熱線:021-66110810,66110819
手機:13564362870

熱線:021-66110810,66110819
手機:13564362870
Dynamics of dissolved nutrients among different macrophyte stands in a shallow lake
淺水湖泊中不同水生植物群落的溶解營養鹽動態
來源:Limnology (2015) 16:31-39
《湖沼學》 (2015) 第16卷:31-39頁
摘要
摘要闡述了季節變化機制影響溶解無機氮和可溶性活性磷的濃度,這些濃度在富營養化湖泊中不同水生植物群落(沉水植物、浮葉植物)和開闊水域之間存在差異。水生植物通過吸收營養鹽生長、減少沉積物再懸浮(從而降低營養鹽返回水體的量)以及影響反硝化作用(去除氮)來影響營養鹽循環。研究在開放水域期(4月至11月)觀察營養鹽濃度變化,并測量不同階段的反硝化率。
研究目的
研究目的是澄清不同水生植物群落中溶解無機氮和可溶性活性磷的可用性,特別關注溶解無機氮的濃度變化速度和大小的季節性差異,以及測量開闊水域中不同水生植物群落的反硝化率。假設沉水植物群落的溶解無機氮濃度和反硝化率最低,因為初級生產者和微生物之間存在強烈競爭。
研究思路
研究在淺水富營養化湖泊Kirkkojarvi進行,選擇了三個代表性站點:沉水植物站(以Myriophyllum verticillatum為主)、浮葉植物站(以Nuphar lutea為主)和開闊水域站。從4月到11月,以2-4周間隔監測水生植物覆蓋度、水柱參數(溫度、pH、氧氣、營養鹽濃度)和沉積物參數(反硝化率、氧氣滲透深度、有機質含量)。使用統計方法分析站點間差異,重點比較營養鹽動態和反硝化過程。
測量的數據及研究意義
1. 水生植物覆蓋度(PVI):數據來自表1。研究意義:量化植物群落季節性發展,顯示沉水植物在8月達到最高覆蓋度(75%),浮葉植物在7月達到最高(43%),這有助于解釋營養鹽吸收和再懸浮抑制的時空變化。

2. 水柱參數:包括水溫、pH、氧氣濃度和葉綠素a濃度,數據來自表2和圖2。研究意義:揭示站點間環境差異,如沉水植物站氧氣濃度較低、葉綠素a濃度較高,表明植物影響水柱混合和光合作用,從而影響營養鹽循環。


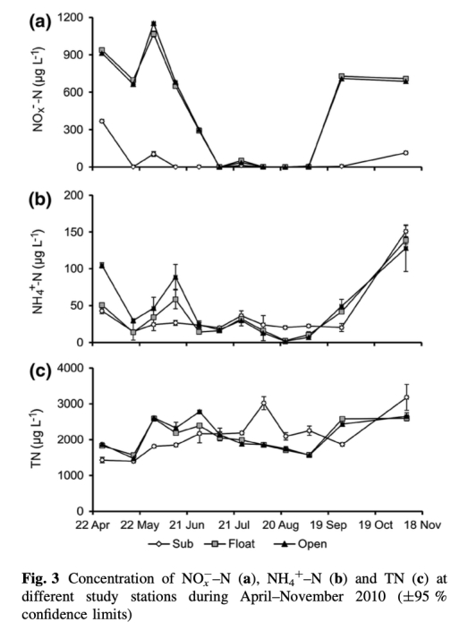
3. 營養鹽濃度:包括NOx-N、NH4+-N、總氮、SRP和總磷,數據來自圖3和圖4。研究意義:顯示沉水植物站NOx-N濃度下降最快(夏季耗盡),SRP濃度較低,表明沉水植物直接吸收營養鹽并抑制再懸浮,而浮葉植物站與開闊水域相似,突出植物生活型對營養鹽動態的影響。


4. 沉積物參數:包括反硝化率、氧氣滲透深度和表面沉積物有機質含量(LOI),數據來自表3。研究意義:反硝化率在浮葉植物站最高(平均4.29 mg N m-2 d-1),沉水植物站最低(平均1.48 mg N m-2 d-1),表明硝酸鹽可用性限制反硝化;氧氣滲透深度在開闊水域最深,反映沉積物氧化狀態影響營養鹽轉化。

結論
1. 季節營養鹽動態在湖濱帶不同區域存在差異:沉水植物通過直接吸收和抑制再懸浮降低磷濃度,并加速NOx-N消耗。
2. 反硝化作用在沉水植物群落最慢,主要受硝酸鹽可用性限制,而在浮葉植物和開闊水域較高,溫度和有機質含量影響次之。
3. 植物群落結構變化對湖泊營養鹽循環有顯著影響,沉水植物促進氮去除但限制反硝化,而浮葉植物更依賴沉積物營養。
使用丹麥Unisense電極測量數據的研究意義
使用丹麥Unisense電極測量了沉積物中氧氣的滲透深度(數據來自表3),這在研究中具有重要研究意義。具體而言,電極測量顯示開闊水域站的氧氣滲透深度最大(8月2.3毫米,11月6.3毫米),而沉水植物站最低(8月1.2毫米,11月2.3毫米),這直接反映了沉積物的氧化還原狀態。研究意義在于:首先,氧氣滲透深度數據幫助量化了沉積物-水界面的氧化條件,表明沉水植物群落由于有機質含量高(LOI達26-31%)和水混合減少,導致氧氣滲透較淺,從而限制了好氧過程如硝化作用,間接影響反硝化作用的硝酸鹽供應。其次,這些測量為理解營養鹽循環機制提供了空間分辨率,例如顯示反硝化受耦合硝化限制,尤其是在沉水植物區。總體而言,Unisense電極的高精度測量增強了研究對湖泊生態系統中氧動態與營養鹽去除之間聯系的洞察,為管理水生植物以改善水質提供了科學依據。