熱線:021-66110810,66110819
手機:13564362870

熱線:021-66110810,66110819
手機:13564362870
溫度和沉積層對沉積物中不同種類微囊藻菌落存活的影響
微電極分析表明,含有微囊藻菌落的表層為需氧層,深層為厭氧層(支持材料中的圖S1)。
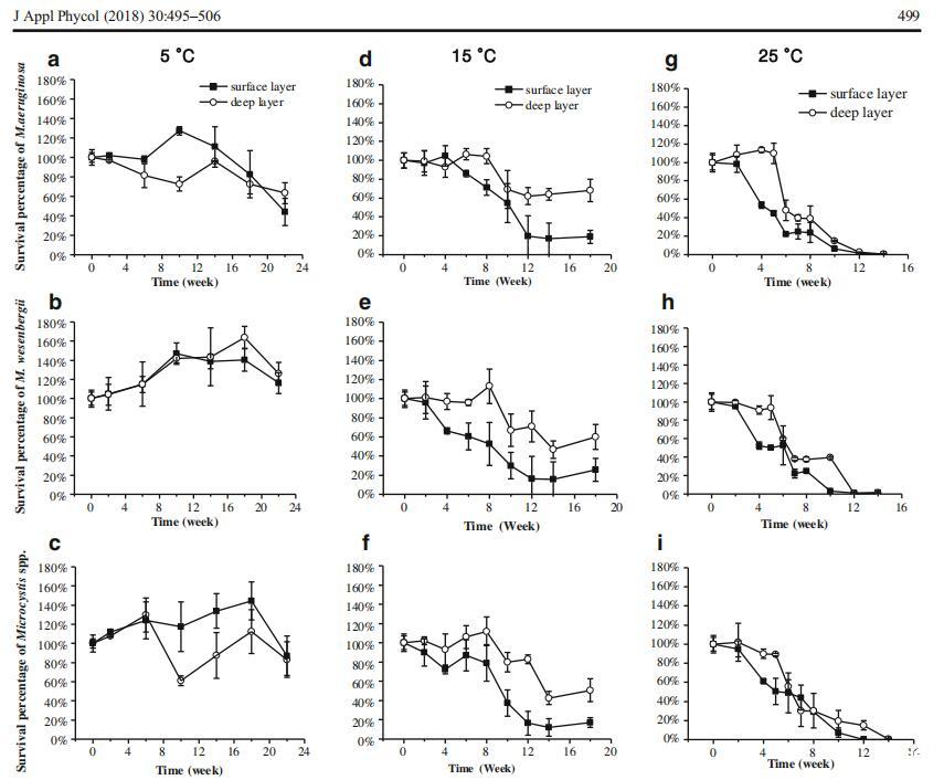
微囊藻菌落在不同沉積條件下的存活能力如圖2所示。通過三因素重復方差分析,分析了溫度、微囊藻種類和沉積層對微囊藻菌落存活的影響。溫度是顯著影響底棲微囊藻菌落存活的唯一因素(P<0.001,表1)。具體而言,25°C的溫度對長期存活不利,如相應的事后測試所示。此外,存在顯著的溫度-層相互作用(P=0.003),表明層間差異取決于所討論的溫度,反之亦然。三次重復的單因素方差分析顯示,在15°C(P=0.007)和25°C(P<0.001)時,沉積物深層微囊藻菌落的存活率顯著大于表層微囊藻菌落的存活率,而在5°C時,微囊藻菌落的存活率無顯著差異(P=0.260)。在5°C時,衛森伯格支原體的存活率顯著高于銅綠支原體(P=0.018)。然而,在15°C和25°C時,衛森伯格支原體和銅綠支原體的存活率沒有統計學差異(分別為P=0.740和0.981)。

圖2不同溫度下沉積物表層和深層微囊藻菌落的存活率,表示為存活百分比:5℃下銅綠微囊藻a、5℃下魏森伯格微囊藻b、5℃下微囊藻C、15℃下銅綠微囊藻d、15℃下魏森伯格微囊藻e、15℃下微囊藻f、25℃下銅綠微囊藻g,h M.wesenbergii在25°C下,i.微囊藻在25°C下。根據我們的實驗前結果,針對不同的溫度設置了不同的采樣間隔
如表1所示,時間的處理內效應以及時間與三個因素(溫度、微囊藻種類和層數)之間的關系都是顯著的,表明沉積物中存活微囊藻細胞的密度隨時間而變化。此外,變化模式因微囊藻種類、溫度和沉積層而異。因此,通過單因素重復方差分析和Tukey事后檢驗,分別研究了不同沉積條件下不同微囊藻群的變化規律。
表1重復測量了14周內溫度(5、15和25°C)和沉積層(表層和深層)對不同種類微囊藻菌落(銅綠假單胞菌、魏森伯格微囊藻和這兩種微囊藻的1:1混合物)存活率影響的方差分析
在5°C溫度下,沉積物表層和深層中存活的銅綠假單胞菌的豐度在前18周內沒有顯著變化,僅在第22周下降(分別為P=0.048和0.044)。在整個實驗過程中,表層魏森伯格支原體和微囊藻的豐度沒有顯著差異(分別P=0.134和0.191)。在深層,在整個實驗過程中,細胞數量具有可比性,但衛森伯格支原體在第18周(P=0.020)和混合微囊藻菌落在第10周(P=0.003)除外。當比較初始(第0周)和最終(第22周)細胞密度時,僅發現表層中的銅綠假單胞菌存在顯著差異。
在15°C下,在初始滯后期后,表層微囊藻豐度的減少變得相當迅速,此后從第12周到試驗期結束,存活率穩定在約25%。銅綠微囊藻的滯后期為4周(第4周與第6周的P值為0.015),而威森伯格微囊藻的滯后期為2周(第4周與第6周的P值為0.013)。在深層,所有三個系列的微囊藻菌落在前8周保持穩定,僅在第8周至第12周(銅綠假單胞菌)或第14周(維森貝格氏微囊藻菌落和混合微囊藻菌落)出現明顯損失。隨后,未發現顯著下降,試驗結束時,所有三個系列的微囊藻的存活率均保持在50%以上(銅綠假單胞菌為64.58%,韋森貝基微囊藻為59.22%,混合微囊藻菌落為50.80%)。
