熱線:021-66110810,66110819
手機:13564362870

熱線:021-66110810,66110819
手機:13564362870
High ammonium availability amplifies the adverse effect of low salinity on eelgrass Zostera marina
高銨可用性放大了低鹽度對大葉藻的不利影響
來源:Marine Ecology Progress Series, Volume 536, 2015, pages 149-162
《海洋生態進展系列》,第536卷,2015年,第149-162頁
摘要
摘要闡述了氣候變化加劇降雨事件頻率和強度,增加淡水和營養鹽輸入沿海地區,從而降低鹽度并增加營養可用性,影響河口大葉藻種群。研究調查了增加銨(NH4+)水平和低鹽度對大葉藻的交互影響,通過微宇宙實驗在多種NH4+富集(0、10和25μM)和鹽度(5、12.5和20)組合下培養大葉藻。增加NH4+在環境鹽度(20)下對大葉藻性能有正面影響,表現為色素、光合作用和生長變量增加,儲存碳濃度(蔗糖和淀粉)下降。低鹽度對植物適應性有總體負面影響,色素濃度、光合作用和生長降低,死亡率增加。低鹽度暴露還導致蔗糖減少,表明其被用作滲透調節劑或光合作用無法滿足能量需求。同時暴露于高NH4+和低鹽度將NH4+的正面效應轉為強負協同效應,多個生長相關變量顯著受影響,死亡率大幅增加。研究表明這種同時暴露加劇了能量和碳骨架競爭,負面影響其他代謝過程。結果提示氣候變化驅動的降水和NH4+負荷變化可能嚴重影響河口大葉藻群落。
研究目的
研究目的是調查低鹽度和高銨(NH4+)可用性對大葉藻的交互影響,測試低鹽度是否增強NH4+富集的負面影響。旨在理解氣候變化下鹽度和營養負荷變化如何協同影響大葉藻適應性,并區分單獨和組合應激源的效應。
研究思路
研究思路是進行雙因子實驗,使用大葉藻在可控微宇宙中培養,設置3個NH4+水平(0、10和25μM)和3個鹽度水平(5、12.5和20),每個處理組合3個重復。實驗持續4周,測量生理和形態響應變量,包括光合速率、呼吸速率、葉綠素熒光、生長率、死亡率、營養吸收率和生化參數(如色素、碳水化合物、離子濃度)。使用統計方法(如PERMANOVA)分析數據,評估主效應和交互作用,并通過相對響應比檢驗協同效應。
測量的數據及研究意義
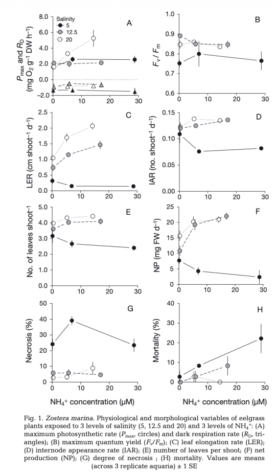
1 光合速率和呼吸速率:通過氧微電極測量O2生產和消耗,計算最大凈光合速率(Pmax)和暗呼吸速率。研究意義是評估光合效率和能量代謝,反映植物碳平衡。數據來自圖1A和表2。


2 葉綠素熒光和量子產量:使用PAM熒光法測量PSII最大量子產量(Fv/Fm)。研究意義是檢測光系統II效率,指示光脅迫程度。數據來自圖1B和表2。
3 生長變量:包括葉伸長率(LER)、節間出現率(IAR)、每株葉數、凈生產量(NP)。研究意義是量化生長性能,反映脅迫對生物量積累的影響。數據來自圖1C、1D、1E、1F和表2。
4 死亡率和壞死:記錄植物死亡率和葉片壞死程度。研究意義是評估脅迫的生存代價。數據來自圖1G、1H和表2。
5 營養吸收率:測量NH4+和PO43-吸收率,使用擾動法。研究意義是理解營養攝取能力變化,關聯代謝需求。數據來自圖2和表2。

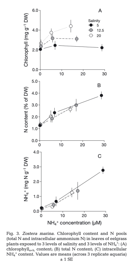
6 生化參數:包括葉綠素a+b含量、總氮含量、細胞內離子濃度(Na+、K+、Cl-)、碳水化合物(蔗糖和淀粉)濃度。研究意義是揭示代謝基礎,如色素合成、離子平衡和碳儲存。數據來自圖3、圖4、圖5和表4、表5。





結論
結論是低鹽度對大葉藻性能有強負面影響,而高NH4+在環境鹽度下正面影響生長,但結合低鹽度時產生負協同效應,導致生長變量降低和死亡率增加。這種協同效應源于能量和碳骨架競爭,加劇代謝壓力。結果提示氣候變化下鹽度和NH4+負荷變化可能協同威脅河口大葉藻群落。
使用丹麥Unisense電極測量數據的研究意義
使用丹麥Unisense電極(Clark型O2微電極,型號OX-500)測量氧濃度數據的研究意義在于提供高精度和實時監測光合速率和呼吸速率。電極連接到pico-amperometer和數據記錄器,在透明腔體中測量O2變化,計算電子傳遞率。這種技術允許非侵入式測量活體植物的氧通量,精度高,誤差低,支持準確評估光合效率及其對脅迫的響應。在本研究中,Unisense電極揭示了低鹽度和高NH4+下光合速率的變化,如Pmax在鹽度20時隨NH4+增加而上升,但在低鹽度下無影響,凸顯了交互作用的代謝基礎。高靈敏度電極還能檢測細微氧變化,驗證了脅迫下能量平衡失調,為理解協同效應提供了關鍵數據。