熱線:021-66110810,66110819
手機:13564362870

熱線:021-66110810,66110819
手機:13564362870
Impact of Oyster Farming on Diagenetic Processes and the Phosphorus Cycle in Two Estuaries (Brittany, France)
牡蠣養殖對兩個河口成巖過程和磷循環的影響(法國布列塔尼)
來源:Aquatic Geochemistry November 2014, Volume 20, Issue 6, Pages 573-611
1. 摘要內容
論文摘要指出,本研究旨在比較法國布列塔尼Aber Benoit和Riviere d'Auray兩個河口牡蠣養殖對沉積物成巖過程和磷(P)循環的影響。結果表明,牡蠣養殖對沉積物特性(粒度、有機質參數)和磷循環存在明顯的季節性影響,在Aber Benoit尤其顯著。該站點孔隙水中硫化物和鐵(Fe)濃度以及固相中鐵結合態磷(Fe-P)濃度的季節變化表明,系統從對照點以鐵還原為主導轉變為養殖點以硫酸鹽還原為主導。這可以部分歸因于養殖點下方活性有機質(即生物沉積物)的增加,其硫酸鹽礦化導致孔隙水中硫化物濃度極高(高達4475 μmol L?1)。反過來,硫化物通過形成鐵硫化合物(FeS和FeS?)減少了磷酸鹽的吸附位點,從而在夏季增強了磷酸鹽的釋放。在Aber Benoit,溶解態Fe/PO?比值可作為磷酸鹽向含氧水體釋放的指標:夏季的低Fe/PO?比值(<2 mol/mol)指示了較高的磷酸鹽向上覆水體的通量(高達47 μmol m?2 h?1)。相比之下,在Riviere d'Auray,遍布整個站點的大型藻類的定期堆積明顯掩蓋了牡蠣養殖對沉積物性質和磷循環的影響,使得Fe/PO?比值作為磷酸鹽釋放指標的應用更為困難。
2. 研究目的
本研究的主要目的是比較牡蠣養殖在法國布列塔尼兩個對比鮮明的河口(Aber Benoit 和 Riviere d‘Auray)中,對沉積物特性、早期成巖過程以及磷循環的影響。研究旨在評估這種影響如何因季節和地點而異,并特別關注硫化物和鐵在調控磷酸鹽釋放中的作用。
3. 研究思路
研究采用“空間對比(養殖點 vs. 對照點)與時間序列(季節變化)相結合”的思路:
點位設置:在兩個河口各設置一個牡蠣養殖點和一個不受養殖直接影響的對照點(相距30米)。由于Riviere d'Auray整個區域都有大型藻類,未能找到無藻的嚴格對照點。
季節性采樣:在2007年7月至9月及2008年3、5、6月進行月度采樣。
多參數綜合測量:
沉積物基本特性:分析粒度、孔隙度、有機碳、總氮、葉綠素a、脫鎂葉綠素。
磷的形態分析:通過連續萃取法測定吸附態和鐵氧化物結合態磷、有機磷、自生鈣結合態磷。
孔隙水化學:分析營養鹽、硫化物、溶解態Fe2?、Mn2?,并使用Unisense OX500微電極測量溶解氧(O?)的垂直微剖面。
通量計算:基于孔隙水梯度,應用菲克第一定律計算磷酸鹽、銨和硫化物的擴散通量。
關聯與統計分析:將地球化學數據與季節、點位關聯,通過統計分析(如Mann-Whitney檢驗)比較養殖點與對照點的差異,并探討控制磷酸鹽釋放的關鍵機制。
4. 測量的數據、意義及來源
研究測量了以下幾方面的數據:
沉積物基本特性數據:包括粒度(粉砂+粘土比例)、孔隙度、有機碳、總氮、葉綠素a濃度。其研究意義在于表征了沉積物的物理和有機質背景。數據顯示,在Aber Benoit,養殖點下方的細顆粒比例顯著高于對照點,表明生物沉積作用;而在Riviere d'Auray則無此差異。有機質指標在Aber Benoit養殖點也更高。這些數據匯總于文中的表4,有機碳和葉綠素a的深度分布展示在圖3。


磷形態數據:包括鐵結合態磷、有機磷、自生鈣結合態磷的濃度及其深度分布。其研究意義在于揭示了磷在沉積物中的主要儲存庫及其動態。例如,在Aber Benoit養殖點下方,Fe-P在5-6月出現峰值,隨后在夏季降低,這與硫化物積累導致Fe-P溶解的假設一致。這些數據展示在圖5,部分匯總于附錄表5。






孔隙水化學深度剖面數據:包括溶解氧、Fe2?、Mn2?、硫化物、磷酸鹽、銨的濃度隨沉積物深度的變化。其研究意義在于直接反映了早期成巖過程的產物分布和氧化還原分層。關鍵發現包括養殖點下方極高的硫化物和磷酸鹽濃度,以及低Fe2?濃度。O?剖面見圖6,Fe2?和Mn2?見圖7,硫化物、磷酸鹽、銨見圖8。用于計算通量的表層濃度數據見表3。
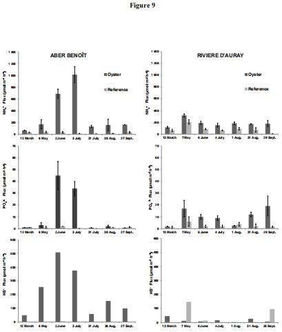
擴散通量數據:計算得出的磷酸鹽、銨和硫化物從沉積物向上覆水體的擴散通量。其研究意義在于量化了養殖活動導致的營養鹽和硫化物釋放強度。數據顯示,在Aber Benoit養殖點,夏季磷酸鹽和銨的通量比對照片高出數十倍。這些通量的季節變化展示在圖9。