在25°C下,所有三個微囊藻系列的動力學表現出相似的趨勢。經過2周的滯后期后,表層微囊藻的存活率降至接近零,直到第12周。在深層,5周的滯后期顯著延長。銅綠假單胞菌和混合微囊藻菌落的存活率在第14周降至接近零,而衛森伯格假單胞菌的存活率在第12周降至接近零。
底棲微囊藻群體中微囊藻毒素總含量和微囊藻毒素配額的動態
計算并比較了沉積物中微囊藻菌落的總MC含量。MCLR和MC-RR的濃度在所有條件下均表現出良好的相關性(皮爾遜相關性,N=192,R=0.980,P<0.001)(圖3)。因此,在本研究中,我們沒有將它們分開,而是將它們統稱為BMC^。我們比較了三組微囊藻菌落的存活率:毒性銅綠假單胞菌、無毒魏森伯格微囊藻菌落和兩種微囊藻的1:1混合物(表示為微囊藻屬)。僅分析了銅綠假單胞菌和微囊藻組的MC含量。MC含量的動態表現在兩個層面:表層或深層沉積物中所有存活微囊藻菌落的MC總含量和MC配額,其計算方法為總MC含量除以細胞計數的商。微囊藻群的MC配額可能受到銅綠假單胞菌和威森伯格假單胞菌豐度比的影響。因此,僅使用銅綠假單胞菌的MC配額來反映每個細胞間MC含量的變化(圖4)。
圖3 5°C下銅綠假單胞菌a和微囊藻PP沉積物表層和深層微囊藻菌落中MC-RR總含量的動態。在5°C下,銅綠假單胞菌在15°C下,d微囊藻PP。在15°C下,銅綠假單胞菌在25°C下,微囊藻屬在25°C下。根據我們的實驗前結果,針對不同的溫度設置了不同的采樣間隔
圖4 5°C(a)、15°C(b)和25°C(C)條件下沉積物表層和深層中銅綠假單胞菌的微囊藻毒素配額。根據我們的實驗前結果,針對不同的溫度設置了不同的采樣間隔
溫度和沉積層顯著影響沉積物中微囊藻菌落的總MC含量(表2)。在較低溫度下,微囊藻菌落的總MC含量在深層顯著較高。此外,存在顯著的溫度-層相互作用(P=0.003),表明層間差異因溫度而異。
表2重復測量溫度(5、15和25°C)和沉積層(表層和深層)對微囊藻菌落(銅綠假單胞菌、1:1的銅綠假單胞菌和韋森伯格假單胞菌混合物)MC-RR總含量影響的方差分析
在不同溫度下分別進行單向重復方差分析和Tukey的事后檢驗。在5°C下,整個試驗期間,銅綠微囊藻和混合微囊藻菌落中的MC總含量沒有顯著差異(表層銅綠微囊藻,P=0.062;表層微囊藻屬,P=0.065;深層銅綠微囊藻,P=0.137;深層微囊藻屬,P=0.087)。通過兩兩比較,第22周表層菌落的總MC含量顯著低于其他采樣日期。在15°C和25°C時,銅綠假單胞菌中的總MC含量在實驗期間顯著下降(P<0.05)。在15°C的深層,銅綠假單胞菌和微囊藻菌落的總MC含量在前8周保持穩定(銅綠假單胞菌,P=0.167;微囊藻,P=0.088),并從第10周到實驗結束顯著下降。在15°C的表層中,MC的總含量在第二周或第四周開始顯著降低,在其余的實驗期間,這種降低趨勢持續。在25°C時,銅綠假單胞菌和微囊藻菌落的總MC濃度在前5周迅速下降,隨后在表層和深層均保持較低水平。表層銅綠假單胞菌細胞中MC濃度顯著低于深層銅綠假單胞菌(P<0.001)。
