熱線:021-66110810,66110819
手機:13564362870

熱線:021-66110810,66110819
手機:13564362870
為了量化Geobacter生物膜深度方向上的實時pH分布,使用pH微電極獲得了pH-深度剖面。它們在不同的電流水平下進行了測量,如圖1中所示的紅色箭頭。pH微電極尖端首先放入批量溶液中,距離生物膜表面數千微米,然后逐步向下移動。3.4陽極表面附近和批量溶液中的pH變化
從圖2可以看出,隨著生物膜的生長,靠近陽極表面和溶液中的pH值逐漸降低。顯然,隨著電流增加,給定位置的實時pH值降低,這意味著隨著時間的推移,在生物膜內積累了越來越多的質子。為了更清楚地看到這種趨勢,圖4(a)將其作為電流密度的函數呈現。在生物膜底部,電流密度為1.07 A m-2時,pH約為7.33,當電流密度增加到4.46 A m-2時,降至6.57,繼續下降到7.93 A m-2時的6.12,并在440小時生長后的最大電流密度為10.71 A m-2時達到更低的值為5.72。然而,在此之后,生物膜底部的pH在衰減電流(10.23 A m-2)在455小時時降至其最低值為5.57。
當介質在482小時(10.70 A m-2)更換時,它略有上升至5.63。此外,在批量溶液中,pH水平也呈下降趨勢。由于自由質子通過邊界層從內部生物膜傳輸到批量溶液,它從1.07A m-2的7.40下降到10.23A m-2的6.90。總的來說,在厚度為350mm的Geobacter生物膜(10.23A m-2)附近檢測到的pH水平為5.57,而批量溶液的pH為6.90。讓我們再次返回到圖4(a)。計算了批量溶液和陽極表面之間的pH差異。由于更大的電流密度和因此更厚的生物膜肯定會導致更重的質子積累,差異隨電流密度增加而增加。可以發現,電流密度為1.27 A m-2時,pH差異僅為0.11 pH單位。它增加到5.89 A m-2時為0.63。如果電流密度為10.71 A m-2,則pH差異進一步增加到1.06,對應的批量層和生物膜底部的pH值分別為6.78和5.72。這意味著電極表面附近的質子濃度幾乎比批量層高出11.5倍。還可以發現,pH差異幾乎與電流密度線性增加(r2=0.98),如圖S6所示。在長時間大電流操作后,pH差異達到了其最大值,在10.23 A m-2時為1.33單位,這意味著電極表面附近的質子濃度幾乎比批量溶液高出20倍。
圖4.陽極表面附近和批量溶液中的pH變化以及作為電流密度函數的pH差異(a)。Geobacter生物膜內平均pH變化曲線及各種電流密度下相應的質子濃度曲線,插圖顯示了電流密度和平均pH值之間的線性相關性(r2=0.99)(b)。
3.5 Geobacter生物膜內的平均pH
根據生物膜厚度和質子濃度深度剖面,可以通過以下方程計算Geobacter生物膜內的平均質子濃度,
例如,通過計算圖2(f)中顯示的陰影區域的積分,可以輕松計算出生物膜內的平均質子濃度。然后可以從中獲得平均pH。通過這種方式,可以為不同電流密度條件下確定陽極生物膜內的平均pH。根據圖2中的數據,計算得到的平均pH值分別為1.27 A m-2、2.58 A m-2、2.97 A m-2、5.89A m-2、7.93 A m-2、9.25 A m-2、9.83A m-2和10.23A m-2時分別為7.29、7.01、6.91、6.48、6.20、6.00、5.88和5.61。
圖4(b)呈現了生物膜內平均pH的變化曲線以及相應的質子濃度曲線。可以看出,平均pH值隨著電流密度的增加而降低,這僅僅是質子在生物膜內積累的結果。然后,在長時間大電流操作后,它跟隨著一個大的降低。在此之前,揭示了在生物膜內平均pH值是電流密度的線性函數,其水平高達r2=0.99,如圖4(b)中所示的插圖。這一發現可以用來根據電流密度估算Geobacter生物膜的平均pH。還可以觀察到,平均質子濃度隨著電流密度穩步增加,然后跟隨著一個大的增加。
