熱線:021-66110810,66110819
手機:13564362870

熱線:021-66110810,66110819
手機:13564362870
Estimating photosynthetic activity in microbial mats in an ice-covered Antarctic lake using automated oxygen microelectrode profiling and variable chlorophyll fluorescence
使用自動氧微電極分析和可變葉綠素估計冰覆蓋的南極湖泊中微生物墊中的光合作用
來源:Limnol. Oceanogr., 59(3), 2014, 674–688
1. 摘要核心內容
該論文摘要指出,研究利用自動氧微電極剖面儀在南極湖Hoare冰蓋下的微生物墊中測量到了從正午(光量子通量20 μmol m?2 s?1)到午夜(<2 μmol photons m?2 s?1)持續向上的氧氣通量,日平均通量為200 μmol m?2 h?1。盡管通量在正午最大,但其與輻照度的相關性很弱。與此同時,通過可變葉綠素熒光估算的相對電子傳遞速率(rETR)則顯示光系統活性與輻照度呈線性關系。這種矛盾源于:在這些透明的凝膠狀微生物墊深處(觀測到晝夜氧氣變化深達17 mm)存在光合產氧,而氧氣擴散速率太慢,無法使氧氣濃度剖面與即時的氧氣生產和消耗達到平衡。為證實這一點,研究者建立了一個包含擴散、光合作用和呼吸作用的氧氣動力學數學模型。模擬進一步表明:(1)凈產氧受光限制,且僅限于墊子上部幾毫米;(2)在5-7 mm以下,呼吸作用與光合作用平衡;(3)在17 mm以下,盡管存在有機碳和溶解氧,呼吸和光合作用趨近于零;(4)墊子深處的光合作用依賴于光在凝膠基質中的高透射率。這些結論與當前對微生物墊生長動力學的理解一致,并為長期分析微生物墊生產力提供了方法。
2. 研究目的
本研究旨在利用自動氧微電極剖面技術和脈沖調制式(PAM)熒光測定法,描述南極干河谷湖泊(以Lake Hoare為例)中底棲光合作用的時間變化模式。初始目標是利用氧氣剖面建立光照-活性關系,但更核心的目的是解釋觀測到的矛盾:即為何氧氣通量與即時光照無關,而基于熒光的電子傳遞速率卻與光照線性相關,從而深化對極端環境下微生物墊代謝動力學的理解。
3. 研究思路
研究采用現場自動觀測、實驗室測量與數學模型模擬相結合的思路:
現場原位觀測:在湖底10米深處,使用搭載Unisense氧微電極的自動剖面儀,每小時測量一次微生物墊及其上覆水體的溶解氧垂直剖面,同步記錄輻照度。同時,使用潛水式PAM熒光儀測量墊子表面的熒光參數,計算相對電子傳遞速率(rETR)。
樣品實驗室分析:將采集的微生物墊樣品在湖邊實驗室進行分層(橙、粉、無色區),分析葉綠素a和藻膽蛋白含量,并使用標量輻照度傳感器測量墊子內部不同波段的光衰減系數。
數據整合與模擬:當發現傳統的穩態剖面分析法不適用后,建立了一個顯式氧氣動力學模型。該模型以實測的氧氣剖面為起點,結合實測的光衰減數據估算光合作用分布,利用黑暗期氧氣消耗估算呼吸作用分布,并通過菲克擴散定律耦合這些過程,模擬氧氣剖面隨時間的演變,以揭示擴散、光合、呼吸三個過程的相對貢獻。
4. 測量的數據、研究意義及來源
微生物墊結構與色素組成:微生物墊呈現清晰的層狀結構,分為上部的橙色區(0-7 mm,代表近3年生長)、中部的粉色區(7-17 mm,代表3-10年前生長)和深部的無色區(>17 mm,>10年)。橙色區的葉綠素a和藻紅蛋白含量顯著高于粉色區。意義:將物理結構與年代學、光合色素分布關聯,為解釋垂向代謝差異提供了生物學和年代學基礎。數據來自圖1及第3.1節“Mat characteristics”的文字與數據分析。