溫度和沉積層顯著影響綠膿桿菌的MC配額(P<0.001,表3)。在較高溫度(25°C)和表層,銅綠假單胞菌的微囊藻毒素配額顯著降低。時間的內處理效應,以及時間與溫度和層之間的關系都是顯著的。
表3重復測量了14周內溫度(5、15和25°C)和沉積層(表層和深層)對銅綠假單胞菌微囊藻毒素配額影響的方差分析
對每個溫度進行單因素方差分析和Tukey的事后檢驗。與三因素方差分析的統計結果不同,根據單因素方差分析(5°C,P=0.062;15°C,P=0.449;和25°C,P=0.371),兩層沉積物中銅綠假單胞菌的MC配額之間未發現顯著差異。在5°C時,第一周銅綠假單胞菌的MC配額與第6、第10和第22周的MC配額相當,但顯著低于或高于第2、第14和第18周的MC配額。在15°C時,只有第2周和第14周的MC配額與初始值顯著不同。在5°C和15°C下采集的樣品中,銅綠假單胞菌的MC配額沒有顯著差異。雖然在一些采樣日期存在波動,但微囊藻毒素配額在5°C和15°C下在表層和深層沉積物中基本穩定。在25°C下,任何采樣日期的MC配額都明顯低于實驗開始時。
沉積物中微囊藻群體光合活性的動態
使用三因素重復方差分析測試分析溫度、微囊藻種類和層數對微囊藻菌落Fv/Fm的影響(圖5)。溫度和沉積層顯著影響底棲微囊藻菌落的Fv/Fm(P<0.01,表4)。在所有沉積條件下,微囊藻的Fv/Fm逐漸降低,在較高溫度(P<0.001)和表層(P=0.002)下,Fv/Fm的下降百分比增加。毒性銅綠假單胞菌和無毒韋森伯格假單胞菌的Fv/Fm無顯著差異(P=0.320)。
圖5不同溫度下沉積物表層和深層微囊藻的有效量子產率(單位:PSII(Fv/Fm))。銅綠假單胞菌在5°C時,銅綠假單胞菌在5°C時,銅綠假單胞菌在5°C時,銅綠假單胞菌在15°C時,銅綠假單胞菌在15°C時,銅綠假單胞菌在15°C時,銅綠假單胞菌在25°C時,銅綠假單胞菌在25°C時,銅綠假單胞菌在15°C時,銅綠假單胞菌在15°C時,銅綠假單胞菌在15°C時,銅綠假單胞菌在25°C時,銅綠假單胞菌在25°C時,銅綠假單胞菌在25°C時,銅,根據我們的預實驗結果
表4重復測量了14周內溫度(5、15和25°C)和沉積層(表層和深層)對綠膿桿菌光合活性影響的方差分析
治療時間內的療效顯著。微囊藻菌落的豐度開始下降之前有一段滯后期。然而,在整個實驗過程中,Fv/Fm值顯著降低。時間與三個因素(溫度、微囊藻種類和層)之間的關系顯著,表明下降速度受微囊藻種類、溫度和沉積層的影響。
在這項研究中,我們考察了在受控實驗室條件下,考慮溫度和氧氣的影響,底棲微囊藻菌落的存活能力。我們不打算在不同溫度下模擬底棲微囊藻群落的整個壽命,因為淺水湖泊中沉積物的溫度是周期性的,并隨季節變化。相反,我們采用了為期4-6個月的模擬試驗來評估底泥中微囊藻菌落的存活能力。
在5°C條件下,表層和深層沉積物中的微囊藻菌落豐度在實驗結束時(第22周)沒有顯著減少,表層中的銅綠假單胞菌除外。在15°C和25°C時,沉積物中微囊藻菌落的豐度在初始滯后期后迅速下降,隨后存活率穩定下來,直到實驗結束。物流模型(方程式1)大致符合沉積物中微囊藻菌落在15°C和25°C下存活百分比的動態:
