熱線:021-66110810,66110819
手機:13564362870

熱線:021-66110810,66110819
手機:13564362870
Seasonal oxygen, nitrogen and phosphorus benthic cycling along an impacted Baltic Sea estuary: regulation and spatial patterns
波羅的海河口沿波羅的海河口的季節性氧、氮、磷底棲循環:調控和空間模式
來源:Biogeochemistry (2014) 119:139–160
1. 摘要內容
論文摘要指出,本研究探索了溫度、富營養化和氧氣可用性對底棲氮(N)循環以及再生氮、磷(P)化學計量比的調控作用。研究沿一個受污水處理廠(STP)排放影響的波羅的海河口(Himmerfj?rden)進行。研究者測量了沉積物反硝化、厭氧氨氧化(anammox)、異化硝酸鹽還原為銨(DNRA)、營養鹽交換、氧氣(O?)吸收和滲透等過程的季節性速率。未受STP營養鹽羽流影響的沉積物,其O?吸收和耦合的硝化-反硝化速率表現出強烈的季節性變化,厭氧氨氧化對總N?生產的貢獻從未超過20%??拷黃TP的沉積物中的氮循環高度依賴于氧氣可用性,這掩蓋了溫度相關效應。這些沉積物在秋季底層水缺氧條件下,表現為低氮損失和高銨(NH??)外排;而在冬季沉積物表面氧化時,則轉變為主要氮損失系統。在秋季,DNRA競爭勝過反硝化,成為主要的硝酸鹽(NO??)還原途徑,導致氮的再循環和富營養化的潛在擴散。與歷史營養鹽排放和反硝化記錄的比較表明,河口的氮損失總量與STP的營養鹽排放總量緊密相關。STP釋放的溶解無機氮(DIN)變化與沉積物N?去除的變化非常吻合,這表明反硝化和厭氧氨氧化在歷史和當前人為營養鹽排放范圍內都能有效抵消河口的氮負荷。再生的營養鹽通量總體上具有較低的N/P比,對上層水體系統施加了強烈的氮限制,并產生了高潛在的有害藍藻水華風險。
2. 研究目的
本研究的主要目的是探究沿一個受長期人為有機質和營養鹽輸入影響的波羅的海河口,溫度、富營養化和氧氣可用性等關鍵調控因子如何影響沉積物中的氮轉化過程(反硝化、厭氧氨氧化、DNRA、硝化),以及它們如何改變再生氮和磷的化學計量比,從而評估沉積物在緩解或加劇河口富營養化中的作用。
3. 研究思路
研究采用沿環境梯度空間對比與季節性時間序列相結合的思路:
點位選擇:在瑞典Himmerfj?rden河口,沿一個已知的富營養化梯度選擇了四個站點:B1(河口外對照點)、H2、H4以及最靠近STP的H6。這些站點受到STP排放的影響逐級增強。
季節性采樣:在2011年5月、6月、8月、10月和2012年1月進行采樣,以捕捉全年的環境變化。
綜合方法聯用:對每個站點的沉積物進行多參數同步分析:
環境背景:測量底層水溫度、鹽度、溶解氧、營養鹽濃度;分析沉積物孔隙度、有機碳/氮含量及穩定同位素(δ13C, δ1?N)。
孔隙水化學:通過巖心切片獲得營養鹽(NH??, NO??, PO?3?)的深度剖面。
氧動力學:使用Unisense OX-50氧微電極測量沉積物氧微剖面,計算氧滲透深度(OPD)和擴散性氧攝取(DOU)。
沉積物-水界面通量:通過沉積物巖心培養實驗,測量總氧攝?。═OU)以及DIN和DIP的凈交換通量。
氮轉化過程速率:應用修訂的同位素配對技術(r-IPT),向沉積物巖心中添加1?NO??,量化反硝化、厭氧氨氧化、DNRA以及依賴于水體硝酸鹽(p14w)和沉積物硝化(p14n)的N?產生速率。同時通過好氧漿液實驗測量潛在硝化速率(PNR)。
關聯與統計分析:將測得的各種過程速率與溫度、氧滲透深度、有機質含量等環境參數進行關聯分析(如Pearson相關性分析),并使用非參數檢驗比較站點和季節間的差異。
4. 測量的數據、意義及來源
研究測量了以下幾方面的數據:
環境背景數據:包括各站點每個季節的底層水溫度、鹽度、溶解氧、營養鹽(NO??, NH??, PO?3?)濃度,以及沉積物孔隙度、有機碳/氮含量和穩定同位素值(δ13C, δ1?N)。其研究意義在于全面刻畫了沿河口梯度(從未受影響到高度影響)的物理化學和有機質特征梯度,為解釋生物地球化學過程的差異提供了基礎背景。例如,數據顯示H6站孔隙度、有機碳含量和δ1?N值最高,且秋季出現缺氧。這些數據匯總于文中的表1。