溶解氧垂直剖面與日變化:數據顯示,即使在午夜,微生物墊也始終是氧氣的凈源。白晝在墊子表層下約5 mm處形成一個寬約10 mm的氧氣濃度峰值,夜間該峰消失。氧氣濃度在15-20 mm深度(粉-無色區交界)晝夜剖面匯合,此處濃度仍高達1400 μmol L?1以上,遠高于上覆水體和大氣飽和值。意義:直接證明了微生物墊在全天均為凈自養;揭示了寬而深的產氧區以及墊內長期維持高濃度氧氣的獨特現象,這與溫帶微生物墊形成鮮明對比。數據來自圖2(輻照度背景)、圖3、圖4(典型剖面日變化)和圖5(單個實驗的濃度與通量變化)。




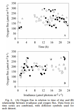
氧氣通量及其與輻照度的關系:計算得出從墊子進入水體的平均氧氣通量約為200 μmol m?2 h?1,雖有午間峰值,但與剖面測量時的即時輻照度耦合很弱(圖6B)。意義:這一關鍵發現挑戰了光合作用速率應與即時光照直接相關的常規認知,引出了本研究的核心科學問題——擴散限制導致信號滯后。數據來自圖6A(通量日變化)和圖6B(通量與輻照度散點圖)。

PAM熒光參數:原位測量顯示,相對電子傳遞速率(rETR)與輻照度呈強線性關系(圖7A),PSII的有效量子產量(YII)在0.3-0.4之間,僅隨光強增加緩慢下降(圖7B)。離體成像PAM顯示,最大量子產量(Fv:Fm)在粉色區最高(~0.5),在深部無色區仍可檢測到信號。意義:證明了光合機構在低光下未被光飽和且效率較高;熒光信號與光的線性響應,與氧氣通量信號脫節,凸顯了生理活性與凈氣體交換之間的差異主要由物理擴散過程控制。數據來自圖7和圖8。


墊內輻照度衰減:測得微生物墊內輻照度衰減系數(Ko)很低,在740-750 nm(非色素吸收)波段為0.14 mm?1,在色素吸收波段(如670-680 nm對應Chl a)為0.24-0.29 mm?1。意義:量化了墊子凝膠基質的極高透光性,這解釋了為何光合作用能深入墊層內部(深達17 mm),是產生“寬而深”的氧氣峰的先決條件。數據來自圖9。

呼吸速率垂直分布:通過分析黑暗連續剖面的氧氣消耗估算,呼吸速率在橙色區2-5 mm深度最高(15-25 μmol L?1 h?1),隨深度下降,在粉-無色區交界(15-20 mm)趨近于零(圖10)。意義:表明代謝活性(呼吸)主要集中在較新的墊層,深層老舊有機碳的呼吸消耗極低,這解釋了為何深層能長期維持高氧狀態。數據來自圖10。

氧氣動力學模擬結果:模型成功再現了觀測到的氧氣剖面演變(圖11)。模擬分析表明,凈產氧的83%發生在橙色區,僅17%在粉色區;粉色區91%的光合產氧被本地呼吸消耗,而橙色區該比例為40%。意義:定量拆解了擴散、光合、呼吸的貢獻,證實凈生長主要發生在表層;揭示了粉色區處于“代謝維持”狀態,而橙色區是碳凈積累區;從機理上證明了擴散緩慢是導致氧氣通量無法即時響應光照變化的原因。**數據來自圖11、圖12及相關文字分析。


