤劑,分組處理:對照組(正常氧)、炎癥組(內毒素誘導)、高氧組(純氧)和低氧組(缺氧)。通過測定體水中的氘富集和組織中的氘濃度,評估氫的氧化率。使用丹麥Unisense氫針傳感器電極測量氘濃度,并通過同位素比率質譜分析氘富集。體外實驗使用牛心亞線粒體顆粒,評估氫對復合物I超氧陰離子產生的影響。數據分析包括統計比較不同條件下的氧化率,并討論氫的抗氧化機制。
測量的數據及研究意義
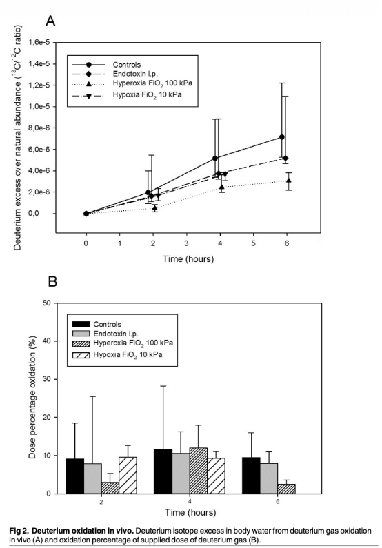
1. 體內氘氧化率:通過測定體水中的氘同位素過剩(來自Table 1和Fig 2),顯示在生理條件下,約10%的氘被氧化。高氧組氧化率顯著降低,而缺氧和炎癥組無顯著變化。研究意義在于首次定量證明了氫在體內被氧化,支持其作為抗氧化劑的角色,并表明氧化率受環境氧濃度影響,可能涉及鐵介導的機制。數據來自Table 1和Fig 2。


2. 組織氘濃度:使用Unisense電極測量腹膜和肝臟中的氘濃度,顯示局部高濃度(腹膜355±114 μmol/l,肝臟244±36 μmol/l),但外周血中未檢測到。研究意義在于揭示了氫的分布和藥代動力學,表明腹腔給藥可避免肺首過效應,確保氫持續供應到組織,為給藥途徑優化提供參考。
3. 體外超氧陰離子產生率:通過亞線粒體顆粒實驗(來自Fig 3),顯示氫存在下,超氧陰離子產生從2.33±0.19 nmol·min?1·mg?1顯著降低至1.57±0.25 nmol·min?1·mg?1。研究意義在于證明氫能直接減少線粒體ROS生成,可能通過影響復合物I的鐵硫簇,而非僅與羥基自由基直接反應,這深化了對氫抗氧化機制的理解。

結論
研究證明氫在體內具有顯著的抗氧化特性,約10%的氫被氧化,類似其他抗氧化劑如尿酸。高氧條件降低氫氧化,而缺氧和炎癥無顯著影響,機制可能涉及鐵物種相互作用而非直接與羥基自由基反應。氫能減少線粒體超氧陰離子產生,支持其作為線粒體靶向抗氧化劑。氫是一種安全、高效、生物利用度高的補充劑,適用于ROS相關病理狀態,如缺血再灌注損傷。
使用丹麥Unisense電極測量數據的研究意義
使用丹麥Unisense氫針傳感器電極測量氘濃度數據的研究意義在于提供了直接、定量的體內氫代謝監測方法。該電極基于安培法Clark原理,能準確測量組織和血液中的氫分壓。研究中,電極用于測定腹膜和肝臟等局部的氘濃度,結果顯示高局部濃度但外周血中缺失,這揭示了氫的代謝動力學:腹腔給藥后,氫主要通過肺首過效應消除,而局部組織保留較高濃度,證實了腹腔給藥的優越性。電極測量還補償了氘的同位素效應(速率常數比氫低1.15倍),使數據更準確,避免了低估氫的氧化率。這方法的意義是實現了氫代謝的實時定量,彌補了既往技術靈敏度不足的缺陷(如1994年研究檢測限過高),為氫的抗氧化效價評估提供了可靠工具。此外,結合體水氘富集數據,電極測量幫助明確了氫的氧化途徑,支持氫通過鐵介導機制(如ferryl物種還原)發揮抗氧化作用,而非單純自由基清除,這為氫的臨床應用(如吸入療法)提供了實驗依據。