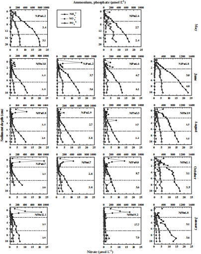
孔隙水營養鹽剖面數據:沉積物中NH??、NO??和PO?3?濃度隨深度的分布。其研究意義在于揭示了營養鹽在沉積物中的再生與消耗模式。例如,在B1、H2、H4站,NO??在表層出現峰值(表明硝化活躍),而NH??在深層積累;在H6站,NO??從界面迅速下降,NH??從表層就開始累積(表明硝化受抑制)。這些剖面直觀展示了站點間氮循環的差異,見圖2。


沉積物-水界面通量數據:通過巖心培養直接測得的溶解無機氮(NO??, NH??)和磷(PO?3?)的交換通量,以及總氧攝?。═OU)速率。其研究意義在于量化了沉積物向上覆水體釋放或吸收營養鹽和消耗氧氣的凈速率。數據顯示,H6站的NH??和PO?3?外排通量比其他站點高出一個數量級,特別是在缺氧的10月份。這些通量數據展示在表3。

氮轉化過程速率數據:反硝化、厭氧氨氧化、DNRA以及依賴于硝化(p14n)和水體硝酸鹽(p14w)的N?產生速率。其研究意義在于直接量化了不同氮轉化途徑的強度及其相對貢獻,是回答核心問題的關鍵。數據顯示,在B1、H2、H4站,反硝化具有季節性,且主要依賴于沉積物硝化(p14n > 80%);在H6站,過程受氧控制:缺氧秋季DNRA主導,富氧冬季反硝化(主要依賴p14w)主導。厭氧氨氧化貢獻始終較?。ā?0%)。這些速率以柱狀圖形式展示在圖3a和3b。

年尺度氮磷途徑綜合圖:將年均的氨化、硝化、反硝化/厭氧氨氧化、DNRA速率以及DIN、DIP外排通量整合在一張示意圖中,并標出了反硝化效率(DE)和N/P比。其研究意義在于綜合、定性地概括了各站點氮磷循環的整體模式與差異,清晰顯示了H6站的高氮磷回收效率和低N/P比。該圖是圖4。

5. 研究結論
本研究得出了以下核心結論:
氮循環路徑受氧氣可用性強烈調控:靠近STP的沉積物(H6)中,氮循環高度依賴于底層水氧氣狀況。在富氧冬季,沉積物表面氧化,硝化-反硝化耦合活躍,使其成為主要的氮損失系統;在缺氧秋季,硝化被抑制,反硝化率低,DNRA成為主要的硝酸鹽還原途徑,導致氮的再循環,并伴隨著極高的NH??和PO?3?外排。
DNRA在缺氧、富硫化物條件下具競爭優勢:在H6站缺氧的秋季,觀測到極高的DNRA速率(是反硝化的17倍)。這歸因于表層硫化物的積累抑制了硝化和反硝化,而為能將硝酸鹽還原為銨的化能自養細菌(如Beggiatoa)創造了條件。
對照站點過程受溫度調控:在未受STP直接影響的外站點(B1, H2, H4),反硝化速率表現出明顯的溫度依賴性季節變化(夏季高,冬季低),并且主要(>80%)由沉積物內部的硝化作用提供底物。
沉積物是磷的主要內部來源:計算表明,河口的內部磷負荷(132噸 P/年)遠高于外部負荷。沉積物再生的營養鹽具有低N/P比(特別是H6站為4.2),無法滿足浮游植物生長的Redfield比例需求,從而加強了系統的氮限制,并創造了有利于固氮藍藻水華的條件。
反硝化是有效的氮匯并與歷史輸入耦合:估算顯示,河口沉積物反硝化(及少量厭氧氨氧化)每年可移除約221噸氮,相當于STP當前DIN年排放量的96%。與歷史數據對比發現,河口的總氮損失與STP的氮排放量緊密耦合,表明沉積物反硝化是抵消人為氮輸入的有效緩沖。
6. 詳細解讀使用丹麥Unisense電極測量出來的數據有什么研究意義
在本研究中,使用丹麥Unisense公司生產的OX-50型Clark氧微電極測量的數據,對于界定反應發生的微區、量化關鍵通量、以及區分不同調控機制具有核心作用:
精確量化氧化還原條件與反應界面:Unisense微電極以50微米的高分辨率測量的氧微剖面,提供了氧滲透深度這一關鍵參數(匯總于表1)。OPD直接反映了沉積物表層的氧化狀態。數據顯示,在受影響輕微的站點(B1, H2, H4),OPD在0.25-0.90厘米之間變化,而在高度富營養化的H6站,OPD非常淺(0.13-0.24厘米)。淺的OPD直觀地證明了H6站沉積物表層氧化層的脆弱性,為理解該站硝化作用易受抑制、DNRA和磷釋放活躍提供了直接的物化環境證據。
計算擴散性氧攝取,區分傳輸機制:通過對氧微剖面的數值分析(使用PROFILE模型),研究者計算了擴散性氧攝?。―OU)速率(見表3)。將DOU與通過巖心培養測得的總氧攝取(TOU)進行比較,得到了TOU/DOU比值。這個比值是評估生物擾動等非擴散過程對界面交換貢獻的關鍵指標。數據顯示,在存在大型動物的站點(B1, H2, H4),該比值在1.2-1.9之間,表明生物灌溉增強了氧氣輸送;而在缺乏大型動物的H6站(1月),該比值接近1,表明交換以分子擴散為主。Unisense數據使得這種量化區分成為可能,從而將宏觀動物活動與微生物過程聯系起來。
為“氧氣可用性主導調控”的結論提供直接證據:本研究的核心結論之一是H6站的氮循環受氧氣可用性“開關”控制。Unisense測得的OPD季節性變化為該結論提供了最直接的支撐:在缺氧的10月,H6站OPD最淺(0.13厘米),對應著硝化被抑制、DNRA主導、高營養鹽釋放;而在富氧的1月,OPD增加(0.24厘米),對應著硝化-反硝化耦合增強、氮損失增加。氧微剖面數據將水體溶解氧濃度這一宏觀指標,轉化為沉積物中微生物實際生存的“氧化層厚度”這一微觀生境指標,使得“氧氣可用性”的影響變得具體且可測量。
支撐反硝化速率與環境因子的相關性分析:相關性分析表明(表4),在B1、H2、H4站,反硝化速率與DOU和OPD呈顯著負相關。這意味著當沉積物耗氧快、氧化層薄時,反硝化更活躍。Unisense提供的DOU和OPD數據是進行這一關鍵統計分析的基礎。這一結果支持了在這些站點,反硝化與硝化緊密耦合,而硝化又受控于氧氣向沉積物的輸送和消耗動力學。

總結:在這項關于受控河口氮循環的研究中,Unisense氧微電極的數據不僅是描述環境背景的工具,更是連接水體氧化還原狀態、沉積物微區化學與微生物過程速率的核心樞紐。其提供的高分辨率OPD和DOU數據,使得研究者能夠定量地刻畫不同站點和季節的氧化還原梯度,令人信服地論證了氧氣可用性如何像“開關”一樣控制著氮損失與氮回收路徑的轉換,并精細地區分了擴散過程與生物擾動對界面交換的相對貢獻。這些數據極大地增強了對復雜河口生態系統生物地球化學調控機制的理解深度。