熱線:021-66110810,66110819
手機:13564362870

熱線:021-66110810,66110819
手機:13564362870
Oxygen and redox potential gradients in the rhizosphere of alfalfa grown on a loamy soil
壤土中紫花苜蓿根際氧和氧化還原電位梯度
來源:Journal of Plant Nutrition and Soil Science, volume 178, 2015, pages 278-287
《植物營養與土壤科學雜志》,第178卷,2015年,第278-287頁
摘要
摘要闡述了氧供應和氧化還原電位在根際相互作用中的重要性,但好氧土壤條件下根際氧濃度和氧化還原電位空間分布的研究較少。研究通過電化學Clark型傳感器和微型電極在毫米尺度監測不同基質電位下根際氧濃度和氧化還原電位,從氧剖面和擴散系數計算根和微生物的呼吸活動,并測定根表面薄層土壤的pH剖面。結果表明氧濃度梯度和缺氧區范圍取決于根表面呼吸活動,基質電位是影響根際氧傳輸的關鍵因素。水飽和條件下氧分壓降至0-3 kPa,有氧呼吸增加100倍。空氣填充孔隙度9-12%時氧擴散顯著增加。根表面pH和氧分壓梯度顯示根際效應范圍10-20 mm,而氧化還原電位梯度僅0-2 mm。
研究目的
研究目的是確定好氧土壤條件下根際氧濃度和氧化還原電位的空間分布,特別是氧擴散如何補充根和微生物的氧消耗作為空氣填充孔隙度的函數,并界定根際在氧分壓和氧化還原電位方面的范圍。
研究思路
研究思路是通過三室盆栽實驗種植紫花苜蓿,中央室允許根生長,側室模擬根際但防止根穿透。在不同基質電位范圍(反映空氣填充孔隙度)下,使用丹麥Unisense的Clark型氧微電極和微型氧化還原電位電極測量從 bulk soil 到根表面的氧分壓和氧化還原電位梯度。計算氧消耗率和擴散系數,并切片測定pH剖面。通過統計和模型分析數據,驗證關于呼吸活動、氧傳輸和氧化還原電位動態的假設。
測量的數據及研究意義
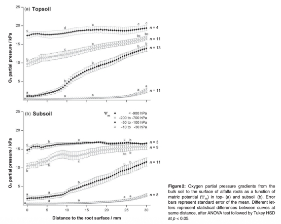
1. 氧分壓梯度:數據來自圖2,顯示不同基質電位下從 bulk soil 到根表面的氧分壓變化。研究意義:表明基質電位通過控制空氣填充孔隙度主導氧傳輸,水飽和條件下根表面氧分壓極低(0-3 kPa),而干燥條件下氧供應改善,界定根際氧效應范圍達10-25 mm,為理解土壤通氣性對根際有氧過程的影響提供定量證據。

2. 氧化還原電位梯度:數據來自圖3,顯示不同基質電位下氧分壓和關聯的氧化還原電位值。研究意義:揭示氧化還原電位隨氧分壓下降而降低,水飽和條件下根表面氧化還原電位降至100 mV(弱還原狀態),而通氣條件下約300 mV,證實氧可用性驅動根際氧化還原狀態變化,梯度范圍僅0-2 mm,突顯根際作為微生物熱點的高空間異質性。

3. 氧和氧化還原電位動態:數據來自圖4,顯示根表面氧分壓和氧化還原電位隨時間的變化,如飽和事件后的響應。研究意義:表明氧化還原電位響應氧分壓變化有數小時延遲,短期飽和不影響氧化還原電位,但長期飽和導致中度還原條件,反映微生物呼吸模式轉換,對理解干濕循環下養分轉化和反硝化有啟示。

4. pH梯度:數據來自圖5,顯示從 bulk soil 到根表面的pH變化。研究意義:根誘導酸化使pH降低0.5-1單位,亞土壤酸化更強,歸因于土壤有機質緩沖能力差異,表明根際酸化影響養分有效性,梯度范圍達20 mm,強調根分泌物在空間調節中的作用。

5. 氧消耗計算:數據來自圖6,顯示不同基質電位下計算的氧消耗率。研究意義:氧消耗隨干燥度增加而指數增長,基質電位低于-200 hPa時空氣填充孔隙度>9%使氧傳輸不受限,量化了呼吸活動對土壤濕度的依賴,為預測根際能量代謝提供參數。

結論
1. 根際范圍因參數而異:氧分壓和pH梯度延伸10-20 mm,氧化還原電位梯度僅0-2 mm,受土壤濕度強烈影響。
2. 基質電位是氧傳輸主要驅動因子:空氣填充孔隙度閾值9-12%(對應基質電位-200 hPa)足以維持有氧呼吸,低于此值氧傳輸受限。
3. 根際呼吸活動主導梯度形成:水飽和條件下氧消耗降低100倍,導致弱至中度還原條件,影響養分循環和微生物過程。
使用丹麥Unisense電極測量數據的研究意義
使用丹麥Unisense電極(Clark型氧微電極和微型氧化還原電位電極)測量的數據具有關鍵研究意義。這些電極提供高空間分辨率(毫米尺度)的氧分壓和氧化還原電位實時測量,直接量化根際梯度。氧分壓數據(圖2)驗證了氧擴散模型,顯示基質電位通過空氣填充孔隙度控制氧傳輸,確定臨界閾值(空氣填充孔隙度9-12%),為土壤通氣性管理提供依據。氧化還原電位數據(圖3)揭示氧可用性對氧化還原狀態的即時影響,證實根際作為生化反應熱點的微環境變化,延遲響應(圖4)指示微生物代謝轉換。整體上,電極數據實現根際過程的原位可視化,支持呼吸活動計算(圖6),深化對根-土壤-微生物相互作用的理解,為優化農業水分和養分管理提供理論基礎。