5. 研究結論
Lake Hoare湖底的微生物墊在夏季是凈自養系統,持續向水體輸出氧氣,是重要的碳匯。
觀測到的氧氣通量與即時輻照度缺乏相關性,并非由于光合機構響應非線性,而是由于墊子基質透光性高、產氧層厚,導致氧氣擴散緩慢,氧氣濃度分布嚴重滯后于光合產氧率的變化。
微生物墊在垂向上是高度分層的代謝系統:表層橙色區是凈生長和碳積累的主要區域;其下的粉色區光合與呼吸近乎平衡,處于代謝維持狀態;深部無色區代謝活性極低。
墊子深層(>17 mm)呼吸速率極低,盡管存在有機碳和充足氧氣,分解緩慢,這可能是由于有機物(如多年積累的胞外多糖)難以被微生物降解。
PAM熒光技術適用于捕捉該低光環境下光合活性的時空變化,而結合自動氧剖面測量與數學模擬,能夠解析復雜的生物地球化學過程,是評估極端環境底棲生產力的有力工具。
6. 詳細解讀:使用丹麥Unisense電極測量數據的研究意義
本研究使用了丹麥Unisense公司生產的MP4微型剖面儀及其配套的Clark型水下溶解氧微電極。該電極系統所獲數據在本研究中具有以下關鍵意義:
實現了極端環境下的長期、自動、高分辨率原位監測:Unisense MP4系統能夠由程序控制,每隔一小時自動將電極刺入微生物墊,以250 μm的間隔采集溶解氧數據。這首次使在南極厚冰層下、通過單一鉆孔對底棲群落進行跨越半天(從正午到午夜)的連續、高分辨率剖面觀測成為可能。傳統方法依賴潛水員手動操作,耗時、危險且數據點有限。這種自動化能力是獲取揭示“氧氣峰日變化”和“通量滯后”現象所需時間序列數據的關鍵,否則本研究的核心發現將無法被捕捉。
提供了揭示“擴散限制”核心機理的直接證據:Unisense微電極提供的高空間分辨率氧氣剖面(如圖3,圖4),直觀顯示了兩個相互關聯的獨特現象:一是產氧峰寬度達10毫米且位于次表層,二是從墊子內部到上覆水體的氧氣濃度梯度在晝夜始終存在但形狀變化緩慢。這些精確的濃度分布數據是推斷“擴散速度趕不上生產過程變化”這一物理限制的直接依據。如果沒有微電極揭示的寬峰形態和高濃度值,研究者就無法質疑穩態假設,也無法量化擴散的時間尺度。因此,該數據是連接“高透光墊子生物學特性”與“觀測到的通量-光照脫節現象”之間的橋梁。
為構建和驗證數學模型提供了不可或缺的輸入與校驗基準:本研究的數學模型需要真實的邊界條件和驗證數據。Unisense電極數據在其中扮演了雙重角色:
作為模型輸入:實測的起始氧氣剖面(如圖11A)是模型運行的初始狀態;基于微電極在黑暗時段測量的氧氣消耗計算出的呼吸速率剖面(圖10)是模型的關鍵參數。
作為驗證標準:模型模擬出的剖面演變(圖11C)需要與后續時間點實際測得的氧氣剖面進行對比,以評估模型的準確性。Unisense系統提供的連續、高質量的觀測數據序列,使得這種驗證成為可能,極大地增強了模型結論的可信度。
深化了對南極冰下湖泊生態系統獨特性的認知:Unisense電極測量的高精度氧氣數據揭示了Lake Hoare微生物墊與溫帶墊子的根本差異:深層(>17 mm)仍維持高氧而非缺氧。這一反直覺的現象(圖3,圖4中深層濃度匯合于高值)直接指向了該生態系統“低呼吸速率”和“有機物難降解”的特性。微電極數據使得量化這種低呼吸率成為可能(圖10),從而引發了關于極端環境下碳循環速率和微生物代謝策略的新思考(如文中討論的“老舊多糖難降解”和“藍細菌不上遷”之謎)。
綜上所述,丹麥Unisense氧微電極系統在本研究中遠不止是一個高精度的傳感器。它是一個使能技術,使在極端險峻環境中進行長期自動化觀測成為現實;它是一把高分辨率的解剖刀,揭示了微生物墊內部氧氣動力學的精細時空結構;它更是一塊基石,其提供的定量數據支撐起了從現象質疑、機理假設到模型驗證的完整科學論證鏈條。這項研究充分展示了Unisense微電極技術在解決特定環境生物地球化學前沿問題中的不可替代價值。