熱線:021-66110810,66110819
手機:13564362870

熱線:021-66110810,66110819
手機:13564362870
Sensitivity of Ruppia maritima and Zostera marina to sulfide exposure
around roots
海黽草與大葉藻根系周邊硫化物暴露的敏感性響應
來源:Journal of Experimental Marine Biology and Ecology, volume 468, 2015, pages 138-145
《實驗海洋生物學與生態學雜志》,第468卷,2015年,第138-145頁
摘要
摘要闡述了在分室實驗中,通過將兩種海草(海黽草 和 大葉藻)的根部暴露于不同濃度的硫化物(H2S),而葉子保持在最佳光照和氧條件下,比較了它們對硫化物的敏感性。結果顯示,海黽草 的根部硫化物閾值較高(1.8-5.9 mM H2S),而 大葉藻 的閾值較低(0-0.5 mM H2S)。這種差異歸因于根氧泄漏(ROL)能力的不同,海黽草 具有更高的根表面積和氧泄漏率,形成氧化微屏蔽以抵抗硫化物侵入。葉子在硫化物暴露下受影響程度不同,海黽草 的葉子與根部敏感性相似,而 大葉藻 的葉子在較高濃度(1-3.5 mM H2S)才受影響。研究表明,在無其他脅迫條件下,硫化物敏感性是漸進的,但具體模式因物種而異。
研究目的
研究目的是檢測和比較 Ruppia marima 和 大葉藻 對硫化物暴露的敏感性閾值,通過控制實驗排除其他環境因素干擾,驗證以下假設:大葉藻 因根氧泄漏能力較低而更敏感;葉子比根部更不敏感于硫化物脅迫;硫化物響應是漸進的并與濃度線性相關。
研究思路
研究思路是使用分室實驗系統,將植物根部密封暴露于不同硫化物濃度(0.5-15.4 mM H2S),而葉子部分保持有氧和光照條件。實驗持續約兩周,測量植物生長參數(如葉和根數量、生物量、相對生長率)、半定量評估植物狀態(如顏色、分生組織狀態),并使用丹麥Unisense電極定期監測根室和葉室的氧濃度。通過統計比較處理組與對照組,確定敏感性閾值。實驗分五個系列進行,以覆蓋不同硫化物范圍。
測量的數據及研究意義
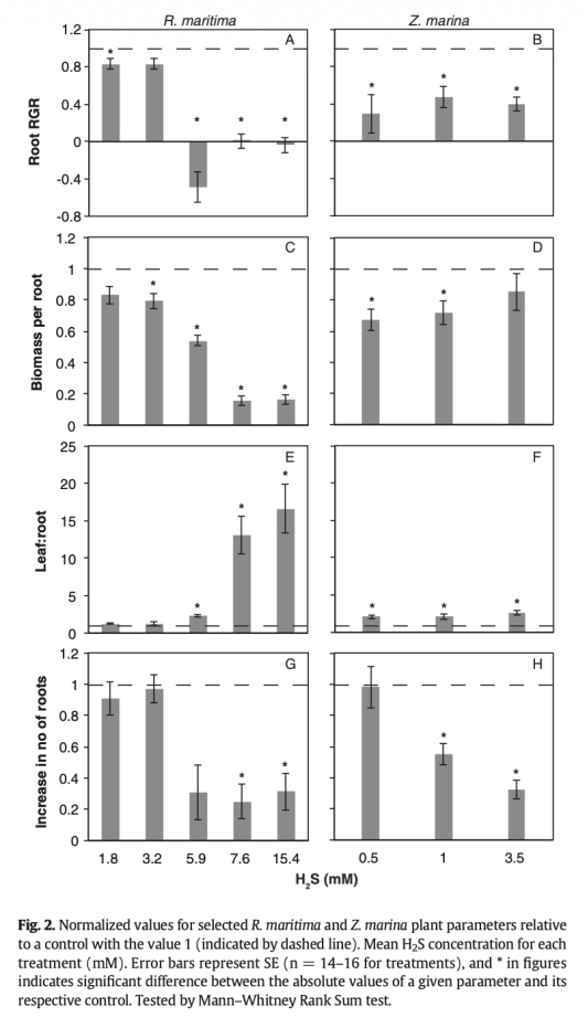
1 根部相對生長率(RGR)數據:來自表5和圖2A和2B。測量顯示,海黽草 的根部RGR在3.2-5.9 mM H2S時顯著下降,而大葉藻在0-0.5 mM H2S即受影響。研究意義:表明大葉藻對硫化物更敏感,根部生長易受抑制,這與其較低的根氧泄漏能力相關,有助于理解物種在硫化沉積物中的分布差異。


2 葉根比和生物量數據:來自表5和圖2E、2F、2C、2D。測量顯示,海黽草的葉根比在3.2-5.9 mM H2S時增加,而大葉藻在低濃度(0-0.5 mM)即變化。研究意義:反映硫化物脅迫下資源分配變化,海黽草能維持葉生長更久,提示其更好的脅迫適應性,為海草保護提供生理依據。
3 植物狀態半定量評分數據:來自表6。測量包括葉色、根色、分生組織等評分,海黽草在5.9-7.6 mM H2S時狀態惡化,大葉藻在0.5 mM以下即受影響。研究意義:直觀顯示硫化物毒性癥狀(如根尖軟化),證實根氧泄漏失效后硫化物侵入導致結構損傷,強調氧化微屏蔽的重要性。

4 氧濃度測量數據:使用丹麥Unisense電極每日監測根室氧水平。研究意義:確保實驗期間根室缺氧條件穩定,驗證硫化物暴露在可控氧環境下進行,排除氧干擾,使敏感性響應純粹歸因于硫化物。
結論
1 海黽草對硫化物敏感性閾值較高(1.8-5.9 mM H2S),而大葉藻閾值較低(0-0.5 mM H2S),差異主要由于前者根氧泄漏能力更強,形成更有效的氧化微屏蔽。
2 葉子敏感性因物種而異:海黽草葉子與根部閾值相似,而大葉藻葉子在更高濃度(1-3.5 mM H2S)才受影響,反映根透性和內部運輸距離差異。
3 硫化物響應在海黽草中是漸進的(線性相關),而大葉藻響應陡峭,提示根氧泄漏緩沖能力不同;環境脅迫(如低氧、高溫)可能降低這些閾值。
使用丹麥Unisense電極測量數據的研究意義
使用丹麥Unisense電極測量的氧濃度數據具有關鍵研究意義。這些電極提供高精度實時監測,確保了實驗過程中根室缺氧條件的穩定維持(氧濃度低于空氣飽和度的10%),從而隔離了氧變量對硫化物脅迫的影響。通過每日測量,數據驗證了葉子部分的光合作用和有氧條件持續為根部供氧,支持了根氧泄漏在形成氧化微屏蔽中的作用。電極數據還幫助量化了根周氧動態,間接證實了硫化物侵入閾值與氧可用性的負相關(如低氧促進硫化物毒性)。整體上,Unisense電極數據保證了實驗的可控性和可重復性,為準確評估物種敏感性提供了可靠環境參數,突出了氧硫交互作用在海草生態中的重要性。