熱線:021-66110810,66110819
手機:13564362870

熱線:021-66110810,66110819
手機:13564362870
Exosomes from human mesenchymal stem cells conduct aerobic metabolism in term and preterm newborn infants
人骨髓間充質干細胞來源的外泌體可調控足月兒與早產兒的有氧代謝過程
來源:The FASEB Journal, Volume 30, April 2016
《美國實驗生物學會聯合會會志》,第30卷,2016年4月
摘要
摘要部分闡述了來自人類臍帶間充質干細胞(MSC)的外泌體具有進行有氧代謝的能力,包括消耗氧氣和合成ATP。研究發現,足月新生兒(≥37周)的外泌體表現出完整的有氧呼吸功能,而早產新生兒(28-30周)的外泌體雖然能消耗氧氣,但ATP合成能力缺失,表明外泌體的代謝功能與妊娠年齡相關,這可能解釋了外泌體修復受損組織的能力以及早產新生兒的臨床脆弱性。
研究目的
研究目的是驗證外泌體是否具有線粒體外的有氧呼吸能力,并比較足月和早產新生兒的外泌體在氧化磷酸化(OXPHOS)方面的差異,以揭示外泌體在能量代謝中的作用及其與新生兒發育的關系。
研究思路
研究思路包括從足月和早產新生兒的臍帶間充質干細胞(MSC)中分離外泌體,通過動態光散射和流式細胞術表征外泌體的大小和標記物(如CD9、CD63、CD73)。然后,使用生物化學方法測量氧消耗速率、ATP合成、電子傳遞鏈活性和膜電位,并通過Western blot分析呼吸鏈蛋白的表達。研究還利用丹麥Unisense電極進行氧消耗測量,以量化外泌體的呼吸活性。
測量的數據及研究意義
1. 外泌體大小和標記物表達數據:通過動態光散射和流式細胞術測量,顯示外泌體直徑約為100-120納米,并表達CD9、CD63等標記物,但早產外泌體的CD73表達更高。研究意義是確認外泌體的純度和特性,表明早產外泌體可能具有不同的酶活性,數據來自圖2。

2. 氧消耗速率數據:使用丹麥Unisense電極測量,顯示外泌體在NADH和琥珀酸存在下消耗氧氣,足月外泌體的氧消耗速率高于早產外泌體,且能被魚藤酮和抗霉素A抑制。研究意義是證明外泌體具有功能性的電子傳遞鏈,支持其線粒體外有氧呼吸能力,數據來自圖3和表1。


3. ATP合成數據:通過發光法測量,顯示足月外泌體能合成ATP,而早產外泌體不能,且在尼日利亞菌素存在下ATP合成受損。研究意義是揭示外泌體的能量產生能力與妊娠年齡相關,早產外泌體可能存在解偶聯,數據來自圖3。
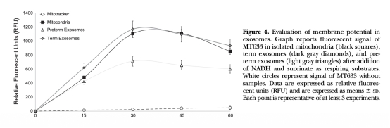
4. 膜電位數據:使用Mitotracker 633測量,顯示外泌體具有膜電位,足月外泌體與線粒體相似,而早產外泌體較低。研究意義是證實呼吸鏈產生質子梯度,支持氧化磷酸化的功能性,數據來自圖4。

5. 蛋白質表達數據:通過Western blot分析,顯示外泌體表達復合物I、IV和ATP合酶亞基,足月外泌體表達更高。研究意義是證明外泌體含有與線粒體相似的呼吸鏈蛋白,支持其代謝功能,數據來自圖5。

結論
1. 外泌體具有線粒體外的有氧代謝能力,能消耗氧氣并進行氧化磷酸化。
2. 足月新生兒的外泌體比早產外泌體更成熟,能合成ATP,而早產外泌體功能不全。
3. 這種代謝差異可能解釋了外泌體在組織修復中的作用以及早產新生兒的臨床脆弱性。
使用丹麥Unisense電極測量數據的研究意義
使用丹麥Unisense電極測量的數據是氧消耗速率(OCR),通過微呼吸測定系統在封閉腔中進行。這些數據的研究意義在于直接量化了外泌體的呼吸活性,證明其具有功能性的電子傳遞鏈,能夠進行線粒體外的氧化磷酸化。測量顯示,外泌體在NADH和琥珀酸存在下消耗氧氣,且速率能被特異性抑制劑(如魚藤酮和抗霉素A)抑制,這證實了呼吸鏈的完整性。此外,足月外泌體的OCR高于早產外泌體,表明代謝能力與發育階段相關。這些數據支持了外泌體作為能量載體在細胞修復中的作用,為理解其治療潛力提供了關鍵證據,例如在缺血組織中恢復ATP水平。