熱線:021-66110810,66110819
手機:13564362870

熱線:021-66110810,66110819
手機:13564362870
High resistance of oligotrophic isoetid plants to oxic and anoxic dark exposure
貧營養水韭型植物對有氧及無氧黑暗環境的高抗性
來源:Freshwater Biology, Volume 60, 2015, pages 1044-1051
《淡水生物學》,第60卷,2015年,第1044-1051頁
摘要
摘要闡述了寡營養軟水湖中的小型蓮座植物,如Lobelia dortmanna和Littorella uniflora,具有高滲透性根表面,允許從沉積物中吸收CO2進行光合作用,但這也增加了植物在沉積物夜間缺氧時缺氧的風險。研究假設這些植物對組織缺氧有相對耐受性,且L. dortmanna比L. uniflora更耐受,因為L. dortmanna的不透水葉表面防止從水中吸收氧氣,導致夜間組織缺氧風險更高。結果表明,兩種物種在氧化黑暗條件下8天不受影響,在缺氧黑暗條件下5天存活率較高(所有L. dortmanna個體和60%的L. uniflora個體存活)。缺氧減少了呼吸,降低了PSII量子效率,并減少了恢復期的生長。L. uniflora比L. dortmanna更受影響。總體而言,兩種物種對黑暗和缺氧有高耐受性,可能由于固有低呼吸維持成本。
研究目的
研究目的是測試isoetid植物對黑暗和缺氧的耐受性,特別是比較Lobelia dortmanna和Littorella uniflora的差異,并探討它們的代謝適應機制。研究旨在驗證這些植物盡管偏好原始富氧棲息地,但可能對組織缺氧有相對耐受性,且物種間耐受性差異與葉滲透性相關。
研究思路
研究思路包括三個實驗:首先測量有氧和無氧呼吸率,使用離體根和葉在氧化和缺氧湖水中黑暗培養24小時,計算O2消耗和CO2釋放。其次進行耐受性實驗,將整株植物暴露于氧化或缺氧黑暗條件下最多8天,隨后立即測量光合作用、呼吸和PSII量子效率。最后進行生存和恢復實驗,評估植物在暴露后24天恢復期的生存、葉生長和生物量。實驗在控制溫度(20°C)和光照條件下進行,使用統計方法(如ANOVA)分析數據。
測量的數據及研究意義
1. 有氧和無氧呼吸率:通過測量O2消耗(有氧)和CO2釋放(無氧),計算呼吸率。研究意義是評估植物代謝效率和在缺氧條件下的能量生產差異,揭示物種間耐受性機制。數據來自表1。

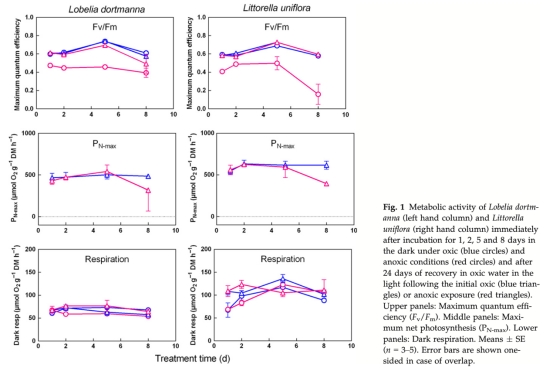
2. 光合作用和PSII量子效率:測量最大凈光合速率和Fv/Fm值,反映光系統II效率。研究意義是檢測缺氧脅迫對光合 apparatus的直接影響,指示光損傷和恢復能力。數據來自圖1。

3. 生存和生長數據:記錄植物存活率、新葉形成和葉損失,以及葉和根生物量。研究意義是量化脅迫對植物 fitness 的長期影響,評估恢復潛力。數據來自圖2。

這些數據共同幫助理解植物對缺氧的生理響應,支持物種適應策略的分析。
結論
1. 兩種isoetid植物對氧化黑暗條件有高耐受性,暴露8天不影響代謝和生存,可能由于低代謝率。
2. 植物對缺氧有顯著耐受性,但延長缺氧(如5-8天)降低PSII效率、減少生長,并增加死亡率,L. uniflora比L. dortmanna更敏感。
3. 物種差異歸因于代謝率高低和葉滲透性,L. dortmanna的低代謝貢獻其更高耐受性,而L. uniflora的葉滲透性可能幫助在短期缺氧中存活。
使用丹麥Unisense電極測量數據的研究意義
使用丹麥Unisense電極(型號OX 500)測量氧氣濃度數據的研究意義在于提供高精度和實時的O2監測,用于計算有氧呼吸率。在研究中,電極直接測量培養瓶中的O2濃度變化,從而準確量化植物呼吸消耗。這種技術允許非侵入式測量,確保數據可靠性,支持代謝率計算。例如,在耐受性實驗中,電極驗證了氧化和缺氧條件的維持,避免了實驗偏差。高靈敏度電極還能檢測細微O2變化,揭示了植物在缺氧下的代謝調節,如呼吸率降低,為理解耐受機制提供了關鍵證據。此外,電極的使用幫助區分有氧和無氧呼吸貢獻,強化了物種間差異分析,突出了低代謝在缺氧耐受中的作用。