熱線:021-66110810,66110819
手機:13564362870

熱線:021-66110810,66110819
手機:13564362870
Sedimentary Organic Carbon Budget of Coastal Sediments and the Importance of Benthic-Pelagic Coupling off Namhae Island in the South Sea of Korea
韓國南海南海岸海域海岸沉積物有機碳收支及底棲-水層耦合的重要性
來源:Ocean Sci. J. (2014) 49(4):433-447
1. 摘要內容
論文摘要指出,本研究旨在表征韓國南海南海岸海域表層沉積物(<25 cm)中的生物地球化學有機碳循環。研究使用配備了底棲艙和微剖面儀的原位底棲著陸器,測量了總沉積物耗氧率和擴散性沉積物耗氧率。通過在沉積物-水界面之上的底層水進行原位底棲艙培養,估算了溶解無機營養鹽和總堿度的底棲通量。此外,還量化了垂直沉降到表層沉積物上的顆粒物及沉積速率,以計算沉積有機碳收支。總耗氧率在34.9至54.1 mmol O2 m-2 d-1之間,約為擴散耗氧率的三倍。在缺氧沉積層觀察到的異常氧峰值表明沉積層中存在較高的生物灌溉活動。沉積物表層的有機碳氧化速率范圍很窄(36±7 至 37±7 mmol C m-2 d-1),埋藏進入沉積層的通量在3至13 mmol C m-2 d-1之間,占有機碳再礦化速率的9%至36%。水層生產所需的氮和磷通量可分別由29%和42%的底棲通量支持,這強烈表明韓國南海海岸區域存在底棲-水層耦合。
2. 研究目的
本研究的主要目的是量化韓國南海南海岸海域(Namhae Island附近)海岸沉積物中的有機碳氧化速率和底棲營養鹽通量,建立沉積有機碳收支,并評估底棲-水層耦合效應,以深入理解該海岸生態系統的生物地球化學有機碳循環和營養鹽循環中底棲通量的重要性。
3. 研究思路
研究采用多方法結合、現場觀測與實驗室分析互補的思路:
研究區域與點位:在韓國南海的南海岸海域選擇了三個站點(St-1, St-2, St-3),該區域水淺(平均<30米),受陸源輸入和潮汐影響。
綜合數據采集:
環境背景調查:測量水柱的溫度、鹽度、溶解氧、營養鹽、葉綠素a等參數(表1,圖2)。


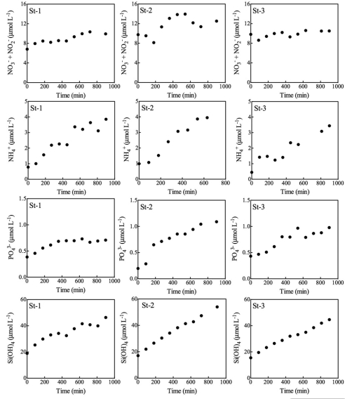
原位培養與通量測量:使用名為BelcI的原位底棲艙培養底層水,測量溶解氧、總堿度、溶解無機碳及營養鹽隨時間的變化,計算總耗氧率及底棲通量(圖3,表3)。同時使用名為BelpI的微剖面儀測量沉積物孔隙水中的氧微剖面,計算擴散耗氧率(圖4)。




顆粒物通量與沉積速率:使用沉積物捕獲器收集垂直沉降的顆粒物,分析其總質量、有機碳和氮通量(表2)。采集沉積物巖心,分析210Pb和226Ra活度,計算沉積速率(圖7)。


沉積物特性分析:分析沉積物巖心的孔隙水營養鹽剖面(圖5)、固體相有機碳和氮含量及分布(圖6)。


收支計算與耦合評估:基于測得的有機碳氧化速率、埋藏通量和顆粒物沉降通量,建立沉積有機碳收支。通過比較底棲營養鹽通量與上層水層初級生產的需求,評估底棲-水層耦合的強度。
4. 測量的數據、意義及來源
研究測量了以下幾方面的數據:
水柱環境參數數據:包括溫度、鹽度、溶解氧、溶解無機營養鹽(硝酸鹽+亞硝酸鹽、銨、磷酸鹽、硅酸鹽)、葉綠素a和固體顆粒物濃度。其研究意義在于刻畫了研究站點的物理化學背景,顯示了底層水溶解氧不飽和、營養鹽濃度高于表層等特征,為理解底棲過程提供了環境框架。這些數據匯總于文中的表1。
顆粒物垂直通量數據:通過沉積物捕獲器獲得的總質量、有機碳和氮的垂直沉降通量。其研究意義在于量化了從水層向沉積物表面的有機物輸入,是計算沉積有機碳收支的關鍵輸入項。數據顯示通量較高,可能與季風季節的淡水輸入有關。這些數據展示在表2。
原位培養與底棲通量數據:通過底棲艙培養獲得的溶解氧、總堿度、溶解無機碳及各種營養鹽隨時間變化的曲線,據此計算出的總耗氧率、碳氧化速率及營養鹽(NO2+NO3, NH4+, PO43-, Si(OH)4)底棲通量。其研究意義在于直接、原位測定了沉積物-水界面的關鍵物質交換速率,是有機碳循環和底棲-水層耦合評估的核心依據。培養曲線展示在圖3,計算出的通量速率匯總于表3和表4。