孔隙水化學計量比數據:包括溶解態N/P和Fe/P比值(NH??/HPO?2? 和 Fe2?/HPO?2?)的深度剖面。其研究意義在于用于診斷磷的釋放機制。Fe/P比值低于理論值2 mol/mol表明鐵不足以捕獲所有向上擴散的磷酸鹽,將導致磷釋放。這些比值展示在圖10,而Fe/P比值與磷酸鹽通量的關系被強調在圖12。



5. 研究結論
本研究得出了以下核心結論:
牡蠣養殖的影響因河口而異:在Aber Benoit,牡蠣養殖顯著且季節性地改變了沉積物特性、成巖過程和磷循環;而在Riviere d‘Auray,由于大型藻類的普遍存在,其影響被掩蓋。
驅動機制是生物沉積物輸入引發的硫酸鹽還原:養殖點下方活性有機質(生物沉積物) 的增加,刺激了硫酸鹽還原作用,產生高濃度硫化物。硫化物與活性鐵結合形成鐵硫化物,減少了磷酸鹽的吸附位點,導致溶解磷酸鹽濃度升高并向上覆水體釋放。
沉積物氧化還原狀態發生轉變:在Aber Benoit養殖點,系統從對照點以鐵還原主導的狀態,轉變為夏季以硫酸鹽還原主導的狀態,這由極高的孔隙水硫化物濃度和極低的Fe2?濃度所證實。
孔隙水Fe/P比值是有效的預測指標:在Aber Benoit,表層沉積物孔隙水中的溶解態Fe/P摩爾比是一個有效的診斷工具。當該比值低于2時,預示著磷酸鹽向上覆水體的高釋放通量;比值高于2時,磷酸鹽通量很低。
對富營養化的潛在影響:牡蠣養殖在夏季導致的額外磷酸鹽釋放,可能顯著增加上覆水體中生物可利用磷的庫存,從而改變營養結構,并對河口富營養化狀態產生長期影響。
6. 詳細解讀使用丹麥Unisense電極測量出來的數據有什么研究意義
在本研究中,使用丹麥Unisense公司生產的OX500型Clark氧微電極測量的溶解氧微剖面數據,對于定量刻畫沉積物氧化還原結構、支撐礦化過程分析、以及為整個研究提供關鍵的背景速率參數具有基礎性意義:
精確描繪了沉積物表層的氧化層與耗氧界面:Unisense微電極以亞毫米級分辨率測量的溶解氧垂直剖面(展示在圖6),直觀地顯示了氧氣在所有站點的沉積物-水界面附近被迅速消耗。數據顯示,氧氣滲透深度很淺(通常小于5毫米),這一定量結果確認了沉積物是氧氣的凈匯,并且氧化還原反應主要發生在最表層的薄層內。這為理解后續的厭氧過程(如硫酸鹽還原)發生的位置提供了空間背景。
為計算有機質礦化速率提供了關鍵參數:通過對氧微剖面的分析,研究者計算了沉積物的凈耗氧率(文中提及為2-10 μmol O? cm?3 d?1)。這個速率是反映沉積物總有機質礦化強度的核心指標。研究指出,盡管養殖點下方有機質礦化產物的通量(如NH??、PO?3?、H?S)遠高于對照點,但計算出的耗氧率在養殖點與對照點之間并無顯著差異。這一發現至關重要,它表明觀察到的巨大通量差異并非由總礦化強度的倍數增加引起,而是源于礦化途徑的改變(從好氧/鐵還原轉向硫酸鹽還原)以及有機質性質的不同(養殖點生物沉積物更易降解)。Unisense數據是得出這一重要推斷的基石。
支撐了關于沉積物緩沖能力的推斷:所有站點的氧微剖面都顯示界面處存在陡峭的氧梯度,表明沉積物表層具備氧化能力。在對照點,這種氧化能力足以將向上擴散的還原性物質(如Fe2?)氧化,形成氫氧化鐵表層,從而截留磷酸鹽。而在養殖點,盡管氧化層依然存在(有氧滲透),但硫酸鹽還原產生的大量硫化物“壓倒”了沉積物的氧化緩沖容量,消耗了活性鐵,導致磷滯留機制失效。Unisense測得的氧滲透深度和耗氧率,是評估沉積物這種“氧化緩沖容量”的直接物理化學證據。
實現了高分辨率的原位測量,避免了采樣擾動:與傳統鉆取孔隙水樣品的方法相比,Unisense微電極的原位、高分辨率測量最大限度地減少了對沉積物-水界面精細結構的擾動。這對于準確獲取界面處的真實氧梯度(用于計算耗氧率)以及評估是否存在生物擾動引起的氧異常(如在Aber Benoit對照點6-7月觀察到的 sporadic O? increase)至關重要,確保了后續地球化學解釋的可靠性。
總結:在這項關于牡蠣養殖環境效應的研究中,Unisense氧微電極數據扮演了“過程量化器”和“機制參照系”的角色。它不僅定量揭示了沉積物表層的氧化環境,其衍生的耗氧率參數更是將觀察到的巨大營養鹽通量差異(現象)與有機質礦化途徑轉變(機制)深刻聯系起來的核心紐帶。這些數據幫助研究者論證了:養殖的影響不在于大幅提高總降解強度,而在于改變了降解的路徑和效率,從而對磷循環產生了不成比例的放大效應。這凸顯了在復雜生物地球化學研究中,對基礎過程(如耗氧)進行精確量化對于理解更高層次生態效應的重要性。