其中t、y、t0和p分別代表采樣時間、沉積物中微囊藻的存活百分比、中心時間和功率。A1和A2代表存活率穩定的初始值和最終值。通過對模型進行一階導數,得到了變化過程的開始時間和結束時間,分別用t1和t2表示。也就是說,微囊藻細胞的存活率在t1的初始滯后期后開始下降,此后存活率從t2到試驗期結束穩定在A2(表5)。
表5根據邏輯模型計算的15或25°C條件下不同沉積物層中微囊藻菌落的存活百分比
較大的初始延遲時間(t1)和最終存活率(A2)可以反映較高的存活率。由于在5°C下22周的實驗過程中幾乎沒有發現任何顯著的下降,t1和A2可分別被視為22周和100%。通過比較不同條件下微囊藻菌落的t1和A2,我們得出以下結論:(1)低溫有利于微囊藻菌落在沉積物中更長的存活時間,(2)銅綠假單胞菌的最終存活百分比(表5中的A2)在15℃和25℃時高于衛森伯格微囊藻,深層微囊藻的存活率顯著高于表層微囊藻。微囊藻菌落的存活能力可與植物種子的存活能力相比較,植物種子埋在土壤中時,可作為下一季萌發的種子庫;硬殼種子可以在土壤中存活數十年,同時在適當條件下保持發芽能力。因此,沉積微囊藻菌落也可以被認為是一種種子庫;在野外條件下,微囊藻形成由數十個、數百個或數千個細胞組成的菌落,細胞被厚厚的鞘覆蓋。就像種子的外殼一樣,微囊藻菌落的鞘可以保護微囊藻細胞免受不利的底棲條件的影響。低溫和厭氧條件促進了種子和底棲微囊藻群體的長期存活(Andrade,2001年)。
溫度是影響沉積物中微囊藻菌落存活的最重要因素。在5°C溫度下22周的實驗過程中,微囊藻數量幾乎沒有顯著減少,而在25°C溫度下,超過90%的底棲生物種群在3個月內消失。這些結果與現場調查結果一致。例如,微囊藻菌落可以在格蘭根特湖(法國)的沉積物中存活長達6年,那里的溫度總是低于10℃(Misson等人,2012a)。在德國Quitzdorf水庫的另一個湖泊的沉積物中,當溫度在再侵入階段持續高于12°C時,65%到85%的底棲微囊藻群落死亡(Ihle等人,2005年)。本研究定量揭示了沉積物中微囊藻菌落的存活情況。根據我們的研究結果和亞熱帶淺水湖泊溫度的實際季節變化,大多數底棲微囊藻群落能夠成功越冬,因此有可能在第二年春天接種水柱,但它們不能在亞熱帶淺水湖泊的沉積物中積累多年。
氧氣水平是決定底棲微囊藻菌落存活的另一個因素。微囊藻菌落在好氧表層沉積物中的存活率顯著低于厭氧深層沉積物。如表1所示,在15°C下放置17周后,上層沉積物中微囊藻菌落的豐度下降,存活率低于20%,而深層沉積物中的種群減少率低于50%。其他研究人員也報告說,沉積物表層中有更高比例的微囊藻菌落消失(Brunberg和Blomqvist,2002年;Ihle等人,2005年),這可能是再侵入和細胞溶解的結果。其他藍藻,如圓柱狀振蕩藻,也對氧敏感,在還原條件下比有氧條件下存活更長(Richardson和Castenholz 1987)。
