熱線:021-66110810,66110819
手機:13564362870

熱線:021-66110810,66110819
手機:13564362870
Five Years of Experimental Warming Increases the Biodiversity and Productivity of Phytoplankton
五年實驗性變暖增加浮游植物的生物多樣性和生產力
來源:PLOS Biology, volume 13, issue 12, December 17, 2015, article number e1002324
《PLOS生物學》,第13卷第12期,2015年12月17日,文章編號e1002324
摘要
摘要闡述了浮游植物作為水生生態系統的關鍵組成部分,通過光合作用固定CO2并支持次級生產,但未來全球變暖如何影響其生物多樣性和相關生態系統功能知之甚少。通過五年戶外中宇宙實驗,開放于區域物種庫的自然擴散,研究變暖對浮游生物元群落結構、功能和生物多樣性的影響。變暖4°C導致浮游植物物種豐富度增加67%,豐度分布更均勻,總初級生產力更高。變暖通過增加浮游植物群落的生物多樣性和生物量間接提高生產力。變暖還系統性地改變了浮游植物的分類和功能性狀組成,偏好大型、群體性、不可食用的類群,表明更強的自上而下控制(如浮游動物捕食)起重要作用。總體表明,溫度可調節物種共存,全球變暖在某些情況下可能增加浮游植物群落的物種豐富度和生產力。
研究目的
研究目的是探討長期實驗變暖如何改變浮游生物群落的結構、生物多樣性和功能,特別是在元群落動態背景下,以填補當前對變暖影響浮游植物生物多樣性和生產力理解上的空白。重點驗證變暖是否通過改變物種共存機制(如資源競爭或捕食)影響局部生物多樣性,并評估變暖對生態系統功能(如碳固定)的直接和間接效應。
研究思路
研究思路是通過長期(五年)戶外中宇宙實驗,設置變暖處理(+4°C)和常溫對照,開放于自然擴散,以模擬元群落動態。實驗測量了浮游植物和浮游動物的分類豐富度、生物量、身體大小、群落組成(使用排序分析和零模型),以及生態系統功能指標(總初級生產力和群落呼吸)。使用路徑分析解析變暖對生態系統功能的直接(代謝速率)和間接(群落結構)影響。統計方法包括重復測量方差分析、PERMANOVA和結構方程模型。
測量的數據及研究意義
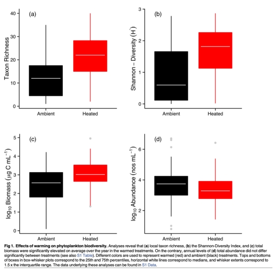
1. 浮游植物物種豐富度和多樣性:數據來自圖1。測量顯示變暖處理中物種豐富度增加67%,香農多樣性指數升高。研究意義:表明變暖促進物種共存,可能通過緩解競爭或增強擴散,挑戰了傳統認為變暖降低多樣性的觀點,為理解溫度對群落組裝的影響提供證據。

2. 浮游植物物種豐度分布和群落組成:數據來自圖2和圖3。變暖使等級豐度分布更平坦,均勻度增加;NMDS顯示分類組成顯著分離。研究意義:反映變暖改變優勢格局,確定性過程主導群落組裝,有助于理解環境過濾和生物互作在變暖下的變化。


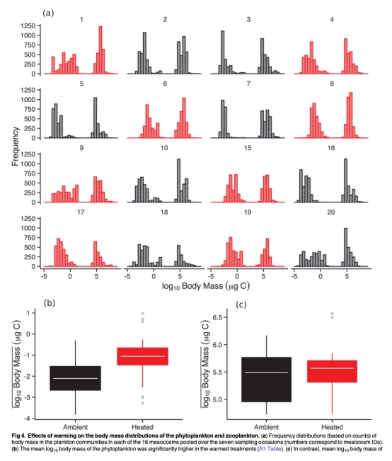
3. 浮游植物和浮游動物身體質量分布:數據來自圖4和圖5。變暖增加浮游植物平均身體質量,偏好大型類群;浮游動物無顯著變化。研究意義:表明變暖增強自上而下控制,浮游植物演化出抗捕食性狀,支持溫度調節營養級聯的假設。


4. 生態系統功能:總初級生產力和群落呼吸:數據來自圖6。變暖增加GPP,但對CR無顯著影響;路徑分析顯示變暖間接通過增加浮游植物豐富度和生物量提升GPP。研究意義:揭示變暖對生態系統功能的間接途徑,強調生物多樣性在維持生產力中的角色,對預測碳循環有啟示。

5. 營養鹽濃度和物理變量。變暖不影響溶解無機氮和磷濃度,但水溫顯著升高。研究意義:確認變暖是主要驅動因子,排除營養物混淆效應,突出溫度對生態過程的直接作用。
結論
1. 長期變暖顯著增加浮游植物物種豐富度和均勻度,通過改變群落組裝機制(如增強自上而下控制)促進物種共存。
2. 變暖間接提升總初級生產力,主要通過增加浮游植物生物多樣性和生物量實現,而群落呼吸受溫度直接影響。
3. 變暖驅動浮游植物群落向大型、抗捕食類群轉變,表明溫度調節營養互作,在開放系統中可能緩解生物多樣性喪失。
使用丹麥Unisense電極測量數據的研究意義
使用丹麥Unisense電極(Clark型氧微電極)測量的氧氣濃度數據具有關鍵研究意義。電極用于密封培養室中監測氧氣變化,以計算總初級生產力(GPP)和群落呼吸(CR)。這些數據直接量化了生態系統代謝速率,顯示變暖下GPP增加而CR無顯著變化。研究意義在于:首先,電極提供高精度、實時氧氣測量,驗證變暖對光合作用和呼吸的異速效應,支持代謝理論。其次,路徑分析中電極數據揭示變暖間接通過生物多樣性途徑提升GPP,而非直接刺激,強調了群落結構的中介作用。此外,電極測量幫助區分浮游和底棲代謝,證實變暖效應主要在浮游組分。總體而言,Unisense電極數據為理解溫度如何通過生態機制調節生態系統功能提供了實證基礎,對預測氣候變化下水生碳循環有重要價值。