還可以發現,生物膜內的平均pH隨著生物膜厚度減小而減小。隨著生物膜厚度從90mm增加到325mm,它從7.29降至5.88,然后在350mm厚的生物膜中急劇下降至5.61。這意味著檢測到的自由質子在Geobacter生物膜內的積累增加了26倍(1.41 pH單位),與初始生物膜相比,生物膜厚度從90mm增加到325mm時,甚至增加到48倍(1.68 pH單位),證明在50mM磷酸鹽緩沖條件下,350mm厚的生物膜內的質子不能有效地被輸送出來。
3.6循環伏安法
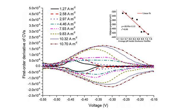
在pH測量后記錄了CV,如圖S7所示。所有CV都顯示了一個典型的S形狀,類似于文獻報道的Geobacter主導的生物膜中的乙酸氧化反應[19,20]的響應。CV的一階導數用于檢查中點電位,如圖5所示。從這張圖中可以看出,乙酸氧化的一個主要氧化還原對和中點電位隨電流密度增加而略微向右移動。在1.27 A m-2時,中點電位為0.425 V vs.Ag/AgCl,平均pH值為7.29。隨著電流增加到5.89 A m-2,它在0.357 V處,平均pH值為6.48。最后,中點電位在10.70A m-2時增加到0.328 V vs.Ag/AgCl,平均pH為5.71。從這些結果可以得出結論,隨著生物膜內pH的降低,中點電位逐漸增加。圖5中的插圖描述了中點電位曲線與生物膜內平均pH的關系。進行了最小二乘回歸,結果表明它們之間存在良好的線性關系。擬合線的斜率為59.0 mV每個pH移動,接近Nernst方程的理論值(每個pH 59.2 mV)。這種變化的主要原因可能是這里的電子轉移過程是質子耦合或依賴的,這意味著細菌中電子轉移的復雜機制與細菌新陳代謝中的氧化還原和質子泵機制相關,并且與pH相關[20,21]。因此,可以得出結論,Geobacter生物膜內平均pH的輕微變化將導致中點電位的大幅波動。反過來,中點電位的變化也檢驗了生物膜內的pH值隨電流密度的持續變化。
圖5.CV的一階導數圖(di/dV),插圖顯示了Geobacter生物膜內平均pH水平變化的中點電位。
3.7緩沖濃度對pH分布的影響
緩沖溶液始終用于減少生物膜團簇內的質子積累[22–25]。為了進一步評估緩沖濃度對Geobacter生物膜內pH分布和電流產生的影響,依次在不同緩沖濃度介質(50 mM、75 mM、100 mM、50 mM和25 mM)下進行了實驗。50 mM溶液被喂入反應器兩次,以確保Gerobacter生物膜的活性。在整個實驗過程中,所有流入的pH均保持在約7.35 x0007 7.50。圖S8顯示了不同緩沖濃度條件下的電流曲線。50 mM、75 mM、100 mM、50 mM和25 mM磷酸鹽緩沖流入的電流密度分別為10.73 A m-2、12.5 A m-2、16.50A m-2、9.80 A m-2和6.01 A m-2。
對于pH測量,對于每種緩沖條件選擇了生物膜上的至少3個位置,測得的數據顯示在圖S9中。圖6呈現了計算得到的平均pH分布。25 mM條件下,陽極表面附近的pH值約為4.91,明顯小于50 mM、75 mM和100 mM的陽極表面附近的pH值,分別為5.31、5.82和5.73。這表明在低緩沖濃度條件下,質子不能有效地從生物膜中運出,細胞活性以及電流產生受到嚴重限制。經過576小時的培養后,從生物反應器中取出了覆蓋有Geobacter生物膜的陽極。圖S10是刪除了電極表面一半生物膜的數字照片,以供比較。
圖6.緩沖濃度(25 mM、50 mM、75 mM和100 mM)對Geobacter生物膜內pH分布的影響。誤差線表示標準偏差。
4結論
本研究利用pH微電極調查了不同電流密度下Geobacter生物膜內的空間pH分布。在350um厚的Geobacter生物膜(10.23A m-2)中,與批量溶液的6.90相比,陽極表面附近檢測到的pH水平低至5.57。在這里,pH差異達到了1.33個單位的最大值,這意味著電極表面附近的質子濃度幾乎比批量溶液高出20倍。本研究還表明,在低緩沖濃度條件下,厚生物膜中的質子不能有效地被輸送出生物膜。
致謝
本工作得到了中國國家自然科學基金項目(No.51676004)的支持。
相關新聞