毒性銅綠假單胞菌和無毒維森伯格假單胞菌具有相似的存活能力,盡管銅綠假單胞菌在15°C和25°C下的最終存活效率(表5中的A2)高于維森伯格假單胞菌。一些研究人員發現,MCs可能參與了底棲微囊藻的存活機制。因此,有毒微囊藻菌落可能比無毒菌落更容易越冬(Ihle等人,2005年;Misson等人,2012a)。然而,在我們的研究中,毒性銅綠假單胞菌和無毒維森伯格假單胞菌的存活率沒有顯著差異。覆蓋鞘的厚度可能是影響微囊藻生存能力的關鍵因素。在沉積物中,有鞘光養生物比無鞘光養生物壽命更長(J?rgensen等人,1988年)。銅綠假單胞菌的鞘比維森伯格假單胞菌的鞘薄得多。因此,有毒銅綠假單胞菌中的MC可能有利于其長期存活。然而,這一優勢可能被銅綠假單胞菌較薄的鞘層所抵消。在另一項研究中,在沉淀物中埋藏6年和33年的底棲微囊藻種群之間,未發現有毒和無毒細胞比例的顯著差異(Rinta Kanto等人,2009年)。需要進一步的研究來揭示細胞內MC在底棲微囊藻菌落存活中的生理作用。
在5℃和15℃下,微囊藻細胞中的MC含量在實驗期間基本保持穩定。因此,可以推斷,在黑暗條件下,沉積物中不會產生MCs。此外,底棲微囊藻保存的MCs沒有作為碳源消耗或釋放到周圍環境中。然而,在25°C時,微囊藻細胞的MC配額顯著降低。在此溫度下,微囊藻細胞的光合活性顯著降低。微囊藻細胞膜也可能受損,細胞間MC可能從細胞中釋放,導致MC配額下降。Wu等人(2015年)還發現,新鮮藍藻樣本中的細胞內MC在細胞破裂之前不會迅速減少。對于野生樣本,微囊藻種群包括有毒和無毒兩種形式。因此,現場樣本中MC配額的波動可能主要取決于有毒和無毒細胞的相對比例,而不是有毒細胞的細胞內MC含量水平。在我們的研究中,定量測定了群體微囊藻菌株純培養物中細胞內MC的動態,從而消除了群落組成的任何潛在影響,并提供了更具針對性的結果。底棲微囊藻群體的光合活性逐漸下降,在較高溫度下下降幅度較大。我們的研究結果和其他研究結果表明,在沒有光照的情況下,沉積物中PSII的光化學效率逐漸降低(Sch?ne等人,2010)。當溫度低于15°C時,毒性細胞和無毒細胞的存活率沒有顯著差異,細胞內含量穩定。因此,在越冬和再入侵期間,底棲微囊藻種群的毒性沒有顯著變化。
在這項研究中,我們系統地研究了微囊藻菌落在表層和深層沉積物中,在不同季節對應的不同溫度下的存活能力。低溫和厭氧條件促進了底棲微囊藻菌落的長期存活。毒性銅綠假單胞菌和無毒魏森伯格假單胞菌表現出相似的存活能力,在實驗期間,底棲微囊藻細胞的MC含量在5℃和15℃下保持穩定。因此,在越冬和再入侵期間,底棲微囊藻種群的毒性沒有顯著變化。我們的研究表明,大多數底棲微囊藻群體能夠成功越冬,微囊藻毒素得以保存,光合活性得以維持,顯著增加了水華形成的風險。因此,需要采取疏?;蚋采w沉積物等人工措施,以避免沉積物中累積微囊藻菌落的不利影響。在夏季,當亞熱帶淺水湖泊的溫度較高(例如25°C)時,底棲生物種群的存活率在3個月內降至接近零。因此,底棲微囊藻種群不能在亞熱帶淺水湖泊的沉積物中積累多年。
中國國家自然科學基金(31270509和31370504)、中國水污染防治與治理重大科學技術計劃(2013ZX07102005)、國家淡水生態與生物技術國家重點實驗室(2016FB10)等國家科學基金資助項目(41561144008和)。作者感謝有害藻類團隊的所有成員,特別是中國科學院水生生物研究所的李仁輝教授,感謝他們對微囊藻菌株的純培養和儀器的幫助。我們還要對袁曉博士(中國科學院水生生物研究所分析測試中心)的儀器支持表示最深切的感謝。
相關新聞