熱線:021-66110810,66110819
手機:13564362870

熱線:021-66110810,66110819
手機:13564362870
Chemoautotrophic Carbon Fixation Rates and Active Bacterial Communities in Intertidal Marine Sediments
潮間帶海洋沉積物的化學自養碳固定速率和活性細菌群落
來源:PLOS ONE 1 July 2014 | Volume 9 | Issue 7 | e101443
1. 摘要內容
論文摘要指出,化學自養作用在典型的濱海海洋沉積物中研究甚少,但由于強烈的厭氧礦化過程導致硫化物和銨等還原性化合物大量積累,它可能是碳循環的一個重要組成部分。本研究通過在荷蘭東斯海爾德河口兩個硫化學性質不同的海岸沉積物點,測量13C-碳酸氫鹽在黑暗條件下向磷脂衍生脂肪酸(PLFA)生物標志物中的固定,來研究化學自養作用。在一個孔隙水中游離硫化物直達沉積物頂部的點位,PLFA標記僅限于通常在硫和銨氧化細菌中發現的化合物。而在另一個孔隙水中未檢測到游離硫化物的點位,則發現了非常不同的PLFA標記模式,除了硫和銨氧化細菌的典型化合物外,支鏈的i-和a-PLFA中也含有大量標記。這表明其他類型的化能自養細菌也很活躍,很可能與硫酸鹽還原菌相關的Deltaproteobacteria。在兩個沉積物的頂部1-2厘米處檢測到最高的化能自養速率,化學合成生物量生產量很高,范圍為3-36 mmol C m-2 d-1。平均暗碳固定與沉積物耗氧量之比為0.22±0.07 mol C (mol O2)-1,處于硫氧化細菌報告的最大生長產量范圍內,表明生長效率很高。在游離硫化物點位的頂部,化能自養生物量生產速率與碳礦化速率相似,表明化能自養細菌可能在微生物食物網中起關鍵作用,并且在真核生物的多不飽和PLFA中確實檢測到了標記。研究表明,化能自養細菌的暗碳固定是海岸沉積物碳循環的一個主要過程,因此在未來沉積物生物地球化學和微生物生態學研究中應得到更多關注。
2. 研究目的
本研究的主要目的是量化并比較兩個具有對比硫化學性質(一個富含游離硫化物,另一個不含)的潮間帶海洋沉積物中,由化能自養細菌驅動的暗碳固定速率,識別活躍的化能自養細菌群落,并評估該過程在沉積物碳循環和潛在微生物食物網中的重要性。
3. 研究思路
研究采用多方法結合、對比分析的思路:
點位選擇:在荷蘭東斯海爾德河口選擇兩個對比點位:Rattekaai(RK,沉積物頂部富含游離硫化物)和Zandkreek(ZK,沉積物頂部數厘米內無游離硫化物)。
核心實驗:采集未受擾動的沉積物巖心,在黑暗條件下,向沉積物中注入穩定的13C標記的碳酸氫鹽(NaH13CO3)進行培養(最長達4天)。
速率測定與群落示蹤:通過分析13C標記摻入到磷脂衍生脂肪酸(PLFA)中的情況,來同時測定總的化能自養速率,并基于特定的PLFA生物標志物來指示活躍的細菌群落。
多參數關聯:將化能自養速率與沉積物的生物地球化學條件關聯:
使用Unisense微電極測量溶解氧(O2)剖面,并計算擴散性耗氧速率。
測量孔隙水化學(硫化物、銨、DIC、硫酸鹽)。
測量沉積物碳礦化速率。
構建Rubisco(核酮糖-1,5-二磷酸羧化酶/加氧酶)基因克隆文庫,以研究利用卡爾文循環的化能自養細菌的多樣性。
數據分析:對比兩個點位的速率、PLFA標記模式(使用主成分分析PCA)和Rubisco基因多樣性,以闡明環境條件(硫化學)對化能自養過程及其執行者的影響。
4. 測量的數據、意義及來源
研究測量了以下幾方面的數據,其意義和來源如下:
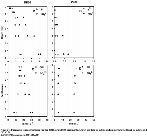
沉積物基本特性與孔隙水化學數據:包括沉積物溫度、顆粒有機碳(POC)、C/N比,以及孔隙水中硫化物、銨、溶解無機碳(DIC)、硫酸鹽的深度剖面。其研究意義在于定量表征了兩個點位的環境異質性,特別是硫化學的強烈對比(RK點硫化物直達表層,ZK點表層無硫化物),這是驅動后續生物學差異的基礎。硫化物和銨的深度剖面數據展示在圖1(Figure 1),部分站點概況數據匯總于表1(Table 1)。


化能自養碳固定速率數據:即通過13C-PLFA標記計算得出的暗碳固定速率,以體積速率(μmol C cm-3 d-1)和面積積分速率(mmol C m-2 d-1)表示。其研究意義在于這是研究的核心發現,直接證實了潮間帶沉積物中存在很高(最高達6.8 μmol C cm-3 d-1)的化能自養活性,且主要集中于沉積物頂部2厘米。體積速率深度剖面展示在圖2(Figure 2),各點位的面積積分速率、耗氧速率及效率(C/O2 yield)匯總于表1。

PLFA標記譜(活性群落指紋)數據:測量了沉積物中各種PLFA的濃度及其13C標記量(以Δδ13C或摩爾百分比表示)。其研究意義在于提供了“活躍的”化能自養群落的生物標志物指紋。結果顯示兩個點位的標記模式截然不同:RK點標記集中在14:0, 16:1ω7c, 16:0, 18:1ω7c等直鏈PLFA(典型硫/銨氧化細菌);ZK點在上述PLFA外,在支鏈i-/a-PLFA(如i15:0, a15:0)中也出現顯著標記,暗示了不同的活躍菌群(如可能的硫酸鹽還原相關細菌)。代表性數據展示在圖3(Figure 3),而所有活性層數據的PCA分析(圖4)進一步確認了兩個點位群落組成的顯著分離。


Rubisco基因多樣性數據:通過特異性引物對兩個點位沉積物頂部DNA中的Rubisco Type IA基因進行PCR、克隆和測序,構建系統發育樹。其研究意義在于從功能基因角度揭示了利用卡爾文循環的化能自養細菌的多樣性。克隆子主要聚集在兩個進化枝(Clade IA1 和 IA2),與多種硫氧化細菌和環境克隆序列相關,但未能解釋ZK點獨特的支鏈PLFA標記模式(因硫酸鹽還原菌通常不利用卡爾文循環)。系統發育樹展示在圖5(Figure 5)。

沉積物耗氧與碳礦化數據:通過氧微剖面計算的擴散性氧消耗速率,以及通過DIC和銨產生測得的厭氧碳礦化速率。其研究意義在于為評估化能自養作用的相對重要性提供了背景通量。數據顯示化能自養速率與耗氧速率高度相關,且在RK06點位的頂部,化能自養速率甚至與碳礦化速率相當。這些速率數據匯總于表1。
5. 研究結論
本研究得出了以下核心結論:
化能自養是碳循環主要過程:在兩個潮間帶沉積物中均檢測到很高的暗碳固定速率(最高36.3 mmol C m-2 d-1),表明化能自養作用是海岸沉積物碳循環的一個主要但被忽視的組成部分。
高效生長與硫氧化主導:測得的暗碳固定與耗氧量之比(平均0.22 mol C/mol O2)與純培養中硫氧化細菌的最大生長產量非常接近,表明沉積物中的化能自養細菌生長效率極高,且大部分耗氧量可能用于硫氧化過程,化學氧化和混合營養型細菌的競爭有限。
硫化學塑造活躍群落:活躍的化能自養細菌群落結構強烈受沉積物硫化學驅動。在富含游離硫化物的RK點,活躍群落以典型的硫/銨氧化細菌(PLFA標記以直鏈為主)為主;而在無游離硫化物的ZK點,活躍群落明顯不同,支鏈PLFA的顯著標記暗示了可能與硫酸鹽還原菌相關的細菌在化能自養中扮演重要角色,它們可能通過厭氧途徑(如氫營養型或硫歧化作用)固定碳。
對微生物食物網潛在重要:在RK06點位的沉積物最頂部,化能自養速率與有機碳礦化速率相當,并且在真核生物標志性PLFA中檢測到少量標記,這表明化能自養產生的生物量不僅規模大,還可能直接支撐沉積物微生物食物網,是后續異養生物和底棲動物的潛在重要碳源。
6. 詳細解讀Unisense電極測量數據的研究意義
在本研究中,使用丹麥Unisense公司生產的氧微電極(Ox100)測量的數據,雖然看起來是常規環境參數測量,但其研究意義至關重要且貫穿了整個研究的邏輯鏈條:
定義了化能自養作用發生的“熱點”物化空間:Unisense微電極以亞毫米級分辨率測得的溶解氧(O2)垂直剖面,精確描繪了沉積物中氧化區的厚度。數據顯示,O2滲透深度在兩個點位都很淺(RK點0.2-0.5毫米,ZK點0.95-1.7毫米,見表1)。這一定量結果從根本上解釋了為何化能自養活性高度集中于沉積物最頂部1-2厘米(圖2)。因為化能自養細菌依賴的電子供體(如硫化物、銨)在深處厭氧區產生,而最終電子受體(O2)僅存在于最表層。兩者擴散相遇的界面——即氧滲透層及其緊鄰的下方還原區——是能量產生和化能自養活動的“熱點”。沒有微電極提供的精確O2界面定位,就無法理解化能自養速率在深度分布上如此集中的格局。
量化了核心能量來源的通量,用于計算關鍵效率指標:通過O2剖面計算出的擴散性沉積物耗氧速率,是本研究最關鍵的定量參數之一。這個數據直接匯總在表1中。研究者利用此數據,計算了“暗碳固定與耗氧量之比”(C/O2 yield)。這個比值(0.17-0.32)是連接野外測量與微生物生理學的核心橋梁。將其與文獻中硫氧化細菌的最大理論生長產量(約0.23 mol C/mol O2)進行比較后,研究者才能得出“沉積物中化能自養細菌生長效率極高”、“耗氧主要用于硫氧化”、“化能自養細菌在與化學氧化和混合營養菌的競爭中占優”等一系列強有力的推論。Unisense數據是這一關鍵比較和后續推論的計算基石。
支撐了點位對比研究的邏輯基礎:兩個研究點位的核心差異是硫化學(游離硫化物的有無)。Unisense數據顯示,在富含硫化物的RK點,O2滲透深度更淺(特別是RK06僅0.23毫米),這意味著氧化還原梯度更陡峭,電子供體(硫化物)和受體(O2)的界面更集中。這與該點位觀測到的最高化能自養速率(表1中RK06為36.3 mmol C m-2 d-1)以及群落活性高度集中于頂部0.5厘米(圖2)的現象是內在一致的。微電極數據為解釋“為何硫化物豐富的點位速率更高、空間更集中”提供了關鍵的物理解釋。
提供了驗證實驗系統狀態的關鍵參數:在進行13C標記培養實驗時,確保沉積物表層保持有氧狀態對模擬真實環境至關重要。文中提到,RK06點位的巖心因耗氧率極高而不能封閉頂部,否則會迅速發展為缺氧狀態。這一判斷正是基于對沉積物高耗氧潛力的認識,而Unisense微電極的測量是量化這種耗氧潛力的直接手段。它確保了實驗設計能夠合理維持氧化條件,從而使測得的化能自養速率能夠反映原位過程。
總結:在本研究中,Unisense氧微電極的數據超越了簡單的環境描述。它精確測繪了化能自養作用的“戰場”范圍(氧滲透深度),量化了驅動該過程的“能量流”(耗氧速率),并最終使研究者能夠計算出一個關鍵的效率指標(C/O2 yield)。這個效率指標是將宏觀沉積物通量與微觀微生物生理學直接聯系起來的樞紐,從而有力地論證了化能自養細菌的高效性及其在沉積物碳循環中的核心地位。因此,Unisense測量是本研究的假設得以驗證、數據得以深化解釋的關鍵賦能技術。