沉積物氧微剖面數據:使用微剖面儀測量的沉積物孔隙水中溶解氧的垂直分布。其研究意義在于揭示了沉積物表層的氧化還原結構,用于計算擴散耗氧率,并發現了St-3站點約6毫米深度處的異常氧峰,這為沉積物中存在生物擾動(如生物鉆孔)提供了直接證據。剖面圖展示在圖4。
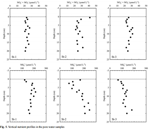
沉積物孔隙水化學數據:從沉積物巖心中提取的孔隙水中營養鹽(硝酸鹽、銨、磷酸鹽、硅酸鹽)的深度剖面。其研究意義在于反映了沉積物中有機物礦化(再生)過程的產物分布,但文中指出表層梯度可能受取樣干擾。這些剖面展示在圖5。
沉積物固相特征數據:沉積物中有機碳和氮的含量、碳氮比以及基于210Pb活度估算的沉積速率。其研究意義在于有機碳和氮含量用于計算有機碳埋藏通量;沉積速率是計算埋藏通量和評估沉積物累積歷史的關鍵參數。有機碳和氮的深度分布見圖6,210Pb活度剖面及沉積速率計算見圖7。
5. 研究結論
本研究得出了以下核心結論:
有機碳循環速率較高且空間差異小:研究海域海岸沉積物的有機碳氧化速率較高(平均約36-37 mmol C m-2 d-1),但在三個站點間差異不大。碳埋藏通量在3-13 mmol C m-2 d-1之間,占氧化通量的9%-36%,意味著73%-91%的沉積有機碳在表層沉積物中被再循環,再生效率很高。
總耗氧率顯著高于擴散耗氧率:總耗氧率是擴散耗氧率的約3-4倍,結合氧微剖面中發現的異常峰值,表明生物灌溉和大型底棲動物呼吸等過程對沉積物-水界面氧氣交換的貢獻巨大,僅靠分子擴散無法代表真實的耗氧情況。
底棲營養鹽通量支持初級生產:計算表明,底棲釋放的溶解無機氮和磷通量,可分別滿足該區域水層初級生產所需氮、磷的29%和42%。這定量地證實了在該海岸生態系統中存在顯著的底棲-水層耦合,即沉積物中的有機物礦化是支持上層水體生產力的重要營養鹽來源。
季節性脈沖輸入影響顯著:觀測到異常高的顆粒物垂直通量,被認為是季節性降雨和淡水排放導致的臨時性事件。因此,本研究測得的碳氧化速率可能代表了該區域的年度最大值。
6. 詳細解讀Unisense電極測量數據的研究意義
在本研究中,丹麥Unisense氧微電極(型號OX-50用于底棲艙,微剖面儀也應使用了類似傳感器)的測量數據扮演了連接宏觀通量與微觀過程、區分不同耗氧機制的關鍵角色:
作為計算總耗氧率和碳氧化速率的直接依據:安裝在底棲艙(BelcI)頂部的兩個Unisense OX-50氧微電極,持續監測了艙內水體溶解氧濃度隨時間的變化。其高精度、連續的數據是計算總耗氧率(反映所有生物和化學過程的總氧氣消耗)的基礎(圖3中的DO變化曲線)。而TOU是后續估算有機碳氧化速率(采用C/O2化學計量比)的核心輸入參數。沒有微電極提供的可靠、原位氧氣消耗數據,整個碳循環的量化將失去基礎。
揭示擴散過程與生物過程的貢獻差異:通過BelpI微剖面儀獲得的氧微剖面(圖4)具有雙重重要意義。首先,它精確描繪了沉積物-水界面附近的擴散邊界層厚度(~750-850 μm)和界面下的氧梯度,從而可以計算出僅由分子擴散控制的擴散耗氧率。將DOU與TOU比較(DOU僅為TOU的1/4至1/3),直接、有力地證明了生物灌溉和底棲動物活動驅動的平流輸送是沉積物耗氧的主要途徑,突破了僅靠擴散模型理解界面交換的局限。
提供生物擾動活動的“原位指紋”證據:在St-3站位的氧微剖面中,于沉積物約6毫米深度處觀察到一個清晰的異常氧峰。這是一個至關重要的發現。在理論上缺氧的沉積層中出現氧峰值,唯一的合理解釋是微電極尖端穿透了某個生物鉆孔或管棲生物的穴道,這些結構引入了富氧的底層水。Unisense微電極的高空間分辨率使得捕捉到這種毫米級的化學異質性成為可能。這為“沉積物中存在活躍的生物擾動”這一推論提供了直觀、無可辯駁的原位證據,將生物活動與地球化學過程在空間上直接關聯起來。
確保原位實驗的環境真實性:在底棲艙培養實驗中,微電極對溶解氧的實時監測確保了實驗過程中氧化條件的穩定性,避免了樣品采集和儲存可能帶來的誤差。對于微剖面測量,傳感器在沉積物中的原位推進,最大限度地保存了沉積物的原始結構和水文路徑,所測得的氧梯度更能反映真實情況。
總結:在這項關于海岸沉積物碳收支的研究中,Unisense氧微電極的數據不僅是量化通量的工具,更是洞察過程機制的“探針”。它通過區分總耗氧與擴散耗氧,凸顯了生物活動在沉積物-水界面交換中的主導作用;更通過捕捉到獨特的氧峰“指紋”,將宏觀的底棲-水層耦合概念與微觀的、具體的生物棲息地結構聯系起來,極大地增強了對海岸生態系統生物地球化學循環復雜性和驅